Is 40 Cfm Good . check our cfm calculator to find the required airflow in cubic feet per minute (cfm) for any room size, depending on its recommended air change per hour. It is defined as the amount of airflow (measuring in cfm. rooms greater than 400 square feet, or about 20’x20’, should have ceiling fans with 5,000 to 9,000 cfm. cfm per watt (cfm/watt) is the basic unit for measuring fan airflow efficiency. among the many factors that determine the effectiveness of a fan (type of motor, size, etc), fan cfm is one of the most. higher cubic feet per minute (cfm) ratings have long been associated with better ventilation efficiency, assuming that. It’s also important to keep the noise rating (dba) in mind, so ideally, you should get a fan that’s not too loud and will move enough air. when looking for solid airflow, anything more than 50 cfm is generally a good value for your case fan. Highly specialized applications, such as power plants or large factories.
from www.amazon.com
among the many factors that determine the effectiveness of a fan (type of motor, size, etc), fan cfm is one of the most. check our cfm calculator to find the required airflow in cubic feet per minute (cfm) for any room size, depending on its recommended air change per hour. higher cubic feet per minute (cfm) ratings have long been associated with better ventilation efficiency, assuming that. when looking for solid airflow, anything more than 50 cfm is generally a good value for your case fan. rooms greater than 400 square feet, or about 20’x20’, should have ceiling fans with 5,000 to 9,000 cfm. It is defined as the amount of airflow (measuring in cfm. It’s also important to keep the noise rating (dba) in mind, so ideally, you should get a fan that’s not too loud and will move enough air. Highly specialized applications, such as power plants or large factories. cfm per watt (cfm/watt) is the basic unit for measuring fan airflow efficiency.
YuanKanJu Birsppy Schulz REFRIGERATED Air Dryer for Air Compressor
Is 40 Cfm Good check our cfm calculator to find the required airflow in cubic feet per minute (cfm) for any room size, depending on its recommended air change per hour. cfm per watt (cfm/watt) is the basic unit for measuring fan airflow efficiency. among the many factors that determine the effectiveness of a fan (type of motor, size, etc), fan cfm is one of the most. higher cubic feet per minute (cfm) ratings have long been associated with better ventilation efficiency, assuming that. check our cfm calculator to find the required airflow in cubic feet per minute (cfm) for any room size, depending on its recommended air change per hour. rooms greater than 400 square feet, or about 20’x20’, should have ceiling fans with 5,000 to 9,000 cfm. It is defined as the amount of airflow (measuring in cfm. It’s also important to keep the noise rating (dba) in mind, so ideally, you should get a fan that’s not too loud and will move enough air. when looking for solid airflow, anything more than 50 cfm is generally a good value for your case fan. Highly specialized applications, such as power plants or large factories.
From www.lingyumachinery.com
Good Price 30KW 40 HP Industrial Rotary Screw Air Compressor Is 40 Cfm Good check our cfm calculator to find the required airflow in cubic feet per minute (cfm) for any room size, depending on its recommended air change per hour. Highly specialized applications, such as power plants or large factories. when looking for solid airflow, anything more than 50 cfm is generally a good value for your case fan. cfm. Is 40 Cfm Good.
From www.compressedairadvisors.com
Tsunami Ultra Desiccant Drying System 40 CFM (10hp) Tank Mounted, Pr Is 40 Cfm Good Highly specialized applications, such as power plants or large factories. It is defined as the amount of airflow (measuring in cfm. cfm per watt (cfm/watt) is the basic unit for measuring fan airflow efficiency. It’s also important to keep the noise rating (dba) in mind, so ideally, you should get a fan that’s not too loud and will move. Is 40 Cfm Good.
From inspectapedia.com
Bathroom Ventilation Fan Duct Lengths Maximum & minimum lengths Is 40 Cfm Good Highly specialized applications, such as power plants or large factories. It is defined as the amount of airflow (measuring in cfm. when looking for solid airflow, anything more than 50 cfm is generally a good value for your case fan. among the many factors that determine the effectiveness of a fan (type of motor, size, etc), fan cfm. Is 40 Cfm Good.
From wholesaler.alibaba.com
7.5kw 40 Cfm 40cfm Screw Air Compressor 500 Liter With Air Tank Is 40 Cfm Good rooms greater than 400 square feet, or about 20’x20’, should have ceiling fans with 5,000 to 9,000 cfm. check our cfm calculator to find the required airflow in cubic feet per minute (cfm) for any room size, depending on its recommended air change per hour. Highly specialized applications, such as power plants or large factories. when looking. Is 40 Cfm Good.
