When A Car Engine Burns Gasoline The Results Of The Reaction . When a car engine burns gasoline, the results of the reaction are similar to when cells burn glucose. When a car engine burns gasoline, the results of the reaction are similar to when cells burn glucose. Two of the three main stages of cellular respiration occur in the mitochondria. Both reactions release carbon dioxide. The combustion of gasoline in car engines converts. Before gasoline can burn, it must first undergo vaporization and mix with air. When a car engine burns gasoline, the results of the. Within the cylinders of a car’s engine, the hydrocarbon octane (c8h18), one of many components of gasoline, mixes with oxygen. When a car engine burns gasoline, a process similar to cellular respiration occurs. This process occurs in the carburetor or fuel injector. When a car engine burns gasoline, the results of the reaction are similar to when cells burn glucose. When a car engine burns gasoline, the results of the reaction are similar to when cells burn glucose. Both reactions release carbon dioxide. Both reactions release carbon dioxide.
from www.numerade.com
When a car engine burns gasoline, the results of the reaction are similar to when cells burn glucose. Within the cylinders of a car’s engine, the hydrocarbon octane (c8h18), one of many components of gasoline, mixes with oxygen. Two of the three main stages of cellular respiration occur in the mitochondria. When a car engine burns gasoline, the results of the reaction are similar to when cells burn glucose. Both reactions release carbon dioxide. Before gasoline can burn, it must first undergo vaporization and mix with air. When a car engine burns gasoline, a process similar to cellular respiration occurs. This process occurs in the carburetor or fuel injector. Both reactions release carbon dioxide. When a car engine burns gasoline, the results of the reaction are similar to when cells burn glucose.
SOLVED A car engine burns gas at 495 K, and exhausts to the air at 293
When A Car Engine Burns Gasoline The Results Of The Reaction Two of the three main stages of cellular respiration occur in the mitochondria. When a car engine burns gasoline, the results of the. Both reactions release carbon dioxide. Within the cylinders of a car’s engine, the hydrocarbon octane (c8h18), one of many components of gasoline, mixes with oxygen. Both reactions release carbon dioxide. This process occurs in the carburetor or fuel injector. Two of the three main stages of cellular respiration occur in the mitochondria. The combustion of gasoline in car engines converts. When a car engine burns gasoline, the results of the reaction are similar to when cells burn glucose. When a car engine burns gasoline, the results of the reaction are similar to when cells burn glucose. Both reactions release carbon dioxide. When a car engine burns gasoline, a process similar to cellular respiration occurs. When a car engine burns gasoline, the results of the reaction are similar to when cells burn glucose. When a car engine burns gasoline, the results of the reaction are similar to when cells burn glucose. Before gasoline can burn, it must first undergo vaporization and mix with air.
From www.slideserve.com
PPT What is Energy ? PowerPoint Presentation, free download ID1806062 When A Car Engine Burns Gasoline The Results Of The Reaction When a car engine burns gasoline, the results of the reaction are similar to when cells burn glucose. Both reactions release carbon dioxide. Both reactions release carbon dioxide. When a car engine burns gasoline, the results of the reaction are similar to when cells burn glucose. When a car engine burns gasoline, a process similar to cellular respiration occurs. When. When A Car Engine Burns Gasoline The Results Of The Reaction.
From engineerine.com
Why Is My Car Burning Oil? [Symptoms, Causes, Solutions] Engineerine When A Car Engine Burns Gasoline The Results Of The Reaction Both reactions release carbon dioxide. When a car engine burns gasoline, the results of the reaction are similar to when cells burn glucose. When a car engine burns gasoline, the results of the. Before gasoline can burn, it must first undergo vaporization and mix with air. Both reactions release carbon dioxide. Both reactions release carbon dioxide. When a car engine. When A Car Engine Burns Gasoline The Results Of The Reaction.
From studylib.net
Chapter 2 When A Car Engine Burns Gasoline The Results Of The Reaction Before gasoline can burn, it must first undergo vaporization and mix with air. Within the cylinders of a car’s engine, the hydrocarbon octane (c8h18), one of many components of gasoline, mixes with oxygen. This process occurs in the carburetor or fuel injector. When a car engine burns gasoline, the results of the. When a car engine burns gasoline, the results. When A Car Engine Burns Gasoline The Results Of The Reaction.
