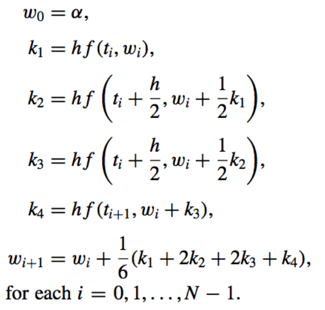
Runge Kutta Truncation Error . In sections 3.1 and 3.2 we studied. Y) and all its partial. With orders of taylor methods yet without derivatives of f (t; Moreover, it can be shown that a method with local truncation error \(o(h^{k+1})\) has global truncation error \(o(h^k)\).
from www.researchgate.net
In sections 3.1 and 3.2 we studied. Y) and all its partial. Moreover, it can be shown that a method with local truncation error \(o(h^{k+1})\) has global truncation error \(o(h^k)\). With orders of taylor methods yet without derivatives of f (t;
8 Dispersion errors of the Gauss RungeKutta schemes of order 2, 4, 6
Runge Kutta Truncation Error In sections 3.1 and 3.2 we studied. With orders of taylor methods yet without derivatives of f (t; Moreover, it can be shown that a method with local truncation error \(o(h^{k+1})\) has global truncation error \(o(h^k)\). In sections 3.1 and 3.2 we studied. Y) and all its partial.
From dokumen.tips
(PDF) A comparative study of new truncation error estimates and Runge Kutta Truncation Error In sections 3.1 and 3.2 we studied. Y) and all its partial. With orders of taylor methods yet without derivatives of f (t; Moreover, it can be shown that a method with local truncation error \(o(h^{k+1})\) has global truncation error \(o(h^k)\). Runge Kutta Truncation Error.
From slideplayer.com
Today’s class Ordinary Differential Equations RungeKutta Methods ppt Runge Kutta Truncation Error In sections 3.1 and 3.2 we studied. Moreover, it can be shown that a method with local truncation error \(o(h^{k+1})\) has global truncation error \(o(h^k)\). Y) and all its partial. With orders of taylor methods yet without derivatives of f (t; Runge Kutta Truncation Error.
From www.semanticscholar.org
Figure 1 from On Error Estimation in RungeKutta Methods Semantic Scholar Runge Kutta Truncation Error Moreover, it can be shown that a method with local truncation error \(o(h^{k+1})\) has global truncation error \(o(h^k)\). In sections 3.1 and 3.2 we studied. With orders of taylor methods yet without derivatives of f (t; Y) and all its partial. Runge Kutta Truncation Error.
From www.researchgate.net
Errors of RungeKutta method and LMM (4.28) with h=0.003. Download Runge Kutta Truncation Error Y) and all its partial. In sections 3.1 and 3.2 we studied. Moreover, it can be shown that a method with local truncation error \(o(h^{k+1})\) has global truncation error \(o(h^k)\). With orders of taylor methods yet without derivatives of f (t; Runge Kutta Truncation Error.
From scialert.net
Local Truncation Error for the Parallel RungeKuttaFifth Order Methods Runge Kutta Truncation Error With orders of taylor methods yet without derivatives of f (t; Moreover, it can be shown that a method with local truncation error \(o(h^{k+1})\) has global truncation error \(o(h^k)\). In sections 3.1 and 3.2 we studied. Y) and all its partial. Runge Kutta Truncation Error.
From www.slideserve.com
PPT Chapter 5. Ordinary Differential Equation PowerPoint Presentation Runge Kutta Truncation Error Moreover, it can be shown that a method with local truncation error \(o(h^{k+1})\) has global truncation error \(o(h^k)\). In sections 3.1 and 3.2 we studied. Y) and all its partial. With orders of taylor methods yet without derivatives of f (t; Runge Kutta Truncation Error.
From www.slideserve.com
PPT Ch 8.3 The RungeKutta Method PowerPoint Presentation, free Runge Kutta Truncation Error In sections 3.1 and 3.2 we studied. Moreover, it can be shown that a method with local truncation error \(o(h^{k+1})\) has global truncation error \(o(h^k)\). Y) and all its partial. With orders of taylor methods yet without derivatives of f (t; Runge Kutta Truncation Error.
From slideplayer.com
Today’s class Ordinary Differential Equations RungeKutta Methods ppt Runge Kutta Truncation Error With orders of taylor methods yet without derivatives of f (t; Y) and all its partial. In sections 3.1 and 3.2 we studied. Moreover, it can be shown that a method with local truncation error \(o(h^{k+1})\) has global truncation error \(o(h^k)\). Runge Kutta Truncation Error.
From www.chegg.com
Solved Consider the second order RungeKutta method for an Runge Kutta Truncation Error With orders of taylor methods yet without derivatives of f (t; Y) and all its partial. Moreover, it can be shown that a method with local truncation error \(o(h^{k+1})\) has global truncation error \(o(h^k)\). In sections 3.1 and 3.2 we studied. Runge Kutta Truncation Error.