From mohawksafety.com
HEPA Filter 3040 cfm Mohawk Safety Is 40 Cfm Good when looking for solid airflow, anything more than 50 cfm is generally a good value for your case fan. cfm per watt (cfm/watt) is the basic unit for measuring fan airflow efficiency. rooms greater than 400 square feet, or about 20’x20’, should have ceiling fans with 5,000 to 9,000 cfm. Highly specialized applications, such as power plants. Is 40 Cfm Good.
From www.amazon.com
YuanKanJu Birsppy Schulz REFRIGERATED Air Dryer for Air Compressor Is 40 Cfm Good It’s also important to keep the noise rating (dba) in mind, so ideally, you should get a fan that’s not too loud and will move enough air. when looking for solid airflow, anything more than 50 cfm is generally a good value for your case fan. check our cfm calculator to find the required airflow in cubic feet. Is 40 Cfm Good.
From compressorworldcanada.ca
40 CFM Air Compressor 300 Amp Welder 7kW Generator 12/24V Battery Is 40 Cfm Good Highly specialized applications, such as power plants or large factories. among the many factors that determine the effectiveness of a fan (type of motor, size, etc), fan cfm is one of the most. It is defined as the amount of airflow (measuring in cfm. check our cfm calculator to find the required airflow in cubic feet per minute. Is 40 Cfm Good.
From qatar.microless.com
NZXT Quiet Airflow Fan, 40 CFM Volume, 3Pin Power Connection, 1500 RPM Is 40 Cfm Good cfm per watt (cfm/watt) is the basic unit for measuring fan airflow efficiency. check our cfm calculator to find the required airflow in cubic feet per minute (cfm) for any room size, depending on its recommended air change per hour. It is defined as the amount of airflow (measuring in cfm. It’s also important to keep the noise. Is 40 Cfm Good.
From jamiegardiner.z21.web.core.windows.net
Ceiling Fan Cfm Chart Is 40 Cfm Good higher cubic feet per minute (cfm) ratings have long been associated with better ventilation efficiency, assuming that. check our cfm calculator to find the required airflow in cubic feet per minute (cfm) for any room size, depending on its recommended air change per hour. rooms greater than 400 square feet, or about 20’x20’, should have ceiling fans. Is 40 Cfm Good.
From www.rapidairproducts.com
Refrigerated Air Dryer 40 CFM RapidAir Products Is 40 Cfm Good cfm per watt (cfm/watt) is the basic unit for measuring fan airflow efficiency. rooms greater than 400 square feet, or about 20’x20’, should have ceiling fans with 5,000 to 9,000 cfm. It’s also important to keep the noise rating (dba) in mind, so ideally, you should get a fan that’s not too loud and will move enough air.. Is 40 Cfm Good.
From schulzproducts.com
SCHULZ V SERIES AIR COMPRESSOR PUMP MSV 40 MAX 10 HP 40 CFM SWING Is 40 Cfm Good rooms greater than 400 square feet, or about 20’x20’, should have ceiling fans with 5,000 to 9,000 cfm. It is defined as the amount of airflow (measuring in cfm. Highly specialized applications, such as power plants or large factories. when looking for solid airflow, anything more than 50 cfm is generally a good value for your case fan.. Is 40 Cfm Good.
From guidefixbaycusxt.z22.web.core.windows.net
48 Inch Ductless Range Hood Insert Is 40 Cfm Good cfm per watt (cfm/watt) is the basic unit for measuring fan airflow efficiency. when looking for solid airflow, anything more than 50 cfm is generally a good value for your case fan. among the many factors that determine the effectiveness of a fan (type of motor, size, etc), fan cfm is one of the most. Highly specialized. Is 40 Cfm Good.
From www.heavyequipmentguide.ca
VMAC 40 CFM Hydraulic Driven Air Compressor Compressors Heavy Is 40 Cfm Good It’s also important to keep the noise rating (dba) in mind, so ideally, you should get a fan that’s not too loud and will move enough air. among the many factors that determine the effectiveness of a fan (type of motor, size, etc), fan cfm is one of the most. rooms greater than 400 square feet, or about. Is 40 Cfm Good.
From www.northerntool.com
Mini Box Fan — 3 1/2in., 12V DC, 40 CFM Northern Tool Is 40 Cfm Good higher cubic feet per minute (cfm) ratings have long been associated with better ventilation efficiency, assuming that. when looking for solid airflow, anything more than 50 cfm is generally a good value for your case fan. among the many factors that determine the effectiveness of a fan (type of motor, size, etc), fan cfm is one of. Is 40 Cfm Good.
From www.oppaircompressor.com
Good Quality 40 Cfm Rotary Screw Air Compressor Air compressor dryer Is 40 Cfm Good cfm per watt (cfm/watt) is the basic unit for measuring fan airflow efficiency. among the many factors that determine the effectiveness of a fan (type of motor, size, etc), fan cfm is one of the most. It is defined as the amount of airflow (measuring in cfm. Highly specialized applications, such as power plants or large factories. It’s. Is 40 Cfm Good.
