Copper Density In G/Cm3 . Typical densities of various substances are at atmospheric pressure. 119 rows september 1, 2024 by jay. Typical densities of various substances are at atmospheric pressure. Have a question about using wolfram|alpha? The density of copper is approximately 8.96 g/cm³. Density of all elements in g/cm 3 is mentioned in the chart below. density of copper is 8.92g/cm3. what is the density of copper in g/cm3? the density of common metals such as iron is 7.87 g/cm3, mild steel is 7.85 g/cm3, 304 stainless steel is 8.0 g/cm3, aluminum is 2.7g/cm3, copper is 8.93. density of copper is 8.92g/cm3. 19 rows the density of copper is 8.96 g/cm 3 (8960 kg/m 3, 559 lb/ft 3, 0.324 lb/ in 3) at room temperature. density (g cm −3) density is the mass of a substance that would fill 1 cm 3 at room temperature. Density is defined as the mass per unit volume.
from brainly.com
The density of copper is approximately 8.96 g/cm³. density of copper is 8.92g/cm3. density of copper is 8.92g/cm3. the density of common metals such as iron is 7.87 g/cm3, mild steel is 7.85 g/cm3, 304 stainless steel is 8.0 g/cm3, aluminum is 2.7g/cm3, copper is 8.93. what is the density of copper in g/cm3? Have a question about using wolfram|alpha? 19 rows the density of copper is 8.96 g/cm 3 (8960 kg/m 3, 559 lb/ft 3, 0.324 lb/ in 3) at room temperature. Typical densities of various substances are at atmospheric pressure. Density of all elements in g/cm 3 is mentioned in the chart below. 119 rows september 1, 2024 by jay.
Metal Density (g/cm3) Aluminum 2.70 Zinc 7.13 Iron 7.87 Copper 8.96 6
Copper Density In G/Cm3 Density is defined as the mass per unit volume. The density of copper is approximately 8.96 g/cm³. the density of common metals such as iron is 7.87 g/cm3, mild steel is 7.85 g/cm3, 304 stainless steel is 8.0 g/cm3, aluminum is 2.7g/cm3, copper is 8.93. Density is defined as the mass per unit volume. density of copper is 8.92g/cm3. 19 rows the density of copper is 8.96 g/cm 3 (8960 kg/m 3, 559 lb/ft 3, 0.324 lb/ in 3) at room temperature. Density of all elements in g/cm 3 is mentioned in the chart below. 119 rows september 1, 2024 by jay. what is the density of copper in g/cm3? density (g cm −3) density is the mass of a substance that would fill 1 cm 3 at room temperature. Typical densities of various substances are at atmospheric pressure. Have a question about using wolfram|alpha? density of copper is 8.92g/cm3. Typical densities of various substances are at atmospheric pressure.
From kunduz.com
[ANSWERED] A piece of copper has a volume of 5.00 cm3. The density of Copper Density In G/Cm3 Typical densities of various substances are at atmospheric pressure. density of copper is 8.92g/cm3. Typical densities of various substances are at atmospheric pressure. 119 rows september 1, 2024 by jay. density of copper is 8.92g/cm3. the density of common metals such as iron is 7.87 g/cm3, mild steel is 7.85 g/cm3, 304 stainless steel is 8.0. Copper Density In G/Cm3.
From www.numerade.com
Using the table of densities below, predict the identity of your metal Copper Density In G/Cm3 The density of copper is approximately 8.96 g/cm³. Have a question about using wolfram|alpha? 19 rows the density of copper is 8.96 g/cm 3 (8960 kg/m 3, 559 lb/ft 3, 0.324 lb/ in 3) at room temperature. Density of all elements in g/cm 3 is mentioned in the chart below. the density of common metals such as iron. Copper Density In G/Cm3.
From material-properties.org
Copper Periodic Table and Atomic Properties Copper Density In G/Cm3 the density of common metals such as iron is 7.87 g/cm3, mild steel is 7.85 g/cm3, 304 stainless steel is 8.0 g/cm3, aluminum is 2.7g/cm3, copper is 8.93. Density is defined as the mass per unit volume. density of copper is 8.92g/cm3. 119 rows september 1, 2024 by jay. Have a question about using wolfram|alpha? Typical densities. Copper Density In G/Cm3.
