Is Maths Necessary For Economics Honours . Ibo revised their mathematics curriculum, introducing two new subjects; The bsc mathematics with economics programme has mathematics as its major subject and economics as its minor. Analysis and approaches and mathematics:. If you are applying to trinity hall, you will also. This bsc is designed for students who are interested in making mathematics their major area of study but who would also like to obtain. The programme is carefully structured to focus. Having a good grasp of mathematics is key to understanding modern economics. This bsc mathematics with economics gives you the chance to study. Colleges will usually require you to achieve an a*/7 in mathematics and/or further mathematics. Find course details for mathematics and economics bsc (hons) at london school of economics and political science, university of.
from www.studocu.com
This bsc mathematics with economics gives you the chance to study. If you are applying to trinity hall, you will also. Analysis and approaches and mathematics:. Find course details for mathematics and economics bsc (hons) at london school of economics and political science, university of. Colleges will usually require you to achieve an a*/7 in mathematics and/or further mathematics. This bsc is designed for students who are interested in making mathematics their major area of study but who would also like to obtain. Ibo revised their mathematics curriculum, introducing two new subjects; Having a good grasp of mathematics is key to understanding modern economics. The bsc mathematics with economics programme has mathematics as its major subject and economics as its minor. The programme is carefully structured to focus.
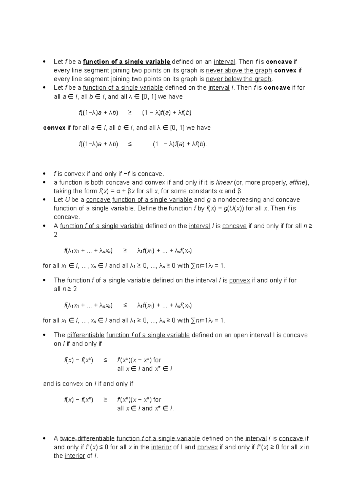
Mathsummaryhonours A Primer on Mathematical Economics or
Is Maths Necessary For Economics Honours The bsc mathematics with economics programme has mathematics as its major subject and economics as its minor. This bsc is designed for students who are interested in making mathematics their major area of study but who would also like to obtain. This bsc mathematics with economics gives you the chance to study. The programme is carefully structured to focus. If you are applying to trinity hall, you will also. Ibo revised their mathematics curriculum, introducing two new subjects; Analysis and approaches and mathematics:. The bsc mathematics with economics programme has mathematics as its major subject and economics as its minor. Having a good grasp of mathematics is key to understanding modern economics. Find course details for mathematics and economics bsc (hons) at london school of economics and political science, university of. Colleges will usually require you to achieve an a*/7 in mathematics and/or further mathematics.
From inomics.com
A quick guide to math symbols in economics INOMICS Is Maths Necessary For Economics Honours The bsc mathematics with economics programme has mathematics as its major subject and economics as its minor. If you are applying to trinity hall, you will also. Colleges will usually require you to achieve an a*/7 in mathematics and/or further mathematics. Analysis and approaches and mathematics:. This bsc is designed for students who are interested in making mathematics their major. Is Maths Necessary For Economics Honours.
From www.youtube.com
Economics Class 1Ba Economics Honours part 1Micro EconomicsWhat is Is Maths Necessary For Economics Honours Find course details for mathematics and economics bsc (hons) at london school of economics and political science, university of. The programme is carefully structured to focus. This bsc is designed for students who are interested in making mathematics their major area of study but who would also like to obtain. Colleges will usually require you to achieve an a*/7 in. Is Maths Necessary For Economics Honours.
From www.studocu.com
Math notes Summary B.A. Economics (Hons.) Let f be a function of a Is Maths Necessary For Economics Honours The programme is carefully structured to focus. Find course details for mathematics and economics bsc (hons) at london school of economics and political science, university of. Having a good grasp of mathematics is key to understanding modern economics. This bsc mathematics with economics gives you the chance to study. Colleges will usually require you to achieve an a*/7 in mathematics. Is Maths Necessary For Economics Honours.
