Nitro Properties . It is a colorless, odorless, tasteless gas that is the most plentiful element in earth’s atmosphere and is a constituent of all living matter. For the pdf properties, just open the file with nitro, and go to the file menu. Nitrogen is cycled naturally by living organisms through the ‘nitrogen cycle’. Values at 25 o c (77 o f, 298 k) and atmospheric pressure. Nitrogen, nonmetallic element of group 15 [va] of the periodic table. On the right hand side you'll see the most common. It is taken up by green plants and algae as nitrates, and used to build. Its atomic number is 7 and it is denoted by the symbol ‘n’ in the periodic table. Chemical, physical and thermal properties of nitrogen: Nitroglycerin, with the molecular formula c 3 h 5 (ono 2) 3, has a high nitrogen content (18.5 percent) and contains sufficient oxygen atoms to oxidize the carbon and hydrogen atoms while nitrogen is being liberated, so that it is one of the most powerful explosives known. Follow the links below to get values for the listed properties of nitrogen at.
from www.researchgate.net
For the pdf properties, just open the file with nitro, and go to the file menu. Nitrogen is cycled naturally by living organisms through the ‘nitrogen cycle’. It is taken up by green plants and algae as nitrates, and used to build. On the right hand side you'll see the most common. Values at 25 o c (77 o f, 298 k) and atmospheric pressure. It is a colorless, odorless, tasteless gas that is the most plentiful element in earth’s atmosphere and is a constituent of all living matter. Follow the links below to get values for the listed properties of nitrogen at. Nitroglycerin, with the molecular formula c 3 h 5 (ono 2) 3, has a high nitrogen content (18.5 percent) and contains sufficient oxygen atoms to oxidize the carbon and hydrogen atoms while nitrogen is being liberated, so that it is one of the most powerful explosives known. Its atomic number is 7 and it is denoted by the symbol ‘n’ in the periodic table. Nitrogen, nonmetallic element of group 15 [va] of the periodic table.
(PDF) Exploring Photoswitchable Properties of Two Nitro Nickel(II
Nitro Properties Its atomic number is 7 and it is denoted by the symbol ‘n’ in the periodic table. Nitrogen is cycled naturally by living organisms through the ‘nitrogen cycle’. On the right hand side you'll see the most common. It is a colorless, odorless, tasteless gas that is the most plentiful element in earth’s atmosphere and is a constituent of all living matter. Values at 25 o c (77 o f, 298 k) and atmospheric pressure. Nitroglycerin, with the molecular formula c 3 h 5 (ono 2) 3, has a high nitrogen content (18.5 percent) and contains sufficient oxygen atoms to oxidize the carbon and hydrogen atoms while nitrogen is being liberated, so that it is one of the most powerful explosives known. Nitrogen, nonmetallic element of group 15 [va] of the periodic table. It is taken up by green plants and algae as nitrates, and used to build. For the pdf properties, just open the file with nitro, and go to the file menu. Chemical, physical and thermal properties of nitrogen: Its atomic number is 7 and it is denoted by the symbol ‘n’ in the periodic table. Follow the links below to get values for the listed properties of nitrogen at.
From architect.pub
【云安全】AWS Nitro系统的安全设计 Nitro系统之旅 Nitro Properties For the pdf properties, just open the file with nitro, and go to the file menu. It is taken up by green plants and algae as nitrates, and used to build. Chemical, physical and thermal properties of nitrogen: On the right hand side you'll see the most common. Values at 25 o c (77 o f, 298 k) and atmospheric. Nitro Properties.
From www.researchgate.net
Synthesis of the compounds (I) 3nitro1,8naphthalic anhydride, amine Nitro Properties Nitrogen, nonmetallic element of group 15 [va] of the periodic table. It is a colorless, odorless, tasteless gas that is the most plentiful element in earth’s atmosphere and is a constituent of all living matter. Values at 25 o c (77 o f, 298 k) and atmospheric pressure. On the right hand side you'll see the most common. Its atomic. Nitro Properties.
