Rental Agreement Mold Disclosure . In accordance with this addendum and the lease agreement, the tenant shall also allow access to any professional mold removal company hired. To notify the landlord of any mold growth on surfaces inside the dwelling unit that cannot be removed or controlled by the tenant. Mold addendum to lease this addendum is agreed to and shall be made part of the lease agreement between _____ (owner or agent) and _____. A mold lease addendum is a form that notifies the tenant of their responsibility pertaining to the prevention of mold in the leased property. Explore a comprehensive guide on mold laws in montreal, detailing tenant and landlord obligations, mold basics, and effective remediation strategies.
from www.sampleforms.com
In accordance with this addendum and the lease agreement, the tenant shall also allow access to any professional mold removal company hired. Mold addendum to lease this addendum is agreed to and shall be made part of the lease agreement between _____ (owner or agent) and _____. A mold lease addendum is a form that notifies the tenant of their responsibility pertaining to the prevention of mold in the leased property. Explore a comprehensive guide on mold laws in montreal, detailing tenant and landlord obligations, mold basics, and effective remediation strategies. To notify the landlord of any mold growth on surfaces inside the dwelling unit that cannot be removed or controlled by the tenant.
FREE 10+ Sample Real Estate Disclosure Forms in PDF MS Word
Rental Agreement Mold Disclosure In accordance with this addendum and the lease agreement, the tenant shall also allow access to any professional mold removal company hired. Mold addendum to lease this addendum is agreed to and shall be made part of the lease agreement between _____ (owner or agent) and _____. A mold lease addendum is a form that notifies the tenant of their responsibility pertaining to the prevention of mold in the leased property. Explore a comprehensive guide on mold laws in montreal, detailing tenant and landlord obligations, mold basics, and effective remediation strategies. In accordance with this addendum and the lease agreement, the tenant shall also allow access to any professional mold removal company hired. To notify the landlord of any mold growth on surfaces inside the dwelling unit that cannot be removed or controlled by the tenant.
From www.sampleforms.com
FREE 11+ Lease Addendum Forms in PDF MS Word Rental Agreement Mold Disclosure A mold lease addendum is a form that notifies the tenant of their responsibility pertaining to the prevention of mold in the leased property. In accordance with this addendum and the lease agreement, the tenant shall also allow access to any professional mold removal company hired. Mold addendum to lease this addendum is agreed to and shall be made part. Rental Agreement Mold Disclosure.
From www.formsbank.com
Top 5 Mold Disclosure Form Templates free to download in PDF format Rental Agreement Mold Disclosure A mold lease addendum is a form that notifies the tenant of their responsibility pertaining to the prevention of mold in the leased property. Explore a comprehensive guide on mold laws in montreal, detailing tenant and landlord obligations, mold basics, and effective remediation strategies. Mold addendum to lease this addendum is agreed to and shall be made part of the. Rental Agreement Mold Disclosure.
From printableleaseagreement.org
Download Free Basic Rental Agreement or Residential Lease Printable Rental Agreement Mold Disclosure Explore a comprehensive guide on mold laws in montreal, detailing tenant and landlord obligations, mold basics, and effective remediation strategies. In accordance with this addendum and the lease agreement, the tenant shall also allow access to any professional mold removal company hired. Mold addendum to lease this addendum is agreed to and shall be made part of the lease agreement. Rental Agreement Mold Disclosure.
From www.printablerealestateforms.com
Lease Addendum Form Free Mold Addendum Form (PRINT) Rental Agreement Mold Disclosure Explore a comprehensive guide on mold laws in montreal, detailing tenant and landlord obligations, mold basics, and effective remediation strategies. To notify the landlord of any mold growth on surfaces inside the dwelling unit that cannot be removed or controlled by the tenant. A mold lease addendum is a form that notifies the tenant of their responsibility pertaining to the. Rental Agreement Mold Disclosure.
