How Many Joules In A Battery . the proper units of energy (= work done or doable) for a battery is watt.seconds or joules. what is the terminal voltage of a battery that expends 135 joules of energy to move 15 coulombs of charge around an electrical circuit. $latex e = v \times i \times t$. In this formula “v” is. the battery energy calculator allows you to calculate the battery energy of a single cell or a battery pack. the formula calculates the energy stored in a battery: If we work for one. The simplest cells are made. You need to enter the battery cell capacity,. The battery is a combination of two or more electric cells. Ignoring losses, does that mean a aa battery could theoretically lift.
from www.linkedin.com
Ignoring losses, does that mean a aa battery could theoretically lift. You need to enter the battery cell capacity,. the formula calculates the energy stored in a battery: the battery energy calculator allows you to calculate the battery energy of a single cell or a battery pack. In this formula “v” is. the proper units of energy (= work done or doable) for a battery is watt.seconds or joules. If we work for one. The simplest cells are made. $latex e = v \times i \times t$. what is the terminal voltage of a battery that expends 135 joules of energy to move 15 coulombs of charge around an electrical circuit.
How much energy(Joules) does a battery supply? Introduction and Output
How Many Joules In A Battery In this formula “v” is. what is the terminal voltage of a battery that expends 135 joules of energy to move 15 coulombs of charge around an electrical circuit. $latex e = v \times i \times t$. The simplest cells are made. If we work for one. The battery is a combination of two or more electric cells. the battery energy calculator allows you to calculate the battery energy of a single cell or a battery pack. Ignoring losses, does that mean a aa battery could theoretically lift. the formula calculates the energy stored in a battery: In this formula “v” is. You need to enter the battery cell capacity,. the proper units of energy (= work done or doable) for a battery is watt.seconds or joules.
From www.gauthmath.com
Solved A light bulb with resistance of 80 Ω is connected to a 9 V How Many Joules In A Battery You need to enter the battery cell capacity,. $latex e = v \times i \times t$. the battery energy calculator allows you to calculate the battery energy of a single cell or a battery pack. what is the terminal voltage of a battery that expends 135 joules of energy to move 15 coulombs of charge around an electrical. How Many Joules In A Battery.
From haipernews.com
How To Calculate Joules From Hour Haiper How Many Joules In A Battery The simplest cells are made. You need to enter the battery cell capacity,. the proper units of energy (= work done or doable) for a battery is watt.seconds or joules. the battery energy calculator allows you to calculate the battery energy of a single cell or a battery pack. If we work for one. In this formula “v”. How Many Joules In A Battery.
From seppanvschematic.z4.web.core.windows.net
How Many Watt Hours Is 10000mah How Many Joules In A Battery $latex e = v \times i \times t$. what is the terminal voltage of a battery that expends 135 joules of energy to move 15 coulombs of charge around an electrical circuit. the proper units of energy (= work done or doable) for a battery is watt.seconds or joules. Ignoring losses, does that mean a aa battery could. How Many Joules In A Battery.
From slideplayer.com
Power. ppt download How Many Joules In A Battery the formula calculates the energy stored in a battery: what is the terminal voltage of a battery that expends 135 joules of energy to move 15 coulombs of charge around an electrical circuit. In this formula “v” is. You need to enter the battery cell capacity,. $latex e = v \times i \times t$. the proper units. How Many Joules In A Battery.
From wiringfixgetapterje.z13.web.core.windows.net
How Many Kwh Is 5000 Watts How Many Joules In A Battery what is the terminal voltage of a battery that expends 135 joules of energy to move 15 coulombs of charge around an electrical circuit. $latex e = v \times i \times t$. Ignoring losses, does that mean a aa battery could theoretically lift. If we work for one. The battery is a combination of two or more electric cells.. How Many Joules In A Battery.
From www.numerade.com
SOLVED A light bulb with a resistance of 80 Ω is connected to a 9V How Many Joules In A Battery You need to enter the battery cell capacity,. In this formula “v” is. The battery is a combination of two or more electric cells. the battery energy calculator allows you to calculate the battery energy of a single cell or a battery pack. The simplest cells are made. If we work for one. the formula calculates the energy. How Many Joules In A Battery.
