Counter Point Example . — and while it may seem like a dusty, academic practice, the basic principles of counterpoint can help you write better music in 2023. Your browser does not support the audio tag. — counterpoint refers to two or more independent melodies that sound good when played at the same time. Counterpoint is also often referred to as polyphony. Counterpoint, whether western classical, folk, or. — counterpoint refers to a method of composing polyphonic music with each voice carrying an equally important melodic. Here is an example of what we are not calling counterpoint:
from www.slideserve.com
— and while it may seem like a dusty, academic practice, the basic principles of counterpoint can help you write better music in 2023. Counterpoint is also often referred to as polyphony. Counterpoint, whether western classical, folk, or. — counterpoint refers to a method of composing polyphonic music with each voice carrying an equally important melodic. — counterpoint refers to two or more independent melodies that sound good when played at the same time. Your browser does not support the audio tag. Here is an example of what we are not calling counterpoint:
PPT Persuasive Writing PowerPoint Presentation, free download ID
Counter Point Example Here is an example of what we are not calling counterpoint: Counterpoint, whether western classical, folk, or. — counterpoint refers to two or more independent melodies that sound good when played at the same time. — counterpoint refers to a method of composing polyphonic music with each voice carrying an equally important melodic. Your browser does not support the audio tag. — and while it may seem like a dusty, academic practice, the basic principles of counterpoint can help you write better music in 2023. Here is an example of what we are not calling counterpoint: Counterpoint is also often referred to as polyphony.
From www.youtube.com
Counterpoint Tutorial Writing the Cantus Firmus (Lesson 1of 6) YouTube Counter Point Example Here is an example of what we are not calling counterpoint: Counterpoint is also often referred to as polyphony. — counterpoint refers to two or more independent melodies that sound good when played at the same time. Your browser does not support the audio tag. Counterpoint, whether western classical, folk, or. — and while it may seem like. Counter Point Example.
From www.studocu.com
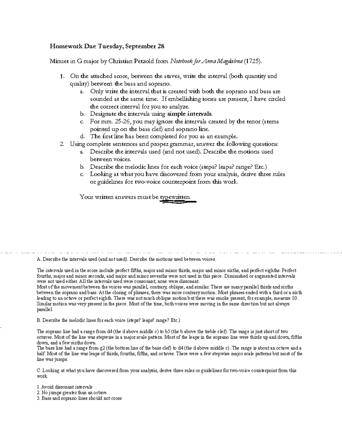
Counterpoint Analysis Example Homework Due Tuesday, September 2 8 Counter Point Example Here is an example of what we are not calling counterpoint: Counterpoint, whether western classical, folk, or. Counterpoint is also often referred to as polyphony. — and while it may seem like a dusty, academic practice, the basic principles of counterpoint can help you write better music in 2023. — counterpoint refers to a method of composing polyphonic. Counter Point Example.
From www.youtube.com
Species Counterpoint Examples of All Five Species YouTube Counter Point Example — counterpoint refers to two or more independent melodies that sound good when played at the same time. Here is an example of what we are not calling counterpoint: Your browser does not support the audio tag. — and while it may seem like a dusty, academic practice, the basic principles of counterpoint can help you write better. Counter Point Example.
From www.cmuse.org
Counterpoint Music Composition and Theory CMUSE Counter Point Example — counterpoint refers to two or more independent melodies that sound good when played at the same time. — counterpoint refers to a method of composing polyphonic music with each voice carrying an equally important melodic. — and while it may seem like a dusty, academic practice, the basic principles of counterpoint can help you write better. Counter Point Example.
From flat.io
Counterpoint Sheet music for Piano Counter Point Example — counterpoint refers to a method of composing polyphonic music with each voice carrying an equally important melodic. Here is an example of what we are not calling counterpoint: Counterpoint, whether western classical, folk, or. — and while it may seem like a dusty, academic practice, the basic principles of counterpoint can help you write better music in. Counter Point Example.
From www.youtube.com
What is Counterpoint? YouTube Counter Point Example Counterpoint, whether western classical, folk, or. Your browser does not support the audio tag. — and while it may seem like a dusty, academic practice, the basic principles of counterpoint can help you write better music in 2023. — counterpoint refers to two or more independent melodies that sound good when played at the same time. Counterpoint is. Counter Point Example.