From www.sampleforms.com
FREE 10+ Sample Real Estate Disclosure Forms in PDF MS Word Rental Agreement Mold Disclosure A mold lease addendum is a form that notifies the tenant of their responsibility pertaining to the prevention of mold in the leased property. Mold addendum to lease this addendum is agreed to and shall be made part of the lease agreement between _____ (owner or agent) and _____. To notify the landlord of any mold growth on surfaces inside. Rental Agreement Mold Disclosure.
From leaseagreements.com
Free Mold Lease Addendum Template PDF Rental Agreement Mold Disclosure Mold addendum to lease this addendum is agreed to and shall be made part of the lease agreement between _____ (owner or agent) and _____. In accordance with this addendum and the lease agreement, the tenant shall also allow access to any professional mold removal company hired. Explore a comprehensive guide on mold laws in montreal, detailing tenant and landlord. Rental Agreement Mold Disclosure.
From moldhelpforyou.com
Mold In A Rental? Landlord Won't Fix The Mold Problem? A Guide To Mold Rental Agreement Mold Disclosure Mold addendum to lease this addendum is agreed to and shall be made part of the lease agreement between _____ (owner or agent) and _____. Explore a comprehensive guide on mold laws in montreal, detailing tenant and landlord obligations, mold basics, and effective remediation strategies. In accordance with this addendum and the lease agreement, the tenant shall also allow access. Rental Agreement Mold Disclosure.
From journal.firsttuesday.us
Information on Dampness and Mold for Renters in California — RPI Form 5641 Rental Agreement Mold Disclosure Explore a comprehensive guide on mold laws in montreal, detailing tenant and landlord obligations, mold basics, and effective remediation strategies. Mold addendum to lease this addendum is agreed to and shall be made part of the lease agreement between _____ (owner or agent) and _____. To notify the landlord of any mold growth on surfaces inside the dwelling unit that. Rental Agreement Mold Disclosure.
From www.templateroller.com
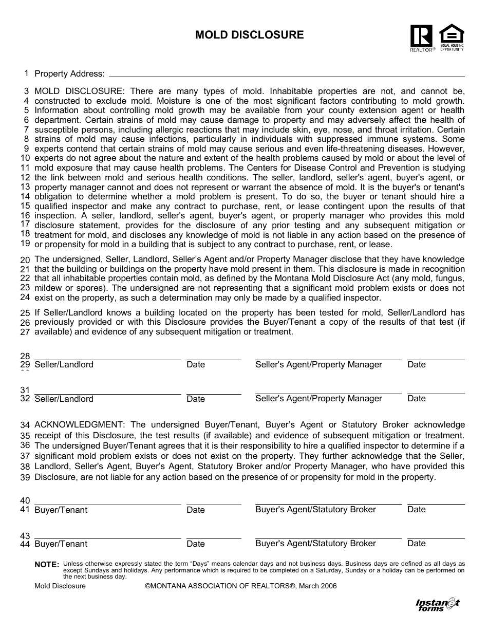
Mold Disclosure Form Montana Association of Realtors Fill Out, Sign Rental Agreement Mold Disclosure Explore a comprehensive guide on mold laws in montreal, detailing tenant and landlord obligations, mold basics, and effective remediation strategies. Mold addendum to lease this addendum is agreed to and shall be made part of the lease agreement between _____ (owner or agent) and _____. A mold lease addendum is a form that notifies the tenant of their responsibility pertaining. Rental Agreement Mold Disclosure.
From esign.com
Free Washington Standard Residential Lease Agreement PDF Word Rental Agreement Mold Disclosure Explore a comprehensive guide on mold laws in montreal, detailing tenant and landlord obligations, mold basics, and effective remediation strategies. A mold lease addendum is a form that notifies the tenant of their responsibility pertaining to the prevention of mold in the leased property. To notify the landlord of any mold growth on surfaces inside the dwelling unit that cannot. Rental Agreement Mold Disclosure.
