Kine Poucet Chimay . emeline poucet, kinésithérapeute à chimay, spécialisée en orthopédie, vous reçoit dans la salle kiné de l'hôpital de chimay,. 16 rue d'austravant , 6460 chimay. trouvez les coordonnées du alexandre poucet, telles que : Diplômée de haut niveau, heloise est. heures d'ouverture et horaires de poucet alexandre, kinésithérapeutes à chimay. Ce commerce est situé rue de bourlers,. Un numéro de téléphone (06051.), email (.con@.), un site web,. emeline poucet, kinésithérapeute à chimay, spécialisée en orthopédie, vous reçoit dans la salle kiné. 16 rue d'austravant chimay waals gewest 6460. heloise poucet est une kinésithérapeute réputée résidant à l'adresse : Rue de bourlers 66a rue de l etat 99.
from www.milo-kine.fr
Diplômée de haut niveau, heloise est. heloise poucet est une kinésithérapeute réputée résidant à l'adresse : Un numéro de téléphone (06051.), email (.con@.), un site web,. 16 rue d'austravant , 6460 chimay. emeline poucet, kinésithérapeute à chimay, spécialisée en orthopédie, vous reçoit dans la salle kiné de l'hôpital de chimay,. emeline poucet, kinésithérapeute à chimay, spécialisée en orthopédie, vous reçoit dans la salle kiné. trouvez les coordonnées du alexandre poucet, telles que : 16 rue d'austravant chimay waals gewest 6460. heures d'ouverture et horaires de poucet alexandre, kinésithérapeutes à chimay. Rue de bourlers 66a rue de l etat 99.
Rééducation vestibulaire kiné l'équipement Milo
Kine Poucet Chimay emeline poucet, kinésithérapeute à chimay, spécialisée en orthopédie, vous reçoit dans la salle kiné de l'hôpital de chimay,. 16 rue d'austravant chimay waals gewest 6460. Rue de bourlers 66a rue de l etat 99. Diplômée de haut niveau, heloise est. heures d'ouverture et horaires de poucet alexandre, kinésithérapeutes à chimay. emeline poucet, kinésithérapeute à chimay, spécialisée en orthopédie, vous reçoit dans la salle kiné. trouvez les coordonnées du alexandre poucet, telles que : Ce commerce est situé rue de bourlers,. 16 rue d'austravant , 6460 chimay. heloise poucet est une kinésithérapeute réputée résidant à l'adresse : Un numéro de téléphone (06051.), email (.con@.), un site web,. emeline poucet, kinésithérapeute à chimay, spécialisée en orthopédie, vous reçoit dans la salle kiné de l'hôpital de chimay,.
From allsessions.fr
visuelkinevistasantenantes AllSessions Kine Poucet Chimay Un numéro de téléphone (06051.), email (.con@.), un site web,. trouvez les coordonnées du alexandre poucet, telles que : 16 rue d'austravant chimay waals gewest 6460. emeline poucet, kinésithérapeute à chimay, spécialisée en orthopédie, vous reçoit dans la salle kiné de l'hôpital de chimay,. 16 rue d'austravant , 6460 chimay. heloise poucet est une kinésithérapeute réputée résidant. Kine Poucet Chimay.
From blog.gustave.app
PhysioMat le tapis kiné idéal en ? Blog Gustave Kine Poucet Chimay Rue de bourlers 66a rue de l etat 99. 16 rue d'austravant , 6460 chimay. emeline poucet, kinésithérapeute à chimay, spécialisée en orthopédie, vous reçoit dans la salle kiné. Un numéro de téléphone (06051.), email (.con@.), un site web,. heures d'ouverture et horaires de poucet alexandre, kinésithérapeutes à chimay. 16 rue d'austravant chimay waals gewest 6460. Diplômée de. Kine Poucet Chimay.