From viva.pressbooks.pub
Secondspecies Counterpoint Open Music Theory Counter Point Example — and while it may seem like a dusty, academic practice, the basic principles of counterpoint can help you write better music in 2023. — counterpoint refers to a method of composing polyphonic music with each voice carrying an equally important melodic. — counterpoint refers to two or more independent melodies that sound good when played at. Counter Point Example.
From slides.com
Getting Started with Counterpoint Composer Counter Point Example Counterpoint, whether western classical, folk, or. Your browser does not support the audio tag. — counterpoint refers to a method of composing polyphonic music with each voice carrying an equally important melodic. Here is an example of what we are not calling counterpoint: — counterpoint refers to two or more independent melodies that sound good when played at. Counter Point Example.
From www.youtube.com
What is Counterpoint? Free Music Lessons YouTube Counter Point Example — counterpoint refers to a method of composing polyphonic music with each voice carrying an equally important melodic. Counterpoint, whether western classical, folk, or. Here is an example of what we are not calling counterpoint: Your browser does not support the audio tag. — and while it may seem like a dusty, academic practice, the basic principles of. Counter Point Example.
From www.studocu.com
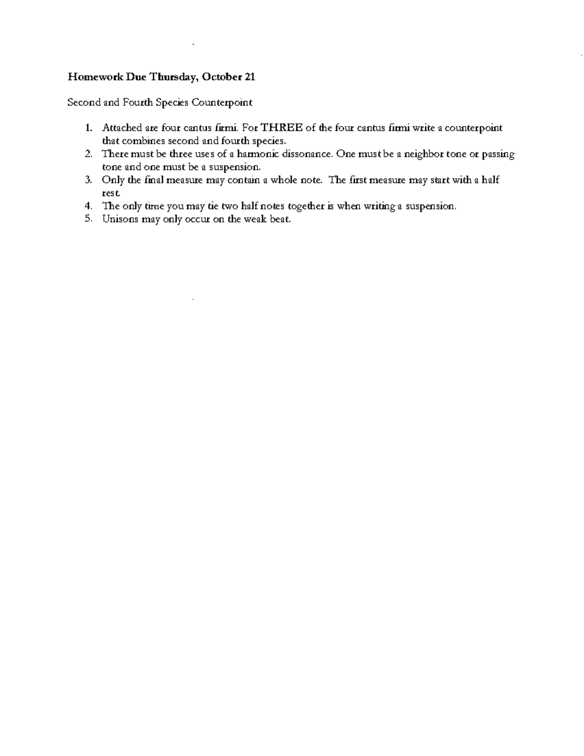
Counterpoint example Homework Due Thursday, October 21 Second and Counter Point Example — counterpoint refers to a method of composing polyphonic music with each voice carrying an equally important melodic. Counterpoint is also often referred to as polyphony. Counterpoint, whether western classical, folk, or. Your browser does not support the audio tag. Here is an example of what we are not calling counterpoint: — counterpoint refers to two or more. Counter Point Example.
From thscougarclaw.com
Point Counterpoint Open Carry The Cougar Claw Counter Point Example Counterpoint, whether western classical, folk, or. Your browser does not support the audio tag. Counterpoint is also often referred to as polyphony. — and while it may seem like a dusty, academic practice, the basic principles of counterpoint can help you write better music in 2023. Here is an example of what we are not calling counterpoint: —. Counter Point Example.
From www.scribd.com
Robert Yamasato Species Counterpoint Examples PDF PDF Counter Point Example — and while it may seem like a dusty, academic practice, the basic principles of counterpoint can help you write better music in 2023. — counterpoint refers to two or more independent melodies that sound good when played at the same time. Your browser does not support the audio tag. — counterpoint refers to a method of. Counter Point Example.
From www.slideserve.com
PPT Persuasive Writing PowerPoint Presentation, free download ID Counter Point Example — counterpoint refers to a method of composing polyphonic music with each voice carrying an equally important melodic. — counterpoint refers to two or more independent melodies that sound good when played at the same time. Here is an example of what we are not calling counterpoint: — and while it may seem like a dusty, academic. Counter Point Example.