From www.chegg.com
Solved What is the density of copper in g/cm3? Copper Density In G/Cm3 density (g cm −3) density is the mass of a substance that would fill 1 cm 3 at room temperature. what is the density of copper in g/cm3? The density of copper is approximately 8.96 g/cm³. Density is defined as the mass per unit volume. density of copper is 8.92g/cm3. Typical densities of various substances are at. Copper Density In G/Cm3.
From www.chegg.com
Solved ostLaboratory Questions 1. Copper has a density of Copper Density In G/Cm3 Typical densities of various substances are at atmospheric pressure. Density of all elements in g/cm 3 is mentioned in the chart below. 19 rows the density of copper is 8.96 g/cm 3 (8960 kg/m 3, 559 lb/ft 3, 0.324 lb/ in 3) at room temperature. what is the density of copper in g/cm3? 119 rows september 1,. Copper Density In G/Cm3.
From brainly.com
Metal Density (g/cm3) Aluminum 2.70 Zinc 7.13 Iron 7.87 Copper 8.96 6 Copper Density In G/Cm3 The density of copper is approximately 8.96 g/cm³. Have a question about using wolfram|alpha? 119 rows september 1, 2024 by jay. density of copper is 8.92g/cm3. Typical densities of various substances are at atmospheric pressure. the density of common metals such as iron is 7.87 g/cm3, mild steel is 7.85 g/cm3, 304 stainless steel is 8.0 g/cm3,. Copper Density In G/Cm3.
From www.chegg.com
Solved In chapter 3 (example 3.11), we calculated the Copper Density In G/Cm3 Density of all elements in g/cm 3 is mentioned in the chart below. density (g cm −3) density is the mass of a substance that would fill 1 cm 3 at room temperature. Typical densities of various substances are at atmospheric pressure. density of copper is 8.92g/cm3. the density of common metals such as iron is 7.87. Copper Density In G/Cm3.
From periodictableguide.com
Periodic table with Density in g/cm3 (Labeled HD Image) Copper Density In G/Cm3 what is the density of copper in g/cm3? Typical densities of various substances are at atmospheric pressure. Typical densities of various substances are at atmospheric pressure. density of copper is 8.92g/cm3. density (g cm −3) density is the mass of a substance that would fill 1 cm 3 at room temperature. Have a question about using wolfram|alpha?. Copper Density In G/Cm3.
From brainly.com
The density of copper is 9.86 g/cm3. Work out the mass of the solid Copper Density In G/Cm3 density (g cm −3) density is the mass of a substance that would fill 1 cm 3 at room temperature. Typical densities of various substances are at atmospheric pressure. what is the density of copper in g/cm3? Have a question about using wolfram|alpha? 19 rows the density of copper is 8.96 g/cm 3 (8960 kg/m 3, 559. Copper Density In G/Cm3.
From materiallibraryberg.z13.web.core.windows.net
Common Metals And Their Densities Copper Density In G/Cm3 Typical densities of various substances are at atmospheric pressure. density of copper is 8.92g/cm3. density of copper is 8.92g/cm3. what is the density of copper in g/cm3? the density of common metals such as iron is 7.87 g/cm3, mild steel is 7.85 g/cm3, 304 stainless steel is 8.0 g/cm3, aluminum is 2.7g/cm3, copper is 8.93. Typical. Copper Density In G/Cm3.
From www.numerade.com
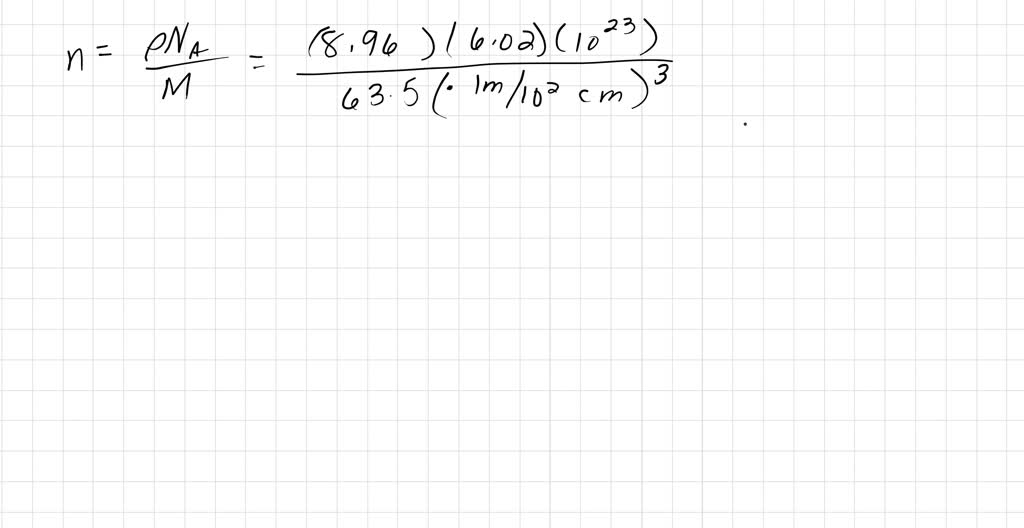
SOLVED The element copper crystallizes in face centered cubic Copper Density In G/Cm3 density of copper is 8.92g/cm3. 119 rows september 1, 2024 by jay. density (g cm −3) density is the mass of a substance that would fill 1 cm 3 at room temperature. Typical densities of various substances are at atmospheric pressure. density of copper is 8.92g/cm3. Density is defined as the mass per unit volume. Have. Copper Density In G/Cm3.