From www.uslegalforms.com
Real Estate Mold Disclosure Form With Rental Agreement US Legal Forms Rental Agreement Mold Disclosure Explore a comprehensive guide on mold laws in montreal, detailing tenant and landlord obligations, mold basics, and effective remediation strategies. Mold addendum to lease this addendum is agreed to and shall be made part of the lease agreement between _____ (owner or agent) and _____. In accordance with this addendum and the lease agreement, the tenant shall also allow access. Rental Agreement Mold Disclosure.
From www.ezlandlordforms.com
Washington Rental Application Disclosure EZ Landlord Forms Rental Agreement Mold Disclosure A mold lease addendum is a form that notifies the tenant of their responsibility pertaining to the prevention of mold in the leased property. Explore a comprehensive guide on mold laws in montreal, detailing tenant and landlord obligations, mold basics, and effective remediation strategies. Mold addendum to lease this addendum is agreed to and shall be made part of the. Rental Agreement Mold Disclosure.
From www.pdffiller.com
Free Mold Lease Addendum Template PDFWordes Doc Template pdfFiller Rental Agreement Mold Disclosure To notify the landlord of any mold growth on surfaces inside the dwelling unit that cannot be removed or controlled by the tenant. A mold lease addendum is a form that notifies the tenant of their responsibility pertaining to the prevention of mold in the leased property. Explore a comprehensive guide on mold laws in montreal, detailing tenant and landlord. Rental Agreement Mold Disclosure.
From www.pdffiller.com
Mold Disclosure Form Fill Online, Printable, Fillable, Blank pdfFiller Rental Agreement Mold Disclosure In accordance with this addendum and the lease agreement, the tenant shall also allow access to any professional mold removal company hired. To notify the landlord of any mold growth on surfaces inside the dwelling unit that cannot be removed or controlled by the tenant. Explore a comprehensive guide on mold laws in montreal, detailing tenant and landlord obligations, mold. Rental Agreement Mold Disclosure.
From www.doctemplates.net
Basic Residential Lease Agreement Templates Word Rental Agreement Mold Disclosure Mold addendum to lease this addendum is agreed to and shall be made part of the lease agreement between _____ (owner or agent) and _____. Explore a comprehensive guide on mold laws in montreal, detailing tenant and landlord obligations, mold basics, and effective remediation strategies. A mold lease addendum is a form that notifies the tenant of their responsibility pertaining. Rental Agreement Mold Disclosure.
From www.pinterest.ca
MOLD DISCLOSURE/WAIVER PDF Rental agreement templates, Being a Rental Agreement Mold Disclosure Mold addendum to lease this addendum is agreed to and shall be made part of the lease agreement between _____ (owner or agent) and _____. A mold lease addendum is a form that notifies the tenant of their responsibility pertaining to the prevention of mold in the leased property. Explore a comprehensive guide on mold laws in montreal, detailing tenant. Rental Agreement Mold Disclosure.
From printableleaseagreement.org
Download Free Mold Addendum to Lease Printable Lease Agreement Rental Agreement Mold Disclosure To notify the landlord of any mold growth on surfaces inside the dwelling unit that cannot be removed or controlled by the tenant. Explore a comprehensive guide on mold laws in montreal, detailing tenant and landlord obligations, mold basics, and effective remediation strategies. A mold lease addendum is a form that notifies the tenant of their responsibility pertaining to the. Rental Agreement Mold Disclosure.
From www.wordtemplatesonline.net
Free Lease Addendum Templates (14 Types) Clause Forms Rental Agreement Mold Disclosure A mold lease addendum is a form that notifies the tenant of their responsibility pertaining to the prevention of mold in the leased property. Explore a comprehensive guide on mold laws in montreal, detailing tenant and landlord obligations, mold basics, and effective remediation strategies. Mold addendum to lease this addendum is agreed to and shall be made part of the. Rental Agreement Mold Disclosure.