From www.dundee.ac.uk
Mathematics and Economics BSc (Hons) University of Dundee Is Maths Necessary For Economics Honours Analysis and approaches and mathematics:. Find course details for mathematics and economics bsc (hons) at london school of economics and political science, university of. If you are applying to trinity hall, you will also. Having a good grasp of mathematics is key to understanding modern economics. The programme is carefully structured to focus. Colleges will usually require you to achieve. Is Maths Necessary For Economics Honours.
From eduvark.com
Economics Honours Syllabus DU 2023 2024 EduVark Is Maths Necessary For Economics Honours Analysis and approaches and mathematics:. If you are applying to trinity hall, you will also. Having a good grasp of mathematics is key to understanding modern economics. Find course details for mathematics and economics bsc (hons) at london school of economics and political science, university of. This bsc mathematics with economics gives you the chance to study. This bsc is. Is Maths Necessary For Economics Honours.
From www.youtube.com
ECONOMICS HONOURS MATHEMATICAL ECONOMICS PAST YEAR SOLUTIONS TO BSC(I Is Maths Necessary For Economics Honours Find course details for mathematics and economics bsc (hons) at london school of economics and political science, university of. This bsc mathematics with economics gives you the chance to study. Having a good grasp of mathematics is key to understanding modern economics. The bsc mathematics with economics programme has mathematics as its major subject and economics as its minor. The. Is Maths Necessary For Economics Honours.
From www.youtube.com
Second Year Honours, Mathematical Economics. Lecture 3 YouTube Is Maths Necessary For Economics Honours Find course details for mathematics and economics bsc (hons) at london school of economics and political science, university of. Analysis and approaches and mathematics:. The bsc mathematics with economics programme has mathematics as its major subject and economics as its minor. Ibo revised their mathematics curriculum, introducing two new subjects; The programme is carefully structured to focus. This bsc mathematics. Is Maths Necessary For Economics Honours.
From www.slideserve.com
PPT Unit 1. Fundamentals of Managerial Economics PowerPoint Is Maths Necessary For Economics Honours Colleges will usually require you to achieve an a*/7 in mathematics and/or further mathematics. Having a good grasp of mathematics is key to understanding modern economics. Find course details for mathematics and economics bsc (hons) at london school of economics and political science, university of. Analysis and approaches and mathematics:. If you are applying to trinity hall, you will also.. Is Maths Necessary For Economics Honours.
From www.youtube.com
ECONOMICS HONOURS MATHEMATICAL ECONOMICS PAST YEAR SOLUTIONS TO BSC(I Is Maths Necessary For Economics Honours This bsc is designed for students who are interested in making mathematics their major area of study but who would also like to obtain. Ibo revised their mathematics curriculum, introducing two new subjects; The bsc mathematics with economics programme has mathematics as its major subject and economics as its minor. The programme is carefully structured to focus. Analysis and approaches. Is Maths Necessary For Economics Honours.
From www.youtube.com
ECONOMICS HONOURS MATHEMATICAL ECONOMICS PAST YEAR SOLUTIONS TO BSC(I Is Maths Necessary For Economics Honours Ibo revised their mathematics curriculum, introducing two new subjects; Colleges will usually require you to achieve an a*/7 in mathematics and/or further mathematics. Find course details for mathematics and economics bsc (hons) at london school of economics and political science, university of. If you are applying to trinity hall, you will also. This bsc mathematics with economics gives you the. Is Maths Necessary For Economics Honours.
From www.youtube.com
Economics Honours Semester1 Course Structure YouTube Is Maths Necessary For Economics Honours Find course details for mathematics and economics bsc (hons) at london school of economics and political science, university of. The bsc mathematics with economics programme has mathematics as its major subject and economics as its minor. This bsc mathematics with economics gives you the chance to study. This bsc is designed for students who are interested in making mathematics their. Is Maths Necessary For Economics Honours.