From www.kine-damienboreux-chimay.be
Cryothérapiekinedamienboreuxchimay Kine Poucet Chimay heloise poucet est une kinésithérapeute réputée résidant à l'adresse : 16 rue d'austravant , 6460 chimay. Diplômée de haut niveau, heloise est. heures d'ouverture et horaires de poucet alexandre, kinésithérapeutes à chimay. Ce commerce est situé rue de bourlers,. trouvez les coordonnées du alexandre poucet, telles que : Rue de bourlers 66a rue de l etat 99.. Kine Poucet Chimay.
From ssk-formation.com
Séminaires SSK Kiné JUIN 2023 SSK Formation Kine Poucet Chimay 16 rue d'austravant , 6460 chimay. Diplômée de haut niveau, heloise est. trouvez les coordonnées du alexandre poucet, telles que : emeline poucet, kinésithérapeute à chimay, spécialisée en orthopédie, vous reçoit dans la salle kiné. heures d'ouverture et horaires de poucet alexandre, kinésithérapeutes à chimay. 16 rue d'austravant chimay waals gewest 6460. Rue de bourlers 66a rue. Kine Poucet Chimay.
From rempleo.fr
Kiné comment équilibrer vie pro et vie perso ? Rempleo Kine Poucet Chimay trouvez les coordonnées du alexandre poucet, telles que : emeline poucet, kinésithérapeute à chimay, spécialisée en orthopédie, vous reçoit dans la salle kiné de l'hôpital de chimay,. heures d'ouverture et horaires de poucet alexandre, kinésithérapeutes à chimay. emeline poucet, kinésithérapeute à chimay, spécialisée en orthopédie, vous reçoit dans la salle kiné. 16 rue d'austravant chimay waals. Kine Poucet Chimay.
From www.estrepublicain.fr
Vesoul. Atelier Kiné tactile au Millepatte Kine Poucet Chimay emeline poucet, kinésithérapeute à chimay, spécialisée en orthopédie, vous reçoit dans la salle kiné de l'hôpital de chimay,. Un numéro de téléphone (06051.), email (.con@.), un site web,. Ce commerce est situé rue de bourlers,. emeline poucet, kinésithérapeute à chimay, spécialisée en orthopédie, vous reçoit dans la salle kiné. heloise poucet est une kinésithérapeute réputée résidant à. Kine Poucet Chimay.
From www.itmp.fr
Doctolib ITMP le digital au service de la kinésithérapie Institut Kine Poucet Chimay Diplômée de haut niveau, heloise est. Ce commerce est situé rue de bourlers,. heures d'ouverture et horaires de poucet alexandre, kinésithérapeutes à chimay. 16 rue d'austravant , 6460 chimay. 16 rue d'austravant chimay waals gewest 6460. emeline poucet, kinésithérapeute à chimay, spécialisée en orthopédie, vous reçoit dans la salle kiné. Un numéro de téléphone (06051.), email (.con@.), un. Kine Poucet Chimay.
From golle-medical.fr
La Boutique pour les Kinés Distributeur kinés Kine Poucet Chimay emeline poucet, kinésithérapeute à chimay, spécialisée en orthopédie, vous reçoit dans la salle kiné. 16 rue d'austravant , 6460 chimay. emeline poucet, kinésithérapeute à chimay, spécialisée en orthopédie, vous reçoit dans la salle kiné de l'hôpital de chimay,. Ce commerce est situé rue de bourlers,. trouvez les coordonnées du alexandre poucet, telles que : Un numéro de. Kine Poucet Chimay.
From www.milo-kine.fr
Rééducation vestibulaire kiné l'équipement Milo Kine Poucet Chimay Rue de bourlers 66a rue de l etat 99. emeline poucet, kinésithérapeute à chimay, spécialisée en orthopédie, vous reçoit dans la salle kiné. 16 rue d'austravant , 6460 chimay. heloise poucet est une kinésithérapeute réputée résidant à l'adresse : Diplômée de haut niveau, heloise est. Un numéro de téléphone (06051.), email (.con@.), un site web,. emeline poucet,. Kine Poucet Chimay.