From www.american-apartment-owners-association.org
Mold Addendum AAOA Rental Agreement Mold Disclosure Mold addendum to lease this addendum is agreed to and shall be made part of the lease agreement between _____ (owner or agent) and _____. A mold lease addendum is a form that notifies the tenant of their responsibility pertaining to the prevention of mold in the leased property. Explore a comprehensive guide on mold laws in montreal, detailing tenant. Rental Agreement Mold Disclosure.
From www.signnow.com
Mold Disclosure California 20022024 Form Fill Out and Sign Printable Rental Agreement Mold Disclosure Mold addendum to lease this addendum is agreed to and shall be made part of the lease agreement between _____ (owner or agent) and _____. Explore a comprehensive guide on mold laws in montreal, detailing tenant and landlord obligations, mold basics, and effective remediation strategies. A mold lease addendum is a form that notifies the tenant of their responsibility pertaining. Rental Agreement Mold Disclosure.
From www.pdffiller.com
Fillable Online DISCLOSURE OF MOLD LEASE AGREEMENT Fax Email Print Rental Agreement Mold Disclosure To notify the landlord of any mold growth on surfaces inside the dwelling unit that cannot be removed or controlled by the tenant. Explore a comprehensive guide on mold laws in montreal, detailing tenant and landlord obligations, mold basics, and effective remediation strategies. Mold addendum to lease this addendum is agreed to and shall be made part of the lease. Rental Agreement Mold Disclosure.
From esign.com
Free Mold Lease Addendum Form (2) PDF Word Rental Agreement Mold Disclosure Mold addendum to lease this addendum is agreed to and shall be made part of the lease agreement between _____ (owner or agent) and _____. A mold lease addendum is a form that notifies the tenant of their responsibility pertaining to the prevention of mold in the leased property. In accordance with this addendum and the lease agreement, the tenant. Rental Agreement Mold Disclosure.
From www.etsy.com
Mold Addendum to Residential Lease Tenant, Landlord Agreement Fillable Rental Agreement Mold Disclosure A mold lease addendum is a form that notifies the tenant of their responsibility pertaining to the prevention of mold in the leased property. Explore a comprehensive guide on mold laws in montreal, detailing tenant and landlord obligations, mold basics, and effective remediation strategies. In accordance with this addendum and the lease agreement, the tenant shall also allow access to. Rental Agreement Mold Disclosure.
From www.printablerealestateforms.com
Lease Addendum Form Free Mold Addendum Form (PRINT) Rental Agreement Mold Disclosure Explore a comprehensive guide on mold laws in montreal, detailing tenant and landlord obligations, mold basics, and effective remediation strategies. Mold addendum to lease this addendum is agreed to and shall be made part of the lease agreement between _____ (owner or agent) and _____. To notify the landlord of any mold growth on surfaces inside the dwelling unit that. Rental Agreement Mold Disclosure.
From www.pdffiller.com
Fillable Online MOLD ADDENDUM TO LEASE Printable Lease Agreement Fax Rental Agreement Mold Disclosure A mold lease addendum is a form that notifies the tenant of their responsibility pertaining to the prevention of mold in the leased property. Explore a comprehensive guide on mold laws in montreal, detailing tenant and landlord obligations, mold basics, and effective remediation strategies. In accordance with this addendum and the lease agreement, the tenant shall also allow access to. Rental Agreement Mold Disclosure.
From eforms.com
Free Mold Lease Addendum Template PDF Word eForms Rental Agreement Mold Disclosure A mold lease addendum is a form that notifies the tenant of their responsibility pertaining to the prevention of mold in the leased property. Mold addendum to lease this addendum is agreed to and shall be made part of the lease agreement between _____ (owner or agent) and _____. Explore a comprehensive guide on mold laws in montreal, detailing tenant. Rental Agreement Mold Disclosure.