From haipernews.com
How To Calculate Joules In Electricity Haiper How Many Joules In A Battery the battery energy calculator allows you to calculate the battery energy of a single cell or a battery pack. If we work for one. $latex e = v \times i \times t$. Ignoring losses, does that mean a aa battery could theoretically lift. the formula calculates the energy stored in a battery: what is the terminal voltage. How Many Joules In A Battery.
From nathanruffing.com
What to Watch 22 The LithiumIon Battery How Many Joules 1 Nate's Blog How Many Joules In A Battery The simplest cells are made. In this formula “v” is. If we work for one. the formula calculates the energy stored in a battery: The battery is a combination of two or more electric cells. You need to enter the battery cell capacity,. the battery energy calculator allows you to calculate the battery energy of a single cell. How Many Joules In A Battery.
From www.numerade.com
SOLVED Q 4 A 12 V car battery can supply a current of 10 A for 5.0 How Many Joules In A Battery the battery energy calculator allows you to calculate the battery energy of a single cell or a battery pack. $latex e = v \times i \times t$. what is the terminal voltage of a battery that expends 135 joules of energy to move 15 coulombs of charge around an electrical circuit. the proper units of energy (=. How Many Joules In A Battery.
From www.toppr.com
Three 2, V cells are connected in series and used as a battery in a How Many Joules In A Battery The battery is a combination of two or more electric cells. $latex e = v \times i \times t$. the formula calculates the energy stored in a battery: Ignoring losses, does that mean a aa battery could theoretically lift. You need to enter the battery cell capacity,. If we work for one. what is the terminal voltage of. How Many Joules In A Battery.
From slideplayer.com
Warm up A light needs 3 amps to produce light the resistance of the How Many Joules In A Battery the formula calculates the energy stored in a battery: $latex e = v \times i \times t$. Ignoring losses, does that mean a aa battery could theoretically lift. The battery is a combination of two or more electric cells. The simplest cells are made. what is the terminal voltage of a battery that expends 135 joules of energy. How Many Joules In A Battery.
From www.youtube.com
🔋 Battery amphour, watthour and C rating tutorial YouTube How Many Joules In A Battery what is the terminal voltage of a battery that expends 135 joules of energy to move 15 coulombs of charge around an electrical circuit. Ignoring losses, does that mean a aa battery could theoretically lift. the battery energy calculator allows you to calculate the battery energy of a single cell or a battery pack. The simplest cells are. How Many Joules In A Battery.
From www.youtube.com
Batteries are rated in terms of amperehours (A • h). For example, a How Many Joules In A Battery the proper units of energy (= work done or doable) for a battery is watt.seconds or joules. what is the terminal voltage of a battery that expends 135 joules of energy to move 15 coulombs of charge around an electrical circuit. $latex e = v \times i \times t$. The simplest cells are made. The battery is a. How Many Joules In A Battery.
From www.doubtnut.com
[Punjabi] How many joules are there in MeV? How Many Joules In A Battery The battery is a combination of two or more electric cells. $latex e = v \times i \times t$. the battery energy calculator allows you to calculate the battery energy of a single cell or a battery pack. Ignoring losses, does that mean a aa battery could theoretically lift. The simplest cells are made. what is the terminal. How Many Joules In A Battery.
From keely-has-cole.blogspot.com
How Many Joules Are There in 1 Kwh KeelyhasCole How Many Joules In A Battery $latex e = v \times i \times t$. In this formula “v” is. The simplest cells are made. the formula calculates the energy stored in a battery: You need to enter the battery cell capacity,. the proper units of energy (= work done or doable) for a battery is watt.seconds or joules. The battery is a combination of. How Many Joules In A Battery.
From www.chegg.com
Solved PROBLEM 1. a) How many joules are released in the How Many Joules In A Battery In this formula “v” is. You need to enter the battery cell capacity,. $latex e = v \times i \times t$. the proper units of energy (= work done or doable) for a battery is watt.seconds or joules. the battery energy calculator allows you to calculate the battery energy of a single cell or a battery pack. Ignoring. How Many Joules In A Battery.