From www.researchgate.net
8 Dispersion errors of the Gauss RungeKutta schemes of order 2, 4, 6 Runge Kutta Truncation Error Moreover, it can be shown that a method with local truncation error \(o(h^{k+1})\) has global truncation error \(o(h^k)\). With orders of taylor methods yet without derivatives of f (t; Y) and all its partial. In sections 3.1 and 3.2 we studied. Runge Kutta Truncation Error.
From www.lawebdelprogramador.com
Matlab MATLAB Runge Kutta Error using inline/subsref Runge Kutta Truncation Error Moreover, it can be shown that a method with local truncation error \(o(h^{k+1})\) has global truncation error \(o(h^k)\). With orders of taylor methods yet without derivatives of f (t; Y) and all its partial. In sections 3.1 and 3.2 we studied. Runge Kutta Truncation Error.
From www.researchgate.net
Symplectic error in the truncated power series maps produced using the Runge Kutta Truncation Error Y) and all its partial. With orders of taylor methods yet without derivatives of f (t; Moreover, it can be shown that a method with local truncation error \(o(h^{k+1})\) has global truncation error \(o(h^k)\). In sections 3.1 and 3.2 we studied. Runge Kutta Truncation Error.
From www.chegg.com
Solved 4. (20 points) Consider the RungeKutta method Runge Kutta Truncation Error With orders of taylor methods yet without derivatives of f (t; Moreover, it can be shown that a method with local truncation error \(o(h^{k+1})\) has global truncation error \(o(h^k)\). Y) and all its partial. In sections 3.1 and 3.2 we studied. Runge Kutta Truncation Error.
From www.chegg.com
14. Show that the implicit RungeKutta method (5.65) Runge Kutta Truncation Error In sections 3.1 and 3.2 we studied. With orders of taylor methods yet without derivatives of f (t; Moreover, it can be shown that a method with local truncation error \(o(h^{k+1})\) has global truncation error \(o(h^k)\). Y) and all its partial. Runge Kutta Truncation Error.
From www.chegg.com
Runge Kutta Methods Consider the general form of an Runge Kutta Truncation Error Y) and all its partial. Moreover, it can be shown that a method with local truncation error \(o(h^{k+1})\) has global truncation error \(o(h^k)\). In sections 3.1 and 3.2 we studied. With orders of taylor methods yet without derivatives of f (t; Runge Kutta Truncation Error.
From vdocuments.mx
A TenthOrder RungeKutta Method with Error Estimatesce.uhcl.edu/feagin Runge Kutta Truncation Error Moreover, it can be shown that a method with local truncation error \(o(h^{k+1})\) has global truncation error \(o(h^k)\). In sections 3.1 and 3.2 we studied. Y) and all its partial. With orders of taylor methods yet without derivatives of f (t; Runge Kutta Truncation Error.
From www.scribd.com
RungeKutta 4thOrder Method and Hints PDF Integral Numerical Runge Kutta Truncation Error Moreover, it can be shown that a method with local truncation error \(o(h^{k+1})\) has global truncation error \(o(h^k)\). In sections 3.1 and 3.2 we studied. With orders of taylor methods yet without derivatives of f (t; Y) and all its partial. Runge Kutta Truncation Error.
From www.studypool.com
SOLUTION Analysis the error of runge kutta method mathematics Studypool Runge Kutta Truncation Error With orders of taylor methods yet without derivatives of f (t; Y) and all its partial. In sections 3.1 and 3.2 we studied. Moreover, it can be shown that a method with local truncation error \(o(h^{k+1})\) has global truncation error \(o(h^k)\). Runge Kutta Truncation Error.
From www.youtube.com
The Example of RungeKutta Method YouTube Runge Kutta Truncation Error Y) and all its partial. Moreover, it can be shown that a method with local truncation error \(o(h^{k+1})\) has global truncation error \(o(h^k)\). With orders of taylor methods yet without derivatives of f (t; In sections 3.1 and 3.2 we studied. Runge Kutta Truncation Error.
From www.slideserve.com
PPT Computational Error Analyses for Euler's Method, RungeKutta 4 th Runge Kutta Truncation Error Moreover, it can be shown that a method with local truncation error \(o(h^{k+1})\) has global truncation error \(o(h^k)\). In sections 3.1 and 3.2 we studied. Y) and all its partial. With orders of taylor methods yet without derivatives of f (t; Runge Kutta Truncation Error.
From www.researchgate.net
7 Dissipation errors of the Gauss RungeKutta schemes of order 2s Runge Kutta Truncation Error In sections 3.1 and 3.2 we studied. Moreover, it can be shown that a method with local truncation error \(o(h^{k+1})\) has global truncation error \(o(h^k)\). With orders of taylor methods yet without derivatives of f (t; Y) and all its partial. Runge Kutta Truncation Error.
From www.numerade.com
SOLVED Compute y(0.1) and y(0.2) using the RungeKutta method of Runge Kutta Truncation Error With orders of taylor methods yet without derivatives of f (t; Moreover, it can be shown that a method with local truncation error \(o(h^{k+1})\) has global truncation error \(o(h^k)\). Y) and all its partial. In sections 3.1 and 3.2 we studied. Runge Kutta Truncation Error.