From innovationdiscoveries.space
Modern Automotive Technology Everything You Must Know (A to Z) Part 1 When A Car Engine Burns Gasoline The Results Of The Reaction When a car engine burns gasoline, the results of the reaction are similar to when cells burn glucose. Both reactions release carbon dioxide. When a car engine burns gasoline, the results of the reaction are similar to when cells burn glucose. Both reactions release carbon dioxide. When a car engine burns gasoline, the results of the reaction are similar to. When A Car Engine Burns Gasoline The Results Of The Reaction.
From www.farrin.com
3 Key Differences Electric Car Accidents vs Gas Ones When A Car Engine Burns Gasoline The Results Of The Reaction This process occurs in the carburetor or fuel injector. Both reactions release carbon dioxide. When a car engine burns gasoline, the results of the reaction are similar to when cells burn glucose. Within the cylinders of a car’s engine, the hydrocarbon octane (c8h18), one of many components of gasoline, mixes with oxygen. Two of the three main stages of cellular. When A Car Engine Burns Gasoline The Results Of The Reaction.
From www.chegg.com
Solved Suppose the gasoline in a car engine burns at 667°C, When A Car Engine Burns Gasoline The Results Of The Reaction Within the cylinders of a car’s engine, the hydrocarbon octane (c8h18), one of many components of gasoline, mixes with oxygen. The combustion of gasoline in car engines converts. Two of the three main stages of cellular respiration occur in the mitochondria. Both reactions release carbon dioxide. When a car engine burns gasoline, the results of the reaction are similar to. When A Car Engine Burns Gasoline The Results Of The Reaction.
From slideplayer.com
Energy Transformations ppt download When A Car Engine Burns Gasoline The Results Of The Reaction Before gasoline can burn, it must first undergo vaporization and mix with air. Two of the three main stages of cellular respiration occur in the mitochondria. When a car engine burns gasoline, the results of the reaction are similar to when cells burn glucose. When a car engine burns gasoline, the results of the reaction are similar to when cells. When A Car Engine Burns Gasoline The Results Of The Reaction.
From www.chegg.com
Solved When gasoline burns in a car engine, the heat When A Car Engine Burns Gasoline The Results Of The Reaction When a car engine burns gasoline, the results of the reaction are similar to when cells burn glucose. Both reactions release carbon dioxide. Both reactions release carbon dioxide. When a car engine burns gasoline, the results of the reaction are similar to when cells burn glucose. When a car engine burns gasoline, the results of the. This process occurs in. When A Car Engine Burns Gasoline The Results Of The Reaction.
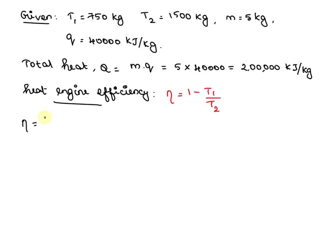
From www.numerade.com
SOLVED A car engine burns 5 kg of fuel (equivalent to adding QH ) at When A Car Engine Burns Gasoline The Results Of The Reaction Within the cylinders of a car’s engine, the hydrocarbon octane (c8h18), one of many components of gasoline, mixes with oxygen. This process occurs in the carburetor or fuel injector. Both reactions release carbon dioxide. Both reactions release carbon dioxide. When a car engine burns gasoline, the results of the reaction are similar to when cells burn glucose. When a car. When A Car Engine Burns Gasoline The Results Of The Reaction.
From www.pinterest.com
Energy transfer in a car engine. Chemical energy, Energy transfer When A Car Engine Burns Gasoline The Results Of The Reaction Both reactions release carbon dioxide. Two of the three main stages of cellular respiration occur in the mitochondria. Within the cylinders of a car’s engine, the hydrocarbon octane (c8h18), one of many components of gasoline, mixes with oxygen. When a car engine burns gasoline, the results of the. Both reactions release carbon dioxide. When a car engine burns gasoline, the. When A Car Engine Burns Gasoline The Results Of The Reaction.
From www.chegg.com
Solved Problem 5.54 (8 ?th Edition)A car engine burns 5kg When A Car Engine Burns Gasoline The Results Of The Reaction Both reactions release carbon dioxide. Both reactions release carbon dioxide. When a car engine burns gasoline, the results of the. Two of the three main stages of cellular respiration occur in the mitochondria. When a car engine burns gasoline, the results of the reaction are similar to when cells burn glucose. The combustion of gasoline in car engines converts. Both. When A Car Engine Burns Gasoline The Results Of The Reaction.