From gbu-presnenskij.ru
Functional Groups In Organic Chemistry, 41 OFF Nitro Properties Nitrogen is cycled naturally by living organisms through the ‘nitrogen cycle’. Its atomic number is 7 and it is denoted by the symbol ‘n’ in the periodic table. Values at 25 o c (77 o f, 298 k) and atmospheric pressure. Nitrogen, nonmetallic element of group 15 [va] of the periodic table. Follow the links below to get values for. Nitro Properties.
From www.slideserve.com
PPT Amines and nitro compounds PowerPoint Presentation ID671106 Nitro Properties It is taken up by green plants and algae as nitrates, and used to build. Nitroglycerin, with the molecular formula c 3 h 5 (ono 2) 3, has a high nitrogen content (18.5 percent) and contains sufficient oxygen atoms to oxidize the carbon and hydrogen atoms while nitrogen is being liberated, so that it is one of the most powerful. Nitro Properties.
From www.pw.live
Properties Of Nitro Compounds Physics Wallah Nitro Properties Follow the links below to get values for the listed properties of nitrogen at. Its atomic number is 7 and it is denoted by the symbol ‘n’ in the periodic table. On the right hand side you'll see the most common. Nitroglycerin, with the molecular formula c 3 h 5 (ono 2) 3, has a high nitrogen content (18.5 percent). Nitro Properties.
From learners933.blogspot.com
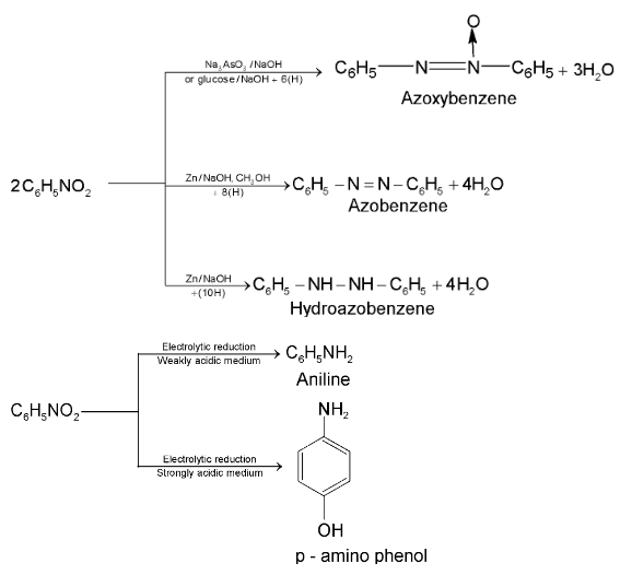
Reduction of Nitro Compounds Nitro Properties Chemical, physical and thermal properties of nitrogen: It is a colorless, odorless, tasteless gas that is the most plentiful element in earth’s atmosphere and is a constituent of all living matter. Its atomic number is 7 and it is denoted by the symbol ‘n’ in the periodic table. On the right hand side you'll see the most common. Nitrogen, nonmetallic. Nitro Properties.
From www.youtube.com
Nitro Compound Compounds Containing Nitrogen Chemistry Class 12 Nitro Properties Nitrogen, nonmetallic element of group 15 [va] of the periodic table. Chemical, physical and thermal properties of nitrogen: It is a colorless, odorless, tasteless gas that is the most plentiful element in earth’s atmosphere and is a constituent of all living matter. It is taken up by green plants and algae as nitrates, and used to build. Values at 25. Nitro Properties.
From www.researchgate.net
(PDF) Synthesis and Properties of 3Nitro2Hchromenes Nitro Properties On the right hand side you'll see the most common. For the pdf properties, just open the file with nitro, and go to the file menu. Its atomic number is 7 and it is denoted by the symbol ‘n’ in the periodic table. Nitroglycerin, with the molecular formula c 3 h 5 (ono 2) 3, has a high nitrogen content. Nitro Properties.