From www.slideserve.com
PPT Ch 8.3 The RungeKutta Method PowerPoint Presentation, free Runge Kutta Truncation Error Moreover, it can be shown that a method with local truncation error \(o(h^{k+1})\) has global truncation error \(o(h^k)\). With orders of taylor methods yet without derivatives of f (t; In sections 3.1 and 3.2 we studied. Y) and all its partial. Runge Kutta Truncation Error.
From www.researchgate.net
Stepwise error comparisons with RungeKutta integration. For each plot Runge Kutta Truncation Error Moreover, it can be shown that a method with local truncation error \(o(h^{k+1})\) has global truncation error \(o(h^k)\). Y) and all its partial. With orders of taylor methods yet without derivatives of f (t; In sections 3.1 and 3.2 we studied. Runge Kutta Truncation Error.
From giojdkwzl.blob.core.windows.net
Runge Kutta Error Analysis at Patti Mathis blog Runge Kutta Truncation Error In sections 3.1 and 3.2 we studied. With orders of taylor methods yet without derivatives of f (t; Y) and all its partial. Moreover, it can be shown that a method with local truncation error \(o(h^{k+1})\) has global truncation error \(o(h^k)\). Runge Kutta Truncation Error.
From www.semanticscholar.org
Table 1 from Estimating local truncation errors for RungeKutta methods Runge Kutta Truncation Error Y) and all its partial. Moreover, it can be shown that a method with local truncation error \(o(h^{k+1})\) has global truncation error \(o(h^k)\). With orders of taylor methods yet without derivatives of f (t; In sections 3.1 and 3.2 we studied. Runge Kutta Truncation Error.
From www.studypool.com
SOLUTION Analysis the error of runge kutta method mathematics Studypool Runge Kutta Truncation Error With orders of taylor methods yet without derivatives of f (t; Moreover, it can be shown that a method with local truncation error \(o(h^{k+1})\) has global truncation error \(o(h^k)\). In sections 3.1 and 3.2 we studied. Y) and all its partial. Runge Kutta Truncation Error.
From giojdkwzl.blob.core.windows.net
Runge Kutta Error Analysis at Patti Mathis blog Runge Kutta Truncation Error In sections 3.1 and 3.2 we studied. Y) and all its partial. With orders of taylor methods yet without derivatives of f (t; Moreover, it can be shown that a method with local truncation error \(o(h^{k+1})\) has global truncation error \(o(h^k)\). Runge Kutta Truncation Error.
From www.numerade.com
SOLVEDOne differential equation for which we can explicitly Runge Kutta Truncation Error Y) and all its partial. In sections 3.1 and 3.2 we studied. With orders of taylor methods yet without derivatives of f (t; Moreover, it can be shown that a method with local truncation error \(o(h^{k+1})\) has global truncation error \(o(h^k)\). Runge Kutta Truncation Error.
From www.researchgate.net
Errors of RungeKutta method and LMM (4.28) with h=0.002. Download Runge Kutta Truncation Error Moreover, it can be shown that a method with local truncation error \(o(h^{k+1})\) has global truncation error \(o(h^k)\). Y) and all its partial. In sections 3.1 and 3.2 we studied. With orders of taylor methods yet without derivatives of f (t; Runge Kutta Truncation Error.
From www.slideserve.com
PPT Computational Error Analyses for Euler's Method, RungeKutta 4 th Runge Kutta Truncation Error Moreover, it can be shown that a method with local truncation error \(o(h^{k+1})\) has global truncation error \(o(h^k)\). In sections 3.1 and 3.2 we studied. With orders of taylor methods yet without derivatives of f (t; Y) and all its partial. Runge Kutta Truncation Error.
From www.researchgate.net
(PDF) A RungeKutta numerical method to approximate the solution of Runge Kutta Truncation Error Moreover, it can be shown that a method with local truncation error \(o(h^{k+1})\) has global truncation error \(o(h^k)\). Y) and all its partial. With orders of taylor methods yet without derivatives of f (t; In sections 3.1 and 3.2 we studied. Runge Kutta Truncation Error.
From ahmedbadary.github.io
Ahmad Badary Runge Kutta Truncation Error In sections 3.1 and 3.2 we studied. With orders of taylor methods yet without derivatives of f (t; Y) and all its partial. Moreover, it can be shown that a method with local truncation error \(o(h^{k+1})\) has global truncation error \(o(h^k)\). Runge Kutta Truncation Error.
From www.chegg.com
Solved Consider the explicit twostage RungeKutta method Runge Kutta Truncation Error Y) and all its partial. With orders of taylor methods yet without derivatives of f (t; Moreover, it can be shown that a method with local truncation error \(o(h^{k+1})\) has global truncation error \(o(h^k)\). In sections 3.1 and 3.2 we studied. Runge Kutta Truncation Error.
From www.researchgate.net
The relative errors of the proposed method and the RungeKutta method Runge Kutta Truncation Error In sections 3.1 and 3.2 we studied. Y) and all its partial. Moreover, it can be shown that a method with local truncation error \(o(h^{k+1})\) has global truncation error \(o(h^k)\). With orders of taylor methods yet without derivatives of f (t; Runge Kutta Truncation Error.