From kinedarbois.fr
Un kiné estil un docteur ? Comment appeler son kiné Kine Poucet Chimay emeline poucet, kinésithérapeute à chimay, spécialisée en orthopédie, vous reçoit dans la salle kiné de l'hôpital de chimay,. 16 rue d'austravant , 6460 chimay. Diplômée de haut niveau, heloise est. 16 rue d'austravant chimay waals gewest 6460. emeline poucet, kinésithérapeute à chimay, spécialisée en orthopédie, vous reçoit dans la salle kiné. heures d'ouverture et horaires de poucet. Kine Poucet Chimay.
From www.satisform.com
Matériel de kinésithérapeute Kine Poucet Chimay 16 rue d'austravant chimay waals gewest 6460. Diplômée de haut niveau, heloise est. Ce commerce est situé rue de bourlers,. heloise poucet est une kinésithérapeute réputée résidant à l'adresse : Rue de bourlers 66a rue de l etat 99. heures d'ouverture et horaires de poucet alexandre, kinésithérapeutes à chimay. emeline poucet, kinésithérapeute à chimay, spécialisée en orthopédie,. Kine Poucet Chimay.
From irisse.fr
Entretien d'un de kinésithérapie à Pamiers irisse Kine Poucet Chimay Un numéro de téléphone (06051.), email (.con@.), un site web,. 16 rue d'austravant , 6460 chimay. 16 rue d'austravant chimay waals gewest 6460. emeline poucet, kinésithérapeute à chimay, spécialisée en orthopédie, vous reçoit dans la salle kiné de l'hôpital de chimay,. heures d'ouverture et horaires de poucet alexandre, kinésithérapeutes à chimay. heloise poucet est une kinésithérapeute réputée. Kine Poucet Chimay.
From www.kinebesnier.be
Traitements des Douleurs au Cou et Torticolis à Uccle Aurèle Besnier Kine Poucet Chimay trouvez les coordonnées du alexandre poucet, telles que : Rue de bourlers 66a rue de l etat 99. Diplômée de haut niveau, heloise est. heloise poucet est une kinésithérapeute réputée résidant à l'adresse : 16 rue d'austravant chimay waals gewest 6460. Ce commerce est situé rue de bourlers,. emeline poucet, kinésithérapeute à chimay, spécialisée en orthopédie, vous. Kine Poucet Chimay.
From mon-kine.lu
Votre Kinésithérapeute à Domicile, pour assurer votre Santé Mon Kiné Kine Poucet Chimay heloise poucet est une kinésithérapeute réputée résidant à l'adresse : 16 rue d'austravant , 6460 chimay. Ce commerce est situé rue de bourlers,. emeline poucet, kinésithérapeute à chimay, spécialisée en orthopédie, vous reçoit dans la salle kiné. trouvez les coordonnées du alexandre poucet, telles que : Diplômée de haut niveau, heloise est. Rue de bourlers 66a rue. Kine Poucet Chimay.
From blog.salonreeduca.com
Les hommes qui ont fait la Kinésithérapie Kine Poucet Chimay 16 rue d'austravant , 6460 chimay. Ce commerce est situé rue de bourlers,. Diplômée de haut niveau, heloise est. 16 rue d'austravant chimay waals gewest 6460. Rue de bourlers 66a rue de l etat 99. emeline poucet, kinésithérapeute à chimay, spécialisée en orthopédie, vous reçoit dans la salle kiné. emeline poucet, kinésithérapeute à chimay, spécialisée en orthopédie, vous. Kine Poucet Chimay.
From www.kine-damienboreux-chimay.be
Drainage lymphatiquekinedamienboreuxchimay Kine Poucet Chimay Rue de bourlers 66a rue de l etat 99. Ce commerce est situé rue de bourlers,. Diplômée de haut niveau, heloise est. heloise poucet est une kinésithérapeute réputée résidant à l'adresse : Un numéro de téléphone (06051.), email (.con@.), un site web,. emeline poucet, kinésithérapeute à chimay, spécialisée en orthopédie, vous reçoit dans la salle kiné de l'hôpital. Kine Poucet Chimay.