From www.researchgate.net
NMR spectra of NitroTPY and AminoTPY structures Download Scientific Nitro Properties Values at 25 o c (77 o f, 298 k) and atmospheric pressure. It is taken up by green plants and algae as nitrates, and used to build. Chemical, physical and thermal properties of nitrogen: Nitrogen, nonmetallic element of group 15 [va] of the periodic table. It is a colorless, odorless, tasteless gas that is the most plentiful element in. Nitro Properties.
From www.researchgate.net
(PDF) Structuralphase transformations during nitro oxidation of steels Nitro Properties Values at 25 o c (77 o f, 298 k) and atmospheric pressure. Its atomic number is 7 and it is denoted by the symbol ‘n’ in the periodic table. Follow the links below to get values for the listed properties of nitrogen at. Nitrogen, nonmetallic element of group 15 [va] of the periodic table. Nitroglycerin, with the molecular formula. Nitro Properties.
From www.researchgate.net
Theoretical investigation on interface interaction and properties of 3 Nitro Properties Chemical, physical and thermal properties of nitrogen: Nitroglycerin, with the molecular formula c 3 h 5 (ono 2) 3, has a high nitrogen content (18.5 percent) and contains sufficient oxygen atoms to oxidize the carbon and hydrogen atoms while nitrogen is being liberated, so that it is one of the most powerful explosives known. It is a colorless, odorless, tasteless. Nitro Properties.
From www.youtube.com
Nomenclature Of Nitro Compounds YouTube Nitro Properties Values at 25 o c (77 o f, 298 k) and atmospheric pressure. On the right hand side you'll see the most common. It is a colorless, odorless, tasteless gas that is the most plentiful element in earth’s atmosphere and is a constituent of all living matter. Nitrogen, nonmetallic element of group 15 [va] of the periodic table. Its atomic. Nitro Properties.
From wtt-pro.nist.gov
benzenesulfonamide, 4nitro Critically Evaluated Thermophysical Nitro Properties Its atomic number is 7 and it is denoted by the symbol ‘n’ in the periodic table. It is a colorless, odorless, tasteless gas that is the most plentiful element in earth’s atmosphere and is a constituent of all living matter. It is taken up by green plants and algae as nitrates, and used to build. Nitrogen is cycled naturally. Nitro Properties.
From schools.aglasem.com
CBSE Class 12 Chemistry Notes Amines Properties of Nitro Compounds Nitro Properties It is taken up by green plants and algae as nitrates, and used to build. Values at 25 o c (77 o f, 298 k) and atmospheric pressure. Follow the links below to get values for the listed properties of nitrogen at. On the right hand side you'll see the most common. Its atomic number is 7 and it is. Nitro Properties.
From www.apartments.com
4322 1st Ave, Nitro, WV 25143 Apartments in Nitro, WV Nitro Properties On the right hand side you'll see the most common. Nitrogen, nonmetallic element of group 15 [va] of the periodic table. For the pdf properties, just open the file with nitro, and go to the file menu. Chemical, physical and thermal properties of nitrogen: Its atomic number is 7 and it is denoted by the symbol ‘n’ in the periodic. Nitro Properties.
From www.researchgate.net
(PDF) Crystal structure and properties of anhydrous 5nitroaminotetrazole Nitro Properties Its atomic number is 7 and it is denoted by the symbol ‘n’ in the periodic table. On the right hand side you'll see the most common. It is a colorless, odorless, tasteless gas that is the most plentiful element in earth’s atmosphere and is a constituent of all living matter. Chemical, physical and thermal properties of nitrogen: Nitroglycerin, with. Nitro Properties.
From www.slideserve.com
PPT Amines and nitro compounds PowerPoint Presentation, free download Nitro Properties Values at 25 o c (77 o f, 298 k) and atmospheric pressure. It is taken up by green plants and algae as nitrates, and used to build. Nitroglycerin, with the molecular formula c 3 h 5 (ono 2) 3, has a high nitrogen content (18.5 percent) and contains sufficient oxygen atoms to oxidize the carbon and hydrogen atoms while. Nitro Properties.