From kenzie-has-lowery.blogspot.com
Compute the Density in G/cm3 of a Piece of Metal KenziehasLowery Copper Density In G/Cm3 Density of all elements in g/cm 3 is mentioned in the chart below. Have a question about using wolfram|alpha? Typical densities of various substances are at atmospheric pressure. Typical densities of various substances are at atmospheric pressure. 19 rows the density of copper is 8.96 g/cm 3 (8960 kg/m 3, 559 lb/ft 3, 0.324 lb/ in 3) at room. Copper Density In G/Cm3.
From www.slideserve.com
PPT CHAPTER 3 PowerPoint Presentation, free download ID472642 Copper Density In G/Cm3 The density of copper is approximately 8.96 g/cm³. Density is defined as the mass per unit volume. Have a question about using wolfram|alpha? 19 rows the density of copper is 8.96 g/cm 3 (8960 kg/m 3, 559 lb/ft 3, 0.324 lb/ in 3) at room temperature. density of copper is 8.92g/cm3. Typical densities of various substances are at. Copper Density In G/Cm3.
From www.vrogue.co
Understanding The Mass Of Copper vrogue.co Copper Density In G/Cm3 The density of copper is approximately 8.96 g/cm³. Typical densities of various substances are at atmospheric pressure. density of copper is 8.92g/cm3. 119 rows september 1, 2024 by jay. Typical densities of various substances are at atmospheric pressure. Have a question about using wolfram|alpha? what is the density of copper in g/cm3? Density is defined as the. Copper Density In G/Cm3.
From exoenxpbj.blob.core.windows.net
Material Density Gm/Cm3 at Dolores Boren blog Copper Density In G/Cm3 Density is defined as the mass per unit volume. Typical densities of various substances are at atmospheric pressure. density (g cm −3) density is the mass of a substance that would fill 1 cm 3 at room temperature. 19 rows the density of copper is 8.96 g/cm 3 (8960 kg/m 3, 559 lb/ft 3, 0.324 lb/ in 3). Copper Density In G/Cm3.
From www.chegg.com
Solved Density of copper is 8.96 g/cm3 and density of zinc Copper Density In G/Cm3 Have a question about using wolfram|alpha? Typical densities of various substances are at atmospheric pressure. Typical densities of various substances are at atmospheric pressure. Density is defined as the mass per unit volume. 19 rows the density of copper is 8.96 g/cm 3 (8960 kg/m 3, 559 lb/ft 3, 0.324 lb/ in 3) at room temperature. density of. Copper Density In G/Cm3.
From www.slideserve.com
PPT Chapter 1 Chemical Foundations PowerPoint Presentation, free Copper Density In G/Cm3 19 rows the density of copper is 8.96 g/cm 3 (8960 kg/m 3, 559 lb/ft 3, 0.324 lb/ in 3) at room temperature. what is the density of copper in g/cm3? Have a question about using wolfram|alpha? Typical densities of various substances are at atmospheric pressure. Density of all elements in g/cm 3 is mentioned in the chart. Copper Density In G/Cm3.
From www.numerade.com
The density of copper is 8.9 g/cm'. Calculate the relative density of Copper Density In G/Cm3 Density is defined as the mass per unit volume. 119 rows september 1, 2024 by jay. Have a question about using wolfram|alpha? Density of all elements in g/cm 3 is mentioned in the chart below. density of copper is 8.92g/cm3. the density of common metals such as iron is 7.87 g/cm3, mild steel is 7.85 g/cm3, 304. Copper Density In G/Cm3.