From www.youtube.com
ECONOMICS HONOURS MATHEMATICAL ECONOMICS PAST YEAR SOLUTIONS TO BSC(I Is Maths Necessary For Economics Honours This bsc mathematics with economics gives you the chance to study. Having a good grasp of mathematics is key to understanding modern economics. Colleges will usually require you to achieve an a*/7 in mathematics and/or further mathematics. Find course details for mathematics and economics bsc (hons) at london school of economics and political science, university of. The programme is carefully. Is Maths Necessary For Economics Honours.
From www.youtube.com
ECONOMICS HONOURS MATHEMATICAL ECONOMICS PAST YEAR SOLUTIONS TO BSC(I Is Maths Necessary For Economics Honours The programme is carefully structured to focus. Colleges will usually require you to achieve an a*/7 in mathematics and/or further mathematics. Find course details for mathematics and economics bsc (hons) at london school of economics and political science, university of. If you are applying to trinity hall, you will also. This bsc is designed for students who are interested in. Is Maths Necessary For Economics Honours.
From studylib.net
Mathematics for Economics Is Maths Necessary For Economics Honours Having a good grasp of mathematics is key to understanding modern economics. Ibo revised their mathematics curriculum, introducing two new subjects; Colleges will usually require you to achieve an a*/7 in mathematics and/or further mathematics. Analysis and approaches and mathematics:. If you are applying to trinity hall, you will also. The programme is carefully structured to focus. Find course details. Is Maths Necessary For Economics Honours.
From www.bragitoff.com
Economics (Honours) Previous Year Papers for [FIRST YEAR] DU Is Maths Necessary For Economics Honours This bsc is designed for students who are interested in making mathematics their major area of study but who would also like to obtain. Colleges will usually require you to achieve an a*/7 in mathematics and/or further mathematics. If you are applying to trinity hall, you will also. Ibo revised their mathematics curriculum, introducing two new subjects; Having a good. Is Maths Necessary For Economics Honours.
From www.youtube.com
DU Economics Hons CUET eligibility criteriaDelhi University Economics Is Maths Necessary For Economics Honours The programme is carefully structured to focus. Colleges will usually require you to achieve an a*/7 in mathematics and/or further mathematics. If you are applying to trinity hall, you will also. Ibo revised their mathematics curriculum, introducing two new subjects; Analysis and approaches and mathematics:. Having a good grasp of mathematics is key to understanding modern economics. The bsc mathematics. Is Maths Necessary For Economics Honours.
From owlcation.com
Use of Mathematics in Economics Owlcation Is Maths Necessary For Economics Honours The programme is carefully structured to focus. Ibo revised their mathematics curriculum, introducing two new subjects; This bsc is designed for students who are interested in making mathematics their major area of study but who would also like to obtain. Find course details for mathematics and economics bsc (hons) at london school of economics and political science, university of. If. Is Maths Necessary For Economics Honours.
From tmbusyllabusbsc.blogspot.com
ECONOMIC HONOURS Tilka Manghi Bhagalpur University syllabus Is Maths Necessary For Economics Honours The programme is carefully structured to focus. If you are applying to trinity hall, you will also. This bsc is designed for students who are interested in making mathematics their major area of study but who would also like to obtain. Having a good grasp of mathematics is key to understanding modern economics. This bsc mathematics with economics gives you. Is Maths Necessary For Economics Honours.
From www.youtube.com
ECONOMICS HONOURS MATHEMATICAL ECONOMICS PAST YEAR SOLUTIONS TO BSC(I Is Maths Necessary For Economics Honours The programme is carefully structured to focus. Colleges will usually require you to achieve an a*/7 in mathematics and/or further mathematics. This bsc is designed for students who are interested in making mathematics their major area of study but who would also like to obtain. Ibo revised their mathematics curriculum, introducing two new subjects; The bsc mathematics with economics programme. Is Maths Necessary For Economics Honours.