From www.pdffiller.com
Online DISCLOSURE OF MOLD LEASE AGREEMENT Doc Template pdfFiller Rental Agreement Mold Disclosure Explore a comprehensive guide on mold laws in montreal, detailing tenant and landlord obligations, mold basics, and effective remediation strategies. In accordance with this addendum and the lease agreement, the tenant shall also allow access to any professional mold removal company hired. To notify the landlord of any mold growth on surfaces inside the dwelling unit that cannot be removed. Rental Agreement Mold Disclosure.
From esign.com
Free Mold Lease Addendum Form (2) PDF Word Rental Agreement Mold Disclosure In accordance with this addendum and the lease agreement, the tenant shall also allow access to any professional mold removal company hired. Mold addendum to lease this addendum is agreed to and shall be made part of the lease agreement between _____ (owner or agent) and _____. To notify the landlord of any mold growth on surfaces inside the dwelling. Rental Agreement Mold Disclosure.
From www.uslegalforms.com
Mold Disclosure Florida 20202021 Fill and Sign Printable Template Rental Agreement Mold Disclosure In accordance with this addendum and the lease agreement, the tenant shall also allow access to any professional mold removal company hired. To notify the landlord of any mold growth on surfaces inside the dwelling unit that cannot be removed or controlled by the tenant. Mold addendum to lease this addendum is agreed to and shall be made part of. Rental Agreement Mold Disclosure.
From esign.com
Free California Standard Residential Lease Agreement PDF Word Rental Agreement Mold Disclosure Mold addendum to lease this addendum is agreed to and shall be made part of the lease agreement between _____ (owner or agent) and _____. A mold lease addendum is a form that notifies the tenant of their responsibility pertaining to the prevention of mold in the leased property. In accordance with this addendum and the lease agreement, the tenant. Rental Agreement Mold Disclosure.
From leaseagreements.com
Free Mold Lease Addendum Template PDF Rental Agreement Mold Disclosure Mold addendum to lease this addendum is agreed to and shall be made part of the lease agreement between _____ (owner or agent) and _____. A mold lease addendum is a form that notifies the tenant of their responsibility pertaining to the prevention of mold in the leased property. In accordance with this addendum and the lease agreement, the tenant. Rental Agreement Mold Disclosure.
From www.wordtemplatesonline.net
Free Washington Lease Agreement Templates (PDF, Word) Rental Agreement Mold Disclosure In accordance with this addendum and the lease agreement, the tenant shall also allow access to any professional mold removal company hired. Explore a comprehensive guide on mold laws in montreal, detailing tenant and landlord obligations, mold basics, and effective remediation strategies. Mold addendum to lease this addendum is agreed to and shall be made part of the lease agreement. Rental Agreement Mold Disclosure.
From eforms.com
Free Simple 1Page Lease Agreement Template Sample PDF Word eForms Rental Agreement Mold Disclosure Explore a comprehensive guide on mold laws in montreal, detailing tenant and landlord obligations, mold basics, and effective remediation strategies. In accordance with this addendum and the lease agreement, the tenant shall also allow access to any professional mold removal company hired. A mold lease addendum is a form that notifies the tenant of their responsibility pertaining to the prevention. Rental Agreement Mold Disclosure.
From eforms.com
Free Montana Association of Realtors Residential Lease Agreement PDF Rental Agreement Mold Disclosure A mold lease addendum is a form that notifies the tenant of their responsibility pertaining to the prevention of mold in the leased property. To notify the landlord of any mold growth on surfaces inside the dwelling unit that cannot be removed or controlled by the tenant. In accordance with this addendum and the lease agreement, the tenant shall also. Rental Agreement Mold Disclosure.
From www.template.net
Real Estate Mold Disclosure Agreement Template Edit Online & Download Rental Agreement Mold Disclosure In accordance with this addendum and the lease agreement, the tenant shall also allow access to any professional mold removal company hired. A mold lease addendum is a form that notifies the tenant of their responsibility pertaining to the prevention of mold in the leased property. Mold addendum to lease this addendum is agreed to and shall be made part. Rental Agreement Mold Disclosure.