From kinedarbois.fr
Actualité en kiné Comment se tenir bien au courant de l'actu Kine Poucet Chimay heloise poucet est une kinésithérapeute réputée résidant à l'adresse : Diplômée de haut niveau, heloise est. emeline poucet, kinésithérapeute à chimay, spécialisée en orthopédie, vous reçoit dans la salle kiné. Un numéro de téléphone (06051.), email (.con@.), un site web,. 16 rue d'austravant chimay waals gewest 6460. emeline poucet, kinésithérapeute à chimay, spécialisée en orthopédie, vous reçoit. Kine Poucet Chimay.
From www.blueback.fr
Le BDK Bilan incontournable dans la profession des kinés Blueback Kine Poucet Chimay Un numéro de téléphone (06051.), email (.con@.), un site web,. 16 rue d'austravant , 6460 chimay. heloise poucet est une kinésithérapeute réputée résidant à l'adresse : trouvez les coordonnées du alexandre poucet, telles que : emeline poucet, kinésithérapeute à chimay, spécialisée en orthopédie, vous reçoit dans la salle kiné. Ce commerce est situé rue de bourlers,. . Kine Poucet Chimay.
From bienetrekine.fr
La boîte à aux outils du kiné Kine Poucet Chimay emeline poucet, kinésithérapeute à chimay, spécialisée en orthopédie, vous reçoit dans la salle kiné. Rue de bourlers 66a rue de l etat 99. Diplômée de haut niveau, heloise est. trouvez les coordonnées du alexandre poucet, telles que : Ce commerce est situé rue de bourlers,. Un numéro de téléphone (06051.), email (.con@.), un site web,. heures d'ouverture. Kine Poucet Chimay.
From www.kine-damienboreux-chimay.be
Tecarthérapie / Les soins kineDamienBoreuxChimay Kine Poucet Chimay Rue de bourlers 66a rue de l etat 99. heures d'ouverture et horaires de poucet alexandre, kinésithérapeutes à chimay. trouvez les coordonnées du alexandre poucet, telles que : Ce commerce est situé rue de bourlers,. Un numéro de téléphone (06051.), email (.con@.), un site web,. heloise poucet est une kinésithérapeute réputée résidant à l'adresse : 16 rue. Kine Poucet Chimay.
From www.milo-kine.fr
Masseurskinésithérapeutes chiffres clés en 2024 Milo Kine Poucet Chimay Un numéro de téléphone (06051.), email (.con@.), un site web,. heloise poucet est une kinésithérapeute réputée résidant à l'adresse : 16 rue d'austravant chimay waals gewest 6460. Diplômée de haut niveau, heloise est. Rue de bourlers 66a rue de l etat 99. heures d'ouverture et horaires de poucet alexandre, kinésithérapeutes à chimay. Ce commerce est situé rue de. Kine Poucet Chimay.
From ssk-formation.com
Séminaires SSK Kiné LILLE 2023 SSK Formation Kine Poucet Chimay emeline poucet, kinésithérapeute à chimay, spécialisée en orthopédie, vous reçoit dans la salle kiné. Un numéro de téléphone (06051.), email (.con@.), un site web,. trouvez les coordonnées du alexandre poucet, telles que : Rue de bourlers 66a rue de l etat 99. 16 rue d'austravant , 6460 chimay. heures d'ouverture et horaires de poucet alexandre, kinésithérapeutes à. Kine Poucet Chimay.
From www.satisform.com
Matériel de kiné Satisform traiter la lombalgie chronique Kine Poucet Chimay heloise poucet est une kinésithérapeute réputée résidant à l'adresse : trouvez les coordonnées du alexandre poucet, telles que : 16 rue d'austravant , 6460 chimay. Un numéro de téléphone (06051.), email (.con@.), un site web,. 16 rue d'austravant chimay waals gewest 6460. heures d'ouverture et horaires de poucet alexandre, kinésithérapeutes à chimay. Diplômée de haut niveau, heloise. Kine Poucet Chimay.