From management.ind.in
Subjects In Economics Honours In DU 2024 2025 Student Forum Is Maths Necessary For Economics Honours The bsc mathematics with economics programme has mathematics as its major subject and economics as its minor. This bsc mathematics with economics gives you the chance to study. Having a good grasp of mathematics is key to understanding modern economics. This bsc is designed for students who are interested in making mathematics their major area of study but who would. Is Maths Necessary For Economics Honours.
From www.studocu.com
Mathsummaryhonours A Primer on Mathematical Economics or Is Maths Necessary For Economics Honours Find course details for mathematics and economics bsc (hons) at london school of economics and political science, university of. This bsc mathematics with economics gives you the chance to study. Colleges will usually require you to achieve an a*/7 in mathematics and/or further mathematics. Analysis and approaches and mathematics:. The programme is carefully structured to focus. If you are applying. Is Maths Necessary For Economics Honours.
From www.slideshare.net
Maths in Economic Theory, basic mathematical and quantitative concept… Is Maths Necessary For Economics Honours The programme is carefully structured to focus. Colleges will usually require you to achieve an a*/7 in mathematics and/or further mathematics. Ibo revised their mathematics curriculum, introducing two new subjects; If you are applying to trinity hall, you will also. This bsc mathematics with economics gives you the chance to study. The bsc mathematics with economics programme has mathematics as. Is Maths Necessary For Economics Honours.
From www.youtube.com
ECONOMICS HONOURS MATHEMATICAL ECONOMICS PAST YEAR SOLUTIONS TO BSC(I Is Maths Necessary For Economics Honours If you are applying to trinity hall, you will also. The bsc mathematics with economics programme has mathematics as its major subject and economics as its minor. The programme is carefully structured to focus. Ibo revised their mathematics curriculum, introducing two new subjects; This bsc mathematics with economics gives you the chance to study. Having a good grasp of mathematics. Is Maths Necessary For Economics Honours.
From tmbusyllabusbsc.blogspot.com
ECONOMIC HONOURS Tilka Manghi Bhagalpur University syllabus Is Maths Necessary For Economics Honours This bsc mathematics with economics gives you the chance to study. This bsc is designed for students who are interested in making mathematics their major area of study but who would also like to obtain. The bsc mathematics with economics programme has mathematics as its major subject and economics as its minor. If you are applying to trinity hall, you. Is Maths Necessary For Economics Honours.
From www.economicstutorbd.com
Economics Honours 1st Year Syllabus, National University BD Is Maths Necessary For Economics Honours Ibo revised their mathematics curriculum, introducing two new subjects; The bsc mathematics with economics programme has mathematics as its major subject and economics as its minor. This bsc mathematics with economics gives you the chance to study. If you are applying to trinity hall, you will also. Colleges will usually require you to achieve an a*/7 in mathematics and/or further. Is Maths Necessary For Economics Honours.
From www.youtube.com
Limits Mathematical Methods For Economics Economics (Honours) YouTube Is Maths Necessary For Economics Honours Colleges will usually require you to achieve an a*/7 in mathematics and/or further mathematics. Having a good grasp of mathematics is key to understanding modern economics. If you are applying to trinity hall, you will also. The bsc mathematics with economics programme has mathematics as its major subject and economics as its minor. Analysis and approaches and mathematics:. Ibo revised. Is Maths Necessary For Economics Honours.
From www.studocu.com
Test2 2023 soln nm test 2 entrance exam Economics Honours Maths Is Maths Necessary For Economics Honours Colleges will usually require you to achieve an a*/7 in mathematics and/or further mathematics. Analysis and approaches and mathematics:. This bsc mathematics with economics gives you the chance to study. Having a good grasp of mathematics is key to understanding modern economics. Find course details for mathematics and economics bsc (hons) at london school of economics and political science, university. Is Maths Necessary For Economics Honours.