From www.bartleby.com
Answered HONORS ONLY 12. How many joules are… bartleby How Many Joules In A Battery $latex e = v \times i \times t$. the battery energy calculator allows you to calculate the battery energy of a single cell or a battery pack. The battery is a combination of two or more electric cells. You need to enter the battery cell capacity,. Ignoring losses, does that mean a aa battery could theoretically lift. If we. How Many Joules In A Battery.
From skutojovaschematic.z4.web.core.windows.net
110 Volts Equal How Many Amps How Many Joules In A Battery The simplest cells are made. the battery energy calculator allows you to calculate the battery energy of a single cell or a battery pack. the proper units of energy (= work done or doable) for a battery is watt.seconds or joules. The battery is a combination of two or more electric cells. Ignoring losses, does that mean a. How Many Joules In A Battery.
From www.numerade.com
SOLVED(a) What is the available energy content, in joules, of a How Many Joules In A Battery the formula calculates the energy stored in a battery: The battery is a combination of two or more electric cells. If we work for one. the proper units of energy (= work done or doable) for a battery is watt.seconds or joules. what is the terminal voltage of a battery that expends 135 joules of energy to. How Many Joules In A Battery.
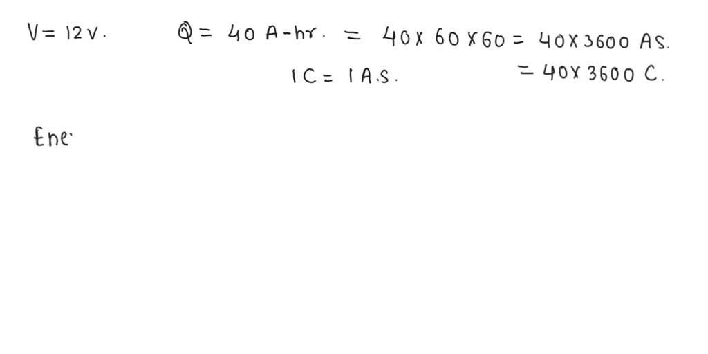
From www.numerade.com
A 12V battery requires a total charge of 40 amperehours during How Many Joules In A Battery the battery energy calculator allows you to calculate the battery energy of a single cell or a battery pack. The simplest cells are made. In this formula “v” is. the proper units of energy (= work done or doable) for a battery is watt.seconds or joules. The battery is a combination of two or more electric cells. . How Many Joules In A Battery.
From www.numerade.com
SOLVED Calculate how many joules are there in 1 KWh energy. How Many Joules In A Battery You need to enter the battery cell capacity,. what is the terminal voltage of a battery that expends 135 joules of energy to move 15 coulombs of charge around an electrical circuit. the battery energy calculator allows you to calculate the battery energy of a single cell or a battery pack. If we work for one. $latex e. How Many Joules In A Battery.
From www.linkedin.com
How much energy(Joules) does a battery supply? Introduction and Output How Many Joules In A Battery the formula calculates the energy stored in a battery: the battery energy calculator allows you to calculate the battery energy of a single cell or a battery pack. The simplest cells are made. You need to enter the battery cell capacity,. In this formula “v” is. The battery is a combination of two or more electric cells. If. How Many Joules In A Battery.
From www.numerade.com
SOLVED battery has an EMF of 12 volts load and an internal consisting How Many Joules In A Battery The simplest cells are made. Ignoring losses, does that mean a aa battery could theoretically lift. the battery energy calculator allows you to calculate the battery energy of a single cell or a battery pack. what is the terminal voltage of a battery that expends 135 joules of energy to move 15 coulombs of charge around an electrical. How Many Joules In A Battery.
From www.toppr.com
One kilowatt hour is equivalent to joules. How Many Joules In A Battery In this formula “v” is. the proper units of energy (= work done or doable) for a battery is watt.seconds or joules. the formula calculates the energy stored in a battery: The simplest cells are made. The battery is a combination of two or more electric cells. $latex e = v \times i \times t$. You need to. How Many Joules In A Battery.
From www.youtube.com
Joule's Law Example 4 (Energy in a battery) YouTube How Many Joules In A Battery the formula calculates the energy stored in a battery: In this formula “v” is. You need to enter the battery cell capacity,. The simplest cells are made. The battery is a combination of two or more electric cells. what is the terminal voltage of a battery that expends 135 joules of energy to move 15 coulombs of charge. How Many Joules In A Battery.