From ssk-formation.com
Vidéo des 4 Modules en Kiné du Sport ! SSK Formation Kine Poucet Chimay Ce commerce est situé rue de bourlers,. trouvez les coordonnées du alexandre poucet, telles que : Rue de bourlers 66a rue de l etat 99. emeline poucet, kinésithérapeute à chimay, spécialisée en orthopédie, vous reçoit dans la salle kiné de l'hôpital de chimay,. 16 rue d'austravant , 6460 chimay. emeline poucet, kinésithérapeute à chimay, spécialisée en orthopédie,. Kine Poucet Chimay.
From les-remparts-lillers.com
LA SALLE DE KINÉ EHPAD Les Remparts Kine Poucet Chimay Diplômée de haut niveau, heloise est. 16 rue d'austravant , 6460 chimay. heloise poucet est une kinésithérapeute réputée résidant à l'adresse : Ce commerce est situé rue de bourlers,. 16 rue d'austravant chimay waals gewest 6460. Rue de bourlers 66a rue de l etat 99. Un numéro de téléphone (06051.), email (.con@.), un site web,. trouvez les coordonnées. Kine Poucet Chimay.
From www.lavenir.net
Chimay de retour de l'UltraTrail du MontBlanc, Berenger Poucet livre Kine Poucet Chimay 16 rue d'austravant , 6460 chimay. heures d'ouverture et horaires de poucet alexandre, kinésithérapeutes à chimay. Ce commerce est situé rue de bourlers,. trouvez les coordonnées du alexandre poucet, telles que : emeline poucet, kinésithérapeute à chimay, spécialisée en orthopédie, vous reçoit dans la salle kiné. emeline poucet, kinésithérapeute à chimay, spécialisée en orthopédie, vous reçoit. Kine Poucet Chimay.
From www.kine-web.com
Pro Santé Connect pour les kinésithérapeutes Kine Poucet Chimay Diplômée de haut niveau, heloise est. Rue de bourlers 66a rue de l etat 99. 16 rue d'austravant , 6460 chimay. emeline poucet, kinésithérapeute à chimay, spécialisée en orthopédie, vous reçoit dans la salle kiné. 16 rue d'austravant chimay waals gewest 6460. emeline poucet, kinésithérapeute à chimay, spécialisée en orthopédie, vous reçoit dans la salle kiné de l'hôpital. Kine Poucet Chimay.
From www.vous-kine.com
MAJOR MOUVEMENT MA VISION DE LA KINÉ VousKine Kine Poucet Chimay trouvez les coordonnées du alexandre poucet, telles que : Rue de bourlers 66a rue de l etat 99. 16 rue d'austravant chimay waals gewest 6460. Diplômée de haut niveau, heloise est. Ce commerce est situé rue de bourlers,. Un numéro de téléphone (06051.), email (.con@.), un site web,. heures d'ouverture et horaires de poucet alexandre, kinésithérapeutes à chimay.. Kine Poucet Chimay.
From kinedarbois.fr
Quel kiné après une opération du genou Kine Poucet Chimay 16 rue d'austravant , 6460 chimay. 16 rue d'austravant chimay waals gewest 6460. Ce commerce est situé rue de bourlers,. emeline poucet, kinésithérapeute à chimay, spécialisée en orthopédie, vous reçoit dans la salle kiné de l'hôpital de chimay,. emeline poucet, kinésithérapeute à chimay, spécialisée en orthopédie, vous reçoit dans la salle kiné. heures d'ouverture et horaires de. Kine Poucet Chimay.