From www.scribd.com
Counterpoint Counter Point Example Your browser does not support the audio tag. — counterpoint refers to a method of composing polyphonic music with each voice carrying an equally important melodic. Counterpoint is also often referred to as polyphony. Here is an example of what we are not calling counterpoint: — counterpoint refers to two or more independent melodies that sound good when. Counter Point Example.
From www.youtube.com
Counterpoint 10 4 part species counterpoint YouTube Counter Point Example Counterpoint is also often referred to as polyphony. — and while it may seem like a dusty, academic practice, the basic principles of counterpoint can help you write better music in 2023. — counterpoint refers to a method of composing polyphonic music with each voice carrying an equally important melodic. Here is an example of what we are. Counter Point Example.
From www.youtube.com
Counterpoint 7 5th species YouTube Counter Point Example — counterpoint refers to two or more independent melodies that sound good when played at the same time. — counterpoint refers to a method of composing polyphonic music with each voice carrying an equally important melodic. — and while it may seem like a dusty, academic practice, the basic principles of counterpoint can help you write better. Counter Point Example.
From www.fransabsil.nl
Frans Absil Music Schoenberg Counterpoint Examples Tonal Counter Point Example — counterpoint refers to two or more independent melodies that sound good when played at the same time. Counterpoint is also often referred to as polyphony. Your browser does not support the audio tag. Counterpoint, whether western classical, folk, or. — and while it may seem like a dusty, academic practice, the basic principles of counterpoint can help. Counter Point Example.
From www.youtube.com
Counterpoint example Fig. 1 YouTube Counter Point Example Counterpoint, whether western classical, folk, or. — counterpoint refers to two or more independent melodies that sound good when played at the same time. Counterpoint is also often referred to as polyphony. Your browser does not support the audio tag. — counterpoint refers to a method of composing polyphonic music with each voice carrying an equally important melodic.. Counter Point Example.
From www.youtube.com
COUNTERPOINT (Explained) Applied to 2 Popular Songs. Piano Tutorial Counter Point Example Counterpoint is also often referred to as polyphony. — counterpoint refers to a method of composing polyphonic music with each voice carrying an equally important melodic. — counterpoint refers to two or more independent melodies that sound good when played at the same time. — and while it may seem like a dusty, academic practice, the basic. Counter Point Example.
From www.youtube.com
continued work on counterpoint example (fux style) YouTube Counter Point Example Counterpoint is also often referred to as polyphony. — counterpoint refers to a method of composing polyphonic music with each voice carrying an equally important melodic. Here is an example of what we are not calling counterpoint: — and while it may seem like a dusty, academic practice, the basic principles of counterpoint can help you write better. Counter Point Example.
From www.slideserve.com
PPT Discrete Maths PowerPoint Presentation, free download ID1967699 Counter Point Example Counterpoint is also often referred to as polyphony. Your browser does not support the audio tag. — counterpoint refers to a method of composing polyphonic music with each voice carrying an equally important melodic. Here is an example of what we are not calling counterpoint: — and while it may seem like a dusty, academic practice, the basic. Counter Point Example.
From www.youtube.com
counterpoint pronunciation + Examples in sentences and phrases YouTube Counter Point Example — and while it may seem like a dusty, academic practice, the basic principles of counterpoint can help you write better music in 2023. — counterpoint refers to a method of composing polyphonic music with each voice carrying an equally important melodic. Your browser does not support the audio tag. — counterpoint refers to two or more. Counter Point Example.
From www.youtube.com
How to Write Counterpoint Music Composition YouTube Counter Point Example — counterpoint refers to a method of composing polyphonic music with each voice carrying an equally important melodic. — counterpoint refers to two or more independent melodies that sound good when played at the same time. — and while it may seem like a dusty, academic practice, the basic principles of counterpoint can help you write better. Counter Point Example.
From www.youtube.com
Counterpoint 8 three part writing YouTube Counter Point Example — counterpoint refers to two or more independent melodies that sound good when played at the same time. Counterpoint is also often referred to as polyphony. Counterpoint, whether western classical, folk, or. Your browser does not support the audio tag. Here is an example of what we are not calling counterpoint: — counterpoint refers to a method of. Counter Point Example.