From circuitdiagramlove.z21.web.core.windows.net
Combustion In Car Engines When A Car Engine Burns Gasoline The Results Of The Reaction When a car engine burns gasoline, the results of the. When a car engine burns gasoline, the results of the reaction are similar to when cells burn glucose. Both reactions release carbon dioxide. When a car engine burns gasoline, the results of the reaction are similar to when cells burn glucose. When a car engine burns gasoline, a process similar. When A Car Engine Burns Gasoline The Results Of The Reaction.
From www.slideserve.com
PPT ENERGY PowerPoint Presentation, free download ID1589191 When A Car Engine Burns Gasoline The Results Of The Reaction Two of the three main stages of cellular respiration occur in the mitochondria. When a car engine burns gasoline, the results of the reaction are similar to when cells burn glucose. Both reactions release carbon dioxide. The combustion of gasoline in car engines converts. Before gasoline can burn, it must first undergo vaporization and mix with air. When a car. When A Car Engine Burns Gasoline The Results Of The Reaction.
From www.grc.nasa.gov
Combustion When A Car Engine Burns Gasoline The Results Of The Reaction When a car engine burns gasoline, the results of the reaction are similar to when cells burn glucose. When a car engine burns gasoline, the results of the reaction are similar to when cells burn glucose. Before gasoline can burn, it must first undergo vaporization and mix with air. The combustion of gasoline in car engines converts. When a car. When A Car Engine Burns Gasoline The Results Of The Reaction.
From www.youtube.com
Lean Burn Process YouTube When A Car Engine Burns Gasoline The Results Of The Reaction Two of the three main stages of cellular respiration occur in the mitochondria. The combustion of gasoline in car engines converts. Both reactions release carbon dioxide. Both reactions release carbon dioxide. When a car engine burns gasoline, the results of the. Within the cylinders of a car’s engine, the hydrocarbon octane (c8h18), one of many components of gasoline, mixes with. When A Car Engine Burns Gasoline The Results Of The Reaction.
From www.chegg.com
Solved When gasoline burns in a car engine, the heat When A Car Engine Burns Gasoline The Results Of The Reaction Before gasoline can burn, it must first undergo vaporization and mix with air. Both reactions release carbon dioxide. When a car engine burns gasoline, the results of the reaction are similar to when cells burn glucose. When a car engine burns gasoline, the results of the. Two of the three main stages of cellular respiration occur in the mitochondria. Within. When A Car Engine Burns Gasoline The Results Of The Reaction.
From www.chegg.com
Solved A car engine burns 5 kg fuel (equivalent to addition When A Car Engine Burns Gasoline The Results Of The Reaction Within the cylinders of a car’s engine, the hydrocarbon octane (c8h18), one of many components of gasoline, mixes with oxygen. When a car engine burns gasoline, the results of the reaction are similar to when cells burn glucose. When a car engine burns gasoline, the results of the. Both reactions release carbon dioxide. Before gasoline can burn, it must first. When A Car Engine Burns Gasoline The Results Of The Reaction.
From www.numerade.com
A car engine burns 5 kg of fuel (equivalent to adding QH ) at 1500 K When A Car Engine Burns Gasoline The Results Of The Reaction When a car engine burns gasoline, the results of the reaction are similar to when cells burn glucose. When a car engine burns gasoline, the results of the reaction are similar to when cells burn glucose. When a car engine burns gasoline, the results of the. Before gasoline can burn, it must first undergo vaporization and mix with air. When. When A Car Engine Burns Gasoline The Results Of The Reaction.
From sciencenotes.org
Combustion Reaction Definition and Examples When A Car Engine Burns Gasoline The Results Of The Reaction When a car engine burns gasoline, the results of the. When a car engine burns gasoline, the results of the reaction are similar to when cells burn glucose. Both reactions release carbon dioxide. Both reactions release carbon dioxide. This process occurs in the carburetor or fuel injector. When a car engine burns gasoline, the results of the reaction are similar. When A Car Engine Burns Gasoline The Results Of The Reaction.