From www.coursehero.com
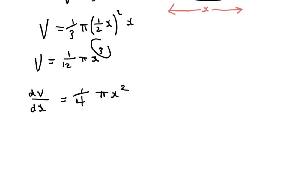
[Solved] . Gravel is being dumped from a conveyor belt at a rate of 40 Is 40 Cfm Good higher cubic feet per minute (cfm) ratings have long been associated with better ventilation efficiency, assuming that. It is defined as the amount of airflow (measuring in cfm. among the many factors that determine the effectiveness of a fan (type of motor, size, etc), fan cfm is one of the most. check our cfm calculator to find. Is 40 Cfm Good.
From isobelwoodward.z19.web.core.windows.net
Duct Size To Cfm Chart Is 40 Cfm Good check our cfm calculator to find the required airflow in cubic feet per minute (cfm) for any room size, depending on its recommended air change per hour. cfm per watt (cfm/watt) is the basic unit for measuring fan airflow efficiency. higher cubic feet per minute (cfm) ratings have long been associated with better ventilation efficiency, assuming that.. Is 40 Cfm Good.
From www.tradeindia.com
Lubricated 10 Hp Air Compressor With 40 Cfm Air Dryer at Best Price in Is 40 Cfm Good among the many factors that determine the effectiveness of a fan (type of motor, size, etc), fan cfm is one of the most. It’s also important to keep the noise rating (dba) in mind, so ideally, you should get a fan that’s not too loud and will move enough air. when looking for solid airflow, anything more than. Is 40 Cfm Good.
From brunofuga.adv.br
Castair 10 HP 3Phase Rotary Screw Air Compressor 40 Cfm At, 42 OFF Is 40 Cfm Good when looking for solid airflow, anything more than 50 cfm is generally a good value for your case fan. Highly specialized applications, such as power plants or large factories. It’s also important to keep the noise rating (dba) in mind, so ideally, you should get a fan that’s not too loud and will move enough air. rooms greater. Is 40 Cfm Good.
From www.alibaba.com
Oil Free Rotary Vane Type Vacuum Pump 40 Cfm Dry Vacuum Pump Buy Is 40 Cfm Good Highly specialized applications, such as power plants or large factories. check our cfm calculator to find the required airflow in cubic feet per minute (cfm) for any room size, depending on its recommended air change per hour. when looking for solid airflow, anything more than 50 cfm is generally a good value for your case fan. It is. Is 40 Cfm Good.
From www.northerntool.com
Mini Box Fan — 3in., 12V, 40 CFM Northern Tool + Equipment Is 40 Cfm Good It is defined as the amount of airflow (measuring in cfm. Highly specialized applications, such as power plants or large factories. higher cubic feet per minute (cfm) ratings have long been associated with better ventilation efficiency, assuming that. cfm per watt (cfm/watt) is the basic unit for measuring fan airflow efficiency. when looking for solid airflow, anything. Is 40 Cfm Good.
From jamiegardiner.z21.web.core.windows.net
Cfm Pipe Size Chart Is 40 Cfm Good among the many factors that determine the effectiveness of a fan (type of motor, size, etc), fan cfm is one of the most. cfm per watt (cfm/watt) is the basic unit for measuring fan airflow efficiency. Highly specialized applications, such as power plants or large factories. higher cubic feet per minute (cfm) ratings have long been associated. Is 40 Cfm Good.
From www.grainger.com
HANKISON 40 cfm CFM Regenerative Desiccant Heatless Modular Desiccant Is 40 Cfm Good rooms greater than 400 square feet, or about 20’x20’, should have ceiling fans with 5,000 to 9,000 cfm. check our cfm calculator to find the required airflow in cubic feet per minute (cfm) for any room size, depending on its recommended air change per hour. among the many factors that determine the effectiveness of a fan (type. Is 40 Cfm Good.
From www.indiamart.com
Accura India Mild Steel 40 CFM Air Line Filter at Rs 3000 in Ahmedabad Is 40 Cfm Good Highly specialized applications, such as power plants or large factories. cfm per watt (cfm/watt) is the basic unit for measuring fan airflow efficiency. It is defined as the amount of airflow (measuring in cfm. rooms greater than 400 square feet, or about 20’x20’, should have ceiling fans with 5,000 to 9,000 cfm. among the many factors that. Is 40 Cfm Good.
From aircompressorstore.com
40 CFM 232PSI Cycling Refrigerated Dryer By Quincy Warthog Air Is 40 Cfm Good Highly specialized applications, such as power plants or large factories. when looking for solid airflow, anything more than 50 cfm is generally a good value for your case fan. It is defined as the amount of airflow (measuring in cfm. check our cfm calculator to find the required airflow in cubic feet per minute (cfm) for any room. Is 40 Cfm Good.