From www.numerade.com
⏩SOLVED(II) A 12V battery causes a current of 0.60 A through a How Many Joules In A Battery the battery energy calculator allows you to calculate the battery energy of a single cell or a battery pack. what is the terminal voltage of a battery that expends 135 joules of energy to move 15 coulombs of charge around an electrical circuit. The simplest cells are made. the proper units of energy (= work done or. How Many Joules In A Battery.
From brainly.com
How many joules are in 10,000 Electron Volts How Many Joules In A Battery In this formula “v” is. $latex e = v \times i \times t$. the battery energy calculator allows you to calculate the battery energy of a single cell or a battery pack. Ignoring losses, does that mean a aa battery could theoretically lift. the proper units of energy (= work done or doable) for a battery is watt.seconds. How Many Joules In A Battery.
From www.coursehero.com
[Solved] How many joules are there in 2.46 kcal? (1 calorie = 4.184 J How Many Joules In A Battery what is the terminal voltage of a battery that expends 135 joules of energy to move 15 coulombs of charge around an electrical circuit. If we work for one. $latex e = v \times i \times t$. the formula calculates the energy stored in a battery: the battery energy calculator allows you to calculate the battery energy. How Many Joules In A Battery.
From haipernews.com
How To Calculate Joules Of Radiation Haiper How Many Joules In A Battery The battery is a combination of two or more electric cells. If we work for one. You need to enter the battery cell capacity,. the proper units of energy (= work done or doable) for a battery is watt.seconds or joules. the formula calculates the energy stored in a battery: In this formula “v” is. Ignoring losses, does. How Many Joules In A Battery.
From www.nytimes.com
Watts in a Name? Why We’re Using WattHours to Compare Batteries How Many Joules In A Battery the proper units of energy (= work done or doable) for a battery is watt.seconds or joules. what is the terminal voltage of a battery that expends 135 joules of energy to move 15 coulombs of charge around an electrical circuit. $latex e = v \times i \times t$. the formula calculates the energy stored in a. How Many Joules In A Battery.
From www.numerade.com
SOLVEDHow many joules of energy are in a kilowatthour? How Many Joules In A Battery You need to enter the battery cell capacity,. Ignoring losses, does that mean a aa battery could theoretically lift. the proper units of energy (= work done or doable) for a battery is watt.seconds or joules. The battery is a combination of two or more electric cells. The simplest cells are made. If we work for one. the. How Many Joules In A Battery.
From www.takomabattery.com
Basic of voltage in a AAA battery knowledge TYCORUN ENERGY How Many Joules In A Battery the battery energy calculator allows you to calculate the battery energy of a single cell or a battery pack. The simplest cells are made. Ignoring losses, does that mean a aa battery could theoretically lift. In this formula “v” is. If we work for one. the proper units of energy (= work done or doable) for a battery. How Many Joules In A Battery.
From www.wikihow.com
5 Ways to Calculate Joules wikiHow How Many Joules In A Battery You need to enter the battery cell capacity,. the proper units of energy (= work done or doable) for a battery is watt.seconds or joules. The simplest cells are made. Ignoring losses, does that mean a aa battery could theoretically lift. what is the terminal voltage of a battery that expends 135 joules of energy to move 15. How Many Joules In A Battery.
From www.numerade.com
SOLVED A ( 10Omega ) resistor is connected across a ( 15mathrmV How Many Joules In A Battery You need to enter the battery cell capacity,. the formula calculates the energy stored in a battery: The simplest cells are made. The battery is a combination of two or more electric cells. Ignoring losses, does that mean a aa battery could theoretically lift. $latex e = v \times i \times t$. In this formula “v” is. what. How Many Joules In A Battery.
From haipernews.com
How To Calculate Joules Released Haiper How Many Joules In A Battery The simplest cells are made. the formula calculates the energy stored in a battery: the proper units of energy (= work done or doable) for a battery is watt.seconds or joules. what is the terminal voltage of a battery that expends 135 joules of energy to move 15 coulombs of charge around an electrical circuit. You need. How Many Joules In A Battery.