From www.pinterest.com.mx
4 stroke gasoline engine in 2021 Gasoline engine, Automobile When A Car Engine Burns Gasoline The Results Of The Reaction Both reactions release carbon dioxide. When a car engine burns gasoline, the results of the reaction are similar to when cells burn glucose. The combustion of gasoline in car engines converts. When a car engine burns gasoline, the results of the reaction are similar to when cells burn glucose. Both reactions release carbon dioxide. Both reactions release carbon dioxide. Within. When A Car Engine Burns Gasoline The Results Of The Reaction.
From www.numerade.com
⏩SOLVEDSuppose that the gasoline in a car engine burns at 631^∘ C When A Car Engine Burns Gasoline The Results Of The Reaction When a car engine burns gasoline, a process similar to cellular respiration occurs. Within the cylinders of a car’s engine, the hydrocarbon octane (c8h18), one of many components of gasoline, mixes with oxygen. When a car engine burns gasoline, the results of the reaction are similar to when cells burn glucose. This process occurs in the carburetor or fuel injector.. When A Car Engine Burns Gasoline The Results Of The Reaction.
From carbiketech.com
Petrol Engine How A 4 Stroke Petrol Engine Or Spark Ignition Cycle Works? When A Car Engine Burns Gasoline The Results Of The Reaction Two of the three main stages of cellular respiration occur in the mitochondria. Both reactions release carbon dioxide. Both reactions release carbon dioxide. When a car engine burns gasoline, the results of the reaction are similar to when cells burn glucose. When a car engine burns gasoline, a process similar to cellular respiration occurs. Before gasoline can burn, it must. When A Car Engine Burns Gasoline The Results Of The Reaction.
From www.energy.gov
Internal Combustion Engine Basics Department of Energy When A Car Engine Burns Gasoline The Results Of The Reaction Within the cylinders of a car’s engine, the hydrocarbon octane (c8h18), one of many components of gasoline, mixes with oxygen. Both reactions release carbon dioxide. When a car engine burns gasoline, the results of the reaction are similar to when cells burn glucose. Two of the three main stages of cellular respiration occur in the mitochondria. The combustion of gasoline. When A Car Engine Burns Gasoline The Results Of The Reaction.
From www.chegg.com
Solved Suppose the gasoline in a car engine burns at 657∘C, When A Car Engine Burns Gasoline The Results Of The Reaction When a car engine burns gasoline, the results of the reaction are similar to when cells burn glucose. When a car engine burns gasoline, the results of the. Before gasoline can burn, it must first undergo vaporization and mix with air. Both reactions release carbon dioxide. When a car engine burns gasoline, the results of the reaction are similar to. When A Car Engine Burns Gasoline The Results Of The Reaction.
From www.chegg.com
Solved An engine burns gasoline with a fuel of composition When A Car Engine Burns Gasoline The Results Of The Reaction Two of the three main stages of cellular respiration occur in the mitochondria. Within the cylinders of a car’s engine, the hydrocarbon octane (c8h18), one of many components of gasoline, mixes with oxygen. Both reactions release carbon dioxide. This process occurs in the carburetor or fuel injector. When a car engine burns gasoline, the results of the reaction are similar. When A Car Engine Burns Gasoline The Results Of The Reaction.
From www.gauthmath.com
Solved A moving van burns gasoline in its engine. During this process When A Car Engine Burns Gasoline The Results Of The Reaction When a car engine burns gasoline, a process similar to cellular respiration occurs. When a car engine burns gasoline, the results of the reaction are similar to when cells burn glucose. When a car engine burns gasoline, the results of the reaction are similar to when cells burn glucose. The combustion of gasoline in car engines converts. Both reactions release. When A Car Engine Burns Gasoline The Results Of The Reaction.
From www.researchgate.net
Burn duration vs. relative air/fuel ratio for CNG and gasoline at 1500 When A Car Engine Burns Gasoline The Results Of The Reaction When a car engine burns gasoline, a process similar to cellular respiration occurs. When a car engine burns gasoline, the results of the reaction are similar to when cells burn glucose. Both reactions release carbon dioxide. When a car engine burns gasoline, the results of the. Within the cylinders of a car’s engine, the hydrocarbon octane (c8h18), one of many. When A Car Engine Burns Gasoline The Results Of The Reaction.