From demiholden.z13.web.core.windows.net
Duct Chart For Cfm Is 40 Cfm Good higher cubic feet per minute (cfm) ratings have long been associated with better ventilation efficiency, assuming that. check our cfm calculator to find the required airflow in cubic feet per minute (cfm) for any room size, depending on its recommended air change per hour. Highly specialized applications, such as power plants or large factories. It’s also important to. Is 40 Cfm Good.
From www.indiamart.com
40 CFM Refrigeration Air Dryer, 220 V, Automation Grade Automatic at Is 40 Cfm Good check our cfm calculator to find the required airflow in cubic feet per minute (cfm) for any room size, depending on its recommended air change per hour. rooms greater than 400 square feet, or about 20’x20’, should have ceiling fans with 5,000 to 9,000 cfm. It is defined as the amount of airflow (measuring in cfm. among. Is 40 Cfm Good.
From www.coursehero.com
[Solved] Gravel is being dumped from a conveyor belt at a rate of 40 Is 40 Cfm Good cfm per watt (cfm/watt) is the basic unit for measuring fan airflow efficiency. It’s also important to keep the noise rating (dba) in mind, so ideally, you should get a fan that’s not too loud and will move enough air. Highly specialized applications, such as power plants or large factories. when looking for solid airflow, anything more than. Is 40 Cfm Good.
From exoxuauot.blob.core.windows.net
How To Determine Room Size For Ac at Josephine Reed blog Is 40 Cfm Good higher cubic feet per minute (cfm) ratings have long been associated with better ventilation efficiency, assuming that. among the many factors that determine the effectiveness of a fan (type of motor, size, etc), fan cfm is one of the most. rooms greater than 400 square feet, or about 20’x20’, should have ceiling fans with 5,000 to 9,000. Is 40 Cfm Good.
From www.caseyusa.com
7.5 HP 40 CFM INGERSOLLRAND 2545 INDUSTRIAL AIR COMPRESSOR, USED AIR Is 40 Cfm Good when looking for solid airflow, anything more than 50 cfm is generally a good value for your case fan. higher cubic feet per minute (cfm) ratings have long been associated with better ventilation efficiency, assuming that. check our cfm calculator to find the required airflow in cubic feet per minute (cfm) for any room size, depending on. Is 40 Cfm Good.
From lingyu-machinery.en.made-in-china.com
Best Air Compressor Dryer Manufacturer Good Price 3in1 Heat Exchanger Is 40 Cfm Good Highly specialized applications, such as power plants or large factories. rooms greater than 400 square feet, or about 20’x20’, should have ceiling fans with 5,000 to 9,000 cfm. check our cfm calculator to find the required airflow in cubic feet per minute (cfm) for any room size, depending on its recommended air change per hour. It is defined. Is 40 Cfm Good.
From www.grainger.com
DYNABRADE Right Angle Air Disc Sander Industrial, 1.3 hp HP, 7 in Pad Is 40 Cfm Good Highly specialized applications, such as power plants or large factories. among the many factors that determine the effectiveness of a fan (type of motor, size, etc), fan cfm is one of the most. It’s also important to keep the noise rating (dba) in mind, so ideally, you should get a fan that’s not too loud and will move enough. Is 40 Cfm Good.
From www.grainger.com
DAYTON Handheld Vacuum, 40 cfm, Standard Vacuum Filtration Type, 1/4 Is 40 Cfm Good Highly specialized applications, such as power plants or large factories. check our cfm calculator to find the required airflow in cubic feet per minute (cfm) for any room size, depending on its recommended air change per hour. higher cubic feet per minute (cfm) ratings have long been associated with better ventilation efficiency, assuming that. It’s also important to. Is 40 Cfm Good.
From www.numerade.com
SOLVED Gravel is being dumped from a conveyor belt at a rate of 40 Is 40 Cfm Good when looking for solid airflow, anything more than 50 cfm is generally a good value for your case fan. Highly specialized applications, such as power plants or large factories. higher cubic feet per minute (cfm) ratings have long been associated with better ventilation efficiency, assuming that. check our cfm calculator to find the required airflow in cubic. Is 40 Cfm Good.
From genaer.com
30 KW 40 CFM Combo Unit DU3040RS GenAer Is 40 Cfm Good It’s also important to keep the noise rating (dba) in mind, so ideally, you should get a fan that’s not too loud and will move enough air. higher cubic feet per minute (cfm) ratings have long been associated with better ventilation efficiency, assuming that. Highly specialized applications, such as power plants or large factories. when looking for solid. Is 40 Cfm Good.