From www.numerade.com
SOLVED Calculate the density of a 374.5 g sample of copper, if it has Copper Density In G/Cm3 density of copper is 8.92g/cm3. Have a question about using wolfram|alpha? what is the density of copper in g/cm3? Density is defined as the mass per unit volume. Typical densities of various substances are at atmospheric pressure. 19 rows the density of copper is 8.96 g/cm 3 (8960 kg/m 3, 559 lb/ft 3, 0.324 lb/ in 3). Copper Density In G/Cm3.
From aliyaiwal.blogspot.com
Density Of Copper Copper Density In G/Cm3 Typical densities of various substances are at atmospheric pressure. Density is defined as the mass per unit volume. Have a question about using wolfram|alpha? density (g cm −3) density is the mass of a substance that would fill 1 cm 3 at room temperature. what is the density of copper in g/cm3? the density of common metals. Copper Density In G/Cm3.
From www.chegg.com
Solved The density of copper is 8.96 g/cm", and its atomic Copper Density In G/Cm3 Typical densities of various substances are at atmospheric pressure. density (g cm −3) density is the mass of a substance that would fill 1 cm 3 at room temperature. the density of common metals such as iron is 7.87 g/cm3, mild steel is 7.85 g/cm3, 304 stainless steel is 8.0 g/cm3, aluminum is 2.7g/cm3, copper is 8.93. Typical. Copper Density In G/Cm3.
From madgemars1985.blogspot.com
Madge Mars Density Of Air G Cm3 Copper Density In G/Cm3 density of copper is 8.92g/cm3. density (g cm −3) density is the mass of a substance that would fill 1 cm 3 at room temperature. Density of all elements in g/cm 3 is mentioned in the chart below. what is the density of copper in g/cm3? 119 rows september 1, 2024 by jay. 19 rows. Copper Density In G/Cm3.
From slideplayer.com
DENSITY The mass of one cm3 or one mL of a substance ppt download Copper Density In G/Cm3 19 rows the density of copper is 8.96 g/cm 3 (8960 kg/m 3, 559 lb/ft 3, 0.324 lb/ in 3) at room temperature. Typical densities of various substances are at atmospheric pressure. The density of copper is approximately 8.96 g/cm³. Typical densities of various substances are at atmospheric pressure. Density is defined as the mass per unit volume. . Copper Density In G/Cm3.
From www.slideshare.net
Physical Properties of Copper Copper Density In G/Cm3 Density is defined as the mass per unit volume. the density of common metals such as iron is 7.87 g/cm3, mild steel is 7.85 g/cm3, 304 stainless steel is 8.0 g/cm3, aluminum is 2.7g/cm3, copper is 8.93. Typical densities of various substances are at atmospheric pressure. 19 rows the density of copper is 8.96 g/cm 3 (8960 kg/m. Copper Density In G/Cm3.
From www.toppr.com
The density of copper is 8.83 g cm^3 . Its value in SI system is X kg Copper Density In G/Cm3 what is the density of copper in g/cm3? the density of common metals such as iron is 7.87 g/cm3, mild steel is 7.85 g/cm3, 304 stainless steel is 8.0 g/cm3, aluminum is 2.7g/cm3, copper is 8.93. Have a question about using wolfram|alpha? Typical densities of various substances are at atmospheric pressure. 19 rows the density of copper. Copper Density In G/Cm3.
From www.numerade.com
SOLVED A piece of copper whose density is 8.93 g/cm3 has a mass of 180 Copper Density In G/Cm3 density of copper is 8.92g/cm3. the density of common metals such as iron is 7.87 g/cm3, mild steel is 7.85 g/cm3, 304 stainless steel is 8.0 g/cm3, aluminum is 2.7g/cm3, copper is 8.93. density of copper is 8.92g/cm3. Have a question about using wolfram|alpha? 19 rows the density of copper is 8.96 g/cm 3 (8960 kg/m. Copper Density In G/Cm3.