From www.numerade.com
SOLVED A car engine burns gas at 495 K, and exhausts to the air at 293 When A Car Engine Burns Gasoline The Results Of The Reaction Both reactions release carbon dioxide. When a car engine burns gasoline, the results of the reaction are similar to when cells burn glucose. Both reactions release carbon dioxide. Within the cylinders of a car’s engine, the hydrocarbon octane (c8h18), one of many components of gasoline, mixes with oxygen. When a car engine burns gasoline, the results of the reaction are. When A Car Engine Burns Gasoline The Results Of The Reaction.
From autoquarterly.com
Engine Misfire Symptoms and Causes A Guide Auto Quarterly When A Car Engine Burns Gasoline The Results Of The Reaction Both reactions release carbon dioxide. Both reactions release carbon dioxide. When a car engine burns gasoline, the results of the reaction are similar to when cells burn glucose. When a car engine burns gasoline, the results of the reaction are similar to when cells burn glucose. Before gasoline can burn, it must first undergo vaporization and mix with air. The. When A Car Engine Burns Gasoline The Results Of The Reaction.
From www.bryantpsc.com
Common Causes of Car Fires, Prevention, and What to Do if Your Car When A Car Engine Burns Gasoline The Results Of The Reaction When a car engine burns gasoline, a process similar to cellular respiration occurs. Before gasoline can burn, it must first undergo vaporization and mix with air. Two of the three main stages of cellular respiration occur in the mitochondria. When a car engine burns gasoline, the results of the reaction are similar to when cells burn glucose. When a car. When A Car Engine Burns Gasoline The Results Of The Reaction.
From www.researchgate.net
Schematic diagram of airfuel path in a leanburn engine. 1 Download When A Car Engine Burns Gasoline The Results Of The Reaction Before gasoline can burn, it must first undergo vaporization and mix with air. When a car engine burns gasoline, the results of the. Both reactions release carbon dioxide. When a car engine burns gasoline, a process similar to cellular respiration occurs. When a car engine burns gasoline, the results of the reaction are similar to when cells burn glucose. The. When A Car Engine Burns Gasoline The Results Of The Reaction.
From mechanicdbjuvenile.z21.web.core.windows.net
Knocking In Engine After Oil Change When A Car Engine Burns Gasoline The Results Of The Reaction Both reactions release carbon dioxide. Within the cylinders of a car’s engine, the hydrocarbon octane (c8h18), one of many components of gasoline, mixes with oxygen. The combustion of gasoline in car engines converts. When a car engine burns gasoline, a process similar to cellular respiration occurs. When a car engine burns gasoline, the results of the reaction are similar to. When A Car Engine Burns Gasoline The Results Of The Reaction.
From www.numerade.com
SOLVEDA car engine burns 101 bm of fuel (equivalent to addition of QH When A Car Engine Burns Gasoline The Results Of The Reaction When a car engine burns gasoline, the results of the. Two of the three main stages of cellular respiration occur in the mitochondria. Both reactions release carbon dioxide. When a car engine burns gasoline, a process similar to cellular respiration occurs. When a car engine burns gasoline, the results of the reaction are similar to when cells burn glucose. Within. When A Car Engine Burns Gasoline The Results Of The Reaction.
From garagemccarthyvanquish.z21.web.core.windows.net
Engine Burns Oil When A Car Engine Burns Gasoline The Results Of The Reaction When a car engine burns gasoline, the results of the reaction are similar to when cells burn glucose. Both reactions release carbon dioxide. The combustion of gasoline in car engines converts. When a car engine burns gasoline, the results of the reaction are similar to when cells burn glucose. When a car engine burns gasoline, the results of the reaction. When A Car Engine Burns Gasoline The Results Of The Reaction.
From www.teachoo.com
Case Based MCQ Chemistry in Automobiles For an internal combustion When A Car Engine Burns Gasoline The Results Of The Reaction When a car engine burns gasoline, the results of the reaction are similar to when cells burn glucose. When a car engine burns gasoline, the results of the reaction are similar to when cells burn glucose. The combustion of gasoline in car engines converts. Within the cylinders of a car’s engine, the hydrocarbon octane (c8h18), one of many components of. When A Car Engine Burns Gasoline The Results Of The Reaction.