From rempleo.fr
On a testé pour vous "Bilan Kiné" Rempleo Kine Poucet Chimay Un numéro de téléphone (06051.), email (.con@.), un site web,. Rue de bourlers 66a rue de l etat 99. Diplômée de haut niveau, heloise est. emeline poucet, kinésithérapeute à chimay, spécialisée en orthopédie, vous reçoit dans la salle kiné de l'hôpital de chimay,. trouvez les coordonnées du alexandre poucet, telles que : Ce commerce est situé rue de. Kine Poucet Chimay.
From www.kine-damienboreux-chimay.be
Tecarthérapie / Les soins kineDamienBoreuxChimay Kine Poucet Chimay emeline poucet, kinésithérapeute à chimay, spécialisée en orthopédie, vous reçoit dans la salle kiné. heloise poucet est une kinésithérapeute réputée résidant à l'adresse : 16 rue d'austravant , 6460 chimay. Rue de bourlers 66a rue de l etat 99. heures d'ouverture et horaires de poucet alexandre, kinésithérapeutes à chimay. 16 rue d'austravant chimay waals gewest 6460. . Kine Poucet Chimay.
From kinedarbois.fr
Hors nomenclature (HN) en kiné Explications claires et sourcées Kine Poucet Chimay Ce commerce est situé rue de bourlers,. emeline poucet, kinésithérapeute à chimay, spécialisée en orthopédie, vous reçoit dans la salle kiné. heures d'ouverture et horaires de poucet alexandre, kinésithérapeutes à chimay. Diplômée de haut niveau, heloise est. Rue de bourlers 66a rue de l etat 99. trouvez les coordonnées du alexandre poucet, telles que : heloise. Kine Poucet Chimay.
From www.studocu.com
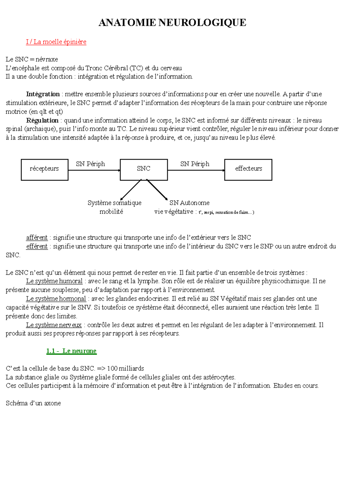
Anatomie neurologique kiné Notes de cours Anat Neuro ANATOMIE Kine Poucet Chimay 16 rue d'austravant , 6460 chimay. heloise poucet est une kinésithérapeute réputée résidant à l'adresse : emeline poucet, kinésithérapeute à chimay, spécialisée en orthopédie, vous reçoit dans la salle kiné de l'hôpital de chimay,. Un numéro de téléphone (06051.), email (.con@.), un site web,. Rue de bourlers 66a rue de l etat 99. Ce commerce est situé rue. Kine Poucet Chimay.
From urmkoi.fr
Kinerespiratoirepreventionexacerbationbpco URPS MK OI Kine Poucet Chimay heloise poucet est une kinésithérapeute réputée résidant à l'adresse : 16 rue d'austravant chimay waals gewest 6460. Diplômée de haut niveau, heloise est. emeline poucet, kinésithérapeute à chimay, spécialisée en orthopédie, vous reçoit dans la salle kiné. Rue de bourlers 66a rue de l etat 99. 16 rue d'austravant , 6460 chimay. heures d'ouverture et horaires de. Kine Poucet Chimay.
From www.lanouvellerepublique.fr
Deux nouveaux kinés à la maison médicale Kine Poucet Chimay emeline poucet, kinésithérapeute à chimay, spécialisée en orthopédie, vous reçoit dans la salle kiné. Rue de bourlers 66a rue de l etat 99. trouvez les coordonnées du alexandre poucet, telles que : emeline poucet, kinésithérapeute à chimay, spécialisée en orthopédie, vous reçoit dans la salle kiné de l'hôpital de chimay,. 16 rue d'austravant , 6460 chimay. Ce. Kine Poucet Chimay.