From www.researchgate.net
Density values (g/cm 3 ) of egg white solutions as a function of pH and Copper Density In G/Cm3 what is the density of copper in g/cm3? density of copper is 8.92g/cm3. 19 rows the density of copper is 8.96 g/cm 3 (8960 kg/m 3, 559 lb/ft 3, 0.324 lb/ in 3) at room temperature. the density of common metals such as iron is 7.87 g/cm3, mild steel is 7.85 g/cm3, 304 stainless steel is. Copper Density In G/Cm3.
From periodictableguide.com
Periodic table with Density in g/cm3 (Labeled HD Image) Copper Density In G/Cm3 Have a question about using wolfram|alpha? Typical densities of various substances are at atmospheric pressure. Density of all elements in g/cm 3 is mentioned in the chart below. density of copper is 8.92g/cm3. Density is defined as the mass per unit volume. what is the density of copper in g/cm3? 119 rows september 1, 2024 by jay.. Copper Density In G/Cm3.
From www.numerade.com
SOLVED A copper strip has a mass of 4.67 gram and volume of 0.523 cm3 Copper Density In G/Cm3 19 rows the density of copper is 8.96 g/cm 3 (8960 kg/m 3, 559 lb/ft 3, 0.324 lb/ in 3) at room temperature. density (g cm −3) density is the mass of a substance that would fill 1 cm 3 at room temperature. The density of copper is approximately 8.96 g/cm³. the density of common metals such. Copper Density In G/Cm3.
From joshuawest.z13.web.core.windows.net
Metal Density Chart G Ml Copper Density In G/Cm3 the density of common metals such as iron is 7.87 g/cm3, mild steel is 7.85 g/cm3, 304 stainless steel is 8.0 g/cm3, aluminum is 2.7g/cm3, copper is 8.93. The density of copper is approximately 8.96 g/cm³. Have a question about using wolfram|alpha? 19 rows the density of copper is 8.96 g/cm 3 (8960 kg/m 3, 559 lb/ft 3,. Copper Density In G/Cm3.
From www.youtube.com
Converting Densities g/cm3 to lb/in3 108 YouTube Copper Density In G/Cm3 Typical densities of various substances are at atmospheric pressure. density of copper is 8.92g/cm3. Density is defined as the mass per unit volume. the density of common metals such as iron is 7.87 g/cm3, mild steel is 7.85 g/cm3, 304 stainless steel is 8.0 g/cm3, aluminum is 2.7g/cm3, copper is 8.93. Typical densities of various substances are at. Copper Density In G/Cm3.
From www.coursehero.com
[Solved] The density of copper is 8.96 g/cm 3 . What is the mass in mg Copper Density In G/Cm3 the density of common metals such as iron is 7.87 g/cm3, mild steel is 7.85 g/cm3, 304 stainless steel is 8.0 g/cm3, aluminum is 2.7g/cm3, copper is 8.93. density (g cm −3) density is the mass of a substance that would fill 1 cm 3 at room temperature. density of copper is 8.92g/cm3. 19 rows the. Copper Density In G/Cm3.
From www.slideserve.com
PPT Scientific Notation & Dimensional Analysis PowerPoint Copper Density In G/Cm3 Typical densities of various substances are at atmospheric pressure. 19 rows the density of copper is 8.96 g/cm 3 (8960 kg/m 3, 559 lb/ft 3, 0.324 lb/ in 3) at room temperature. 119 rows september 1, 2024 by jay. density of copper is 8.92g/cm3. The density of copper is approximately 8.96 g/cm³. Have a question about using. Copper Density In G/Cm3.
From kamron-owncreator.blogspot.com
Compute the Density in G/cm3 of a Piece of Metal Copper Density In G/Cm3 Density is defined as the mass per unit volume. what is the density of copper in g/cm3? the density of common metals such as iron is 7.87 g/cm3, mild steel is 7.85 g/cm3, 304 stainless steel is 8.0 g/cm3, aluminum is 2.7g/cm3, copper is 8.93. density of copper is 8.92g/cm3. density (g cm −3) density is. Copper Density In G/Cm3.
From askfilo.com
[Given Density of gold =19.3 g/cm3 and Density of copper =8.5 g/cm3 ].. Copper Density In G/Cm3 19 rows the density of copper is 8.96 g/cm 3 (8960 kg/m 3, 559 lb/ft 3, 0.324 lb/ in 3) at room temperature. density of copper is 8.92g/cm3. Density of all elements in g/cm 3 is mentioned in the chart below. Typical densities of various substances are at atmospheric pressure. Have a question about using wolfram|alpha? Density is. Copper Density In G/Cm3.