From www.youtube.com
XII. Chemical Properties of Nitro Compounds YouTube Nitro Properties Nitroglycerin, with the molecular formula c 3 h 5 (ono 2) 3, has a high nitrogen content (18.5 percent) and contains sufficient oxygen atoms to oxidize the carbon and hydrogen atoms while nitrogen is being liberated, so that it is one of the most powerful explosives known. Nitrogen is cycled naturally by living organisms through the ‘nitrogen cycle’. Its atomic. Nitro Properties.
From www.researchgate.net
(PDF) Exploring Photoswitchable Properties of Two Nitro Nickel(II Nitro Properties For the pdf properties, just open the file with nitro, and go to the file menu. Nitrogen is cycled naturally by living organisms through the ‘nitrogen cycle’. Its atomic number is 7 and it is denoted by the symbol ‘n’ in the periodic table. Follow the links below to get values for the listed properties of nitrogen at. Chemical, physical. Nitro Properties.
From www.semanticscholar.org
Figure 2 from Investigation of the structural and harmonic vibrational Nitro Properties Follow the links below to get values for the listed properties of nitrogen at. Nitrogen, nonmetallic element of group 15 [va] of the periodic table. Chemical, physical and thermal properties of nitrogen: For the pdf properties, just open the file with nitro, and go to the file menu. Values at 25 o c (77 o f, 298 k) and atmospheric. Nitro Properties.
From www.facebook.com
Nitro Property Sleman Nitro Properties It is taken up by green plants and algae as nitrates, and used to build. On the right hand side you'll see the most common. Chemical, physical and thermal properties of nitrogen: Its atomic number is 7 and it is denoted by the symbol ‘n’ in the periodic table. Follow the links below to get values for the listed properties. Nitro Properties.
From www.youtube.com
Physical properties of nitro compounds Nitro compounds Bsc 2nd year Nitro Properties On the right hand side you'll see the most common. It is a colorless, odorless, tasteless gas that is the most plentiful element in earth’s atmosphere and is a constituent of all living matter. Values at 25 o c (77 o f, 298 k) and atmospheric pressure. Its atomic number is 7 and it is denoted by the symbol ‘n’. Nitro Properties.
From www.alamy.com
Sodium nitroprusside (SNP) antihypertensive drug molecule. Skeletal Nitro Properties Nitrogen, nonmetallic element of group 15 [va] of the periodic table. It is taken up by green plants and algae as nitrates, and used to build. Nitrogen is cycled naturally by living organisms through the ‘nitrogen cycle’. Chemical, physical and thermal properties of nitrogen: It is a colorless, odorless, tasteless gas that is the most plentiful element in earth’s atmosphere. Nitro Properties.
From collegedunia.com
Nitro Compounds Types, Synthesis, Properties & Uses Nitro Properties Nitrogen is cycled naturally by living organisms through the ‘nitrogen cycle’. Nitroglycerin, with the molecular formula c 3 h 5 (ono 2) 3, has a high nitrogen content (18.5 percent) and contains sufficient oxygen atoms to oxidize the carbon and hydrogen atoms while nitrogen is being liberated, so that it is one of the most powerful explosives known. On the. Nitro Properties.
From www.researcher-app.com
Descriptors for High‐Energy Nitro Compounds; Estimation of Thermodyn Nitro Properties Nitrogen is cycled naturally by living organisms through the ‘nitrogen cycle’. Its atomic number is 7 and it is denoted by the symbol ‘n’ in the periodic table. For the pdf properties, just open the file with nitro, and go to the file menu. It is a colorless, odorless, tasteless gas that is the most plentiful element in earth’s atmosphere. Nitro Properties.
From pubs.rsc.org
How amino and nitro substituents direct electrophilic aromatic Nitro Properties It is taken up by green plants and algae as nitrates, and used to build. For the pdf properties, just open the file with nitro, and go to the file menu. On the right hand side you'll see the most common. It is a colorless, odorless, tasteless gas that is the most plentiful element in earth’s atmosphere and is a. Nitro Properties.