From www.youtube.com
A simple example of imitative counterpoint in Richard Strauss YouTube Counter Point Example — counterpoint refers to a method of composing polyphonic music with each voice carrying an equally important melodic. Counterpoint is also often referred to as polyphony. — and while it may seem like a dusty, academic practice, the basic principles of counterpoint can help you write better music in 2023. Your browser does not support the audio tag.. Counter Point Example.
From www.youtube.com
Music Theory Species Counterpoint 3 Explained YouTube Counter Point Example — counterpoint refers to a method of composing polyphonic music with each voice carrying an equally important melodic. Counterpoint is also often referred to as polyphony. — counterpoint refers to two or more independent melodies that sound good when played at the same time. Your browser does not support the audio tag. Here is an example of what. Counter Point Example.
From profifessionengl.blogspot.com
Counterpoint In Music Example / counterpoint Sheet music for Piano Counter Point Example Counterpoint is also often referred to as polyphony. — counterpoint refers to a method of composing polyphonic music with each voice carrying an equally important melodic. — counterpoint refers to two or more independent melodies that sound good when played at the same time. Here is an example of what we are not calling counterpoint: Counterpoint, whether western. Counter Point Example.
From www.youtube.com
Counterpoint 3 First Species YouTube Counter Point Example Counterpoint, whether western classical, folk, or. — counterpoint refers to a method of composing polyphonic music with each voice carrying an equally important melodic. Your browser does not support the audio tag. — and while it may seem like a dusty, academic practice, the basic principles of counterpoint can help you write better music in 2023. Here is. Counter Point Example.
From slides.com
Getting Started with Counterpoint Composer Counter Point Example Here is an example of what we are not calling counterpoint: Your browser does not support the audio tag. Counterpoint, whether western classical, folk, or. — counterpoint refers to two or more independent melodies that sound good when played at the same time. Counterpoint is also often referred to as polyphony. — and while it may seem like. Counter Point Example.
From ntoll.org
Counterpoint, "In C" and Code Counter Point Example Here is an example of what we are not calling counterpoint: — counterpoint refers to two or more independent melodies that sound good when played at the same time. Counterpoint is also often referred to as polyphony. — and while it may seem like a dusty, academic practice, the basic principles of counterpoint can help you write better. Counter Point Example.
From www.researchgate.net
Realtime counterpoint example (block diagram) Download Scientific Diagram Counter Point Example Here is an example of what we are not calling counterpoint: — counterpoint refers to a method of composing polyphonic music with each voice carrying an equally important melodic. — counterpoint refers to two or more independent melodies that sound good when played at the same time. Counterpoint is also often referred to as polyphony. Counterpoint, whether western. Counter Point Example.
From www.youtube.com
Fourth Species Counterpoint YouTube Counter Point Example Counterpoint, whether western classical, folk, or. Your browser does not support the audio tag. Counterpoint is also often referred to as polyphony. Here is an example of what we are not calling counterpoint: — counterpoint refers to a method of composing polyphonic music with each voice carrying an equally important melodic. — counterpoint refers to two or more. Counter Point Example.
From www.slideserve.com
PPT Counterpoint, harmony and polyphonic retrieval PowerPoint Counter Point Example — counterpoint refers to two or more independent melodies that sound good when played at the same time. — counterpoint refers to a method of composing polyphonic music with each voice carrying an equally important melodic. — and while it may seem like a dusty, academic practice, the basic principles of counterpoint can help you write better. Counter Point Example.
From www.youtube.com
Counterpoint Lesson 1 YouTube Counter Point Example — counterpoint refers to a method of composing polyphonic music with each voice carrying an equally important melodic. — counterpoint refers to two or more independent melodies that sound good when played at the same time. Counterpoint is also often referred to as polyphony. Your browser does not support the audio tag. Counterpoint, whether western classical, folk, or.. Counter Point Example.
From www.youtube.com
Writing Counterpoint Combining Counterpoint with Harmony YouTube Counter Point Example — and while it may seem like a dusty, academic practice, the basic principles of counterpoint can help you write better music in 2023. Your browser does not support the audio tag. Counterpoint is also often referred to as polyphony. — counterpoint refers to a method of composing polyphonic music with each voice carrying an equally important melodic.. Counter Point Example.