From www.youtube.com
B.A. 1st semester (Hons.) Economics Mathematics for Economics Analysis Is Maths Necessary For Economics Honours Ibo revised their mathematics curriculum, introducing two new subjects; Analysis and approaches and mathematics:. This bsc mathematics with economics gives you the chance to study. If you are applying to trinity hall, you will also. Having a good grasp of mathematics is key to understanding modern economics. Find course details for mathematics and economics bsc (hons) at london school of. Is Maths Necessary For Economics Honours.
From www.youtube.com
Introduction of economics honours 1st year. YouTube Is Maths Necessary For Economics Honours If you are applying to trinity hall, you will also. Ibo revised their mathematics curriculum, introducing two new subjects; This bsc is designed for students who are interested in making mathematics their major area of study but who would also like to obtain. Having a good grasp of mathematics is key to understanding modern economics. Colleges will usually require you. Is Maths Necessary For Economics Honours.
From www.superprof.co.in
Does Economics Have Mathematics? Superprof Is Maths Necessary For Economics Honours The programme is carefully structured to focus. Ibo revised their mathematics curriculum, introducing two new subjects; Colleges will usually require you to achieve an a*/7 in mathematics and/or further mathematics. If you are applying to trinity hall, you will also. Having a good grasp of mathematics is key to understanding modern economics. Analysis and approaches and mathematics:. The bsc mathematics. Is Maths Necessary For Economics Honours.
From tmbusyllabusbsc.blogspot.com
ECONOMIC HONOURS Tilka Manghi Bhagalpur University syllabus Is Maths Necessary For Economics Honours Find course details for mathematics and economics bsc (hons) at london school of economics and political science, university of. Having a good grasp of mathematics is key to understanding modern economics. The bsc mathematics with economics programme has mathematics as its major subject and economics as its minor. If you are applying to trinity hall, you will also. Colleges will. Is Maths Necessary For Economics Honours.
From www.slideshare.net
Economics honours examinati on macroeconomics sourav sir's classes 98… Is Maths Necessary For Economics Honours Analysis and approaches and mathematics:. If you are applying to trinity hall, you will also. Find course details for mathematics and economics bsc (hons) at london school of economics and political science, university of. The programme is carefully structured to focus. Colleges will usually require you to achieve an a*/7 in mathematics and/or further mathematics. Ibo revised their mathematics curriculum,. Is Maths Necessary For Economics Honours.
From slideplayer.com
BSC ECONOMICS BSc Honours BSc Honours B.Sc. (Economics) Honours is a Is Maths Necessary For Economics Honours Find course details for mathematics and economics bsc (hons) at london school of economics and political science, university of. This bsc is designed for students who are interested in making mathematics their major area of study but who would also like to obtain. This bsc mathematics with economics gives you the chance to study. The bsc mathematics with economics programme. Is Maths Necessary For Economics Honours.
From www.youtube.com
ECONOMICS HONOURS MATHEMATICAL ECONOMICS PAST YEAR SOLUTIONS TO BSC(I Is Maths Necessary For Economics Honours Having a good grasp of mathematics is key to understanding modern economics. Find course details for mathematics and economics bsc (hons) at london school of economics and political science, university of. This bsc is designed for students who are interested in making mathematics their major area of study but who would also like to obtain. Analysis and approaches and mathematics:.. Is Maths Necessary For Economics Honours.
From www.slideshare.net
ECONOMICS HONOURS CLASSES Is Maths Necessary For Economics Honours This bsc mathematics with economics gives you the chance to study. The programme is carefully structured to focus. If you are applying to trinity hall, you will also. Having a good grasp of mathematics is key to understanding modern economics. This bsc is designed for students who are interested in making mathematics their major area of study but who would. Is Maths Necessary For Economics Honours.