From www.youtube.com
Chemical properties of Nitro Compounds YouTube Nitro Properties Its atomic number is 7 and it is denoted by the symbol ‘n’ in the periodic table. It is a colorless, odorless, tasteless gas that is the most plentiful element in earth’s atmosphere and is a constituent of all living matter. Values at 25 o c (77 o f, 298 k) and atmospheric pressure. Nitroglycerin, with the molecular formula c. Nitro Properties.
From brainkart.com
Nitro Compounds Classification, Nomenclature, Isomerism, Preparation Nitro Properties Nitroglycerin, with the molecular formula c 3 h 5 (ono 2) 3, has a high nitrogen content (18.5 percent) and contains sufficient oxygen atoms to oxidize the carbon and hydrogen atoms while nitrogen is being liberated, so that it is one of the most powerful explosives known. Follow the links below to get values for the listed properties of nitrogen. Nitro Properties.
From www.youtube.com
Physical Properties of Nitro CompoundsDeol Chemistry eLearning YouTube Nitro Properties Nitrogen is cycled naturally by living organisms through the ‘nitrogen cycle’. For the pdf properties, just open the file with nitro, and go to the file menu. Nitroglycerin, with the molecular formula c 3 h 5 (ono 2) 3, has a high nitrogen content (18.5 percent) and contains sufficient oxygen atoms to oxidize the carbon and hydrogen atoms while nitrogen. Nitro Properties.
From knifesteelnerds.com
NitroV Its Properties and How to Heat Treat It Knife Steel Nerds Nitro Properties Nitrogen, nonmetallic element of group 15 [va] of the periodic table. Values at 25 o c (77 o f, 298 k) and atmospheric pressure. Follow the links below to get values for the listed properties of nitrogen at. It is a colorless, odorless, tasteless gas that is the most plentiful element in earth’s atmosphere and is a constituent of all. Nitro Properties.
From www.gonitro.com
Print to Nitro PDF Creator Nitro Nitro Properties It is a colorless, odorless, tasteless gas that is the most plentiful element in earth’s atmosphere and is a constituent of all living matter. Nitroglycerin, with the molecular formula c 3 h 5 (ono 2) 3, has a high nitrogen content (18.5 percent) and contains sufficient oxygen atoms to oxidize the carbon and hydrogen atoms while nitrogen is being liberated,. Nitro Properties.
From www.slideshare.net
Nitro compounds Nitro Properties Its atomic number is 7 and it is denoted by the symbol ‘n’ in the periodic table. It is taken up by green plants and algae as nitrates, and used to build. For the pdf properties, just open the file with nitro, and go to the file menu. Nitrogen, nonmetallic element of group 15 [va] of the periodic table. It. Nitro Properties.
From www.researchgate.net
Summary of structures and antiinfective properties of nitroimidazole Nitro Properties It is a colorless, odorless, tasteless gas that is the most plentiful element in earth’s atmosphere and is a constituent of all living matter. Values at 25 o c (77 o f, 298 k) and atmospheric pressure. Nitroglycerin, with the molecular formula c 3 h 5 (ono 2) 3, has a high nitrogen content (18.5 percent) and contains sufficient oxygen. Nitro Properties.
From www.researchgate.net
(PDF) Gradient structuralphase states and properties of surface layer Nitro Properties For the pdf properties, just open the file with nitro, and go to the file menu. Follow the links below to get values for the listed properties of nitrogen at. It is taken up by green plants and algae as nitrates, and used to build. It is a colorless, odorless, tasteless gas that is the most plentiful element in earth’s. Nitro Properties.
From learners933.blogspot.com
Reduction of Nitro Compounds Nitro Properties On the right hand side you'll see the most common. For the pdf properties, just open the file with nitro, and go to the file menu. Nitrogen, nonmetallic element of group 15 [va] of the periodic table. Values at 25 o c (77 o f, 298 k) and atmospheric pressure. Nitroglycerin, with the molecular formula c 3 h 5 (ono. Nitro Properties.