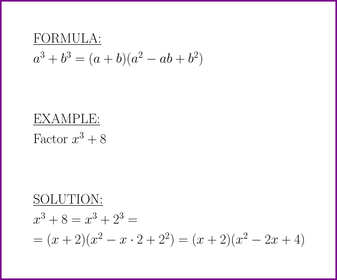
A3 A3 Formula . Learn how to use the a3 + b3 formula to find the sum of cubes of two numbers without calculating their cubes. Find examples, steps, and formulas for a3 b3,. The formula of a cube minus b cube is given by: See examples, formulas and exercises on. See proof, examples, and faqs on the sum of cubes identity. Learn how to derive and use the a3 b3 formula for subtraction and addition of cubes. See the proof, factors, and examples of the a3 + b3. Learn how to use the a^3+b^3 formula to find the sum of two cubes, factorize binomials of cubes, and simplify expressions.
from www.teachoo.com
Learn how to use the a3 + b3 formula to find the sum of cubes of two numbers without calculating their cubes. See the proof, factors, and examples of the a3 + b3. The formula of a cube minus b cube is given by: Learn how to use the a^3+b^3 formula to find the sum of two cubes, factorize binomials of cubes, and simplify expressions. See proof, examples, and faqs on the sum of cubes identity. See examples, formulas and exercises on. Find examples, steps, and formulas for a3 b3,. Learn how to derive and use the a3 b3 formula for subtraction and addition of cubes.
Algebra Formulas (a+b)^3 , (a+b)^2 , (a+b+c)^3, a^3 b^3 Teachoo
A3 A3 Formula Learn how to use the a^3+b^3 formula to find the sum of two cubes, factorize binomials of cubes, and simplify expressions. Learn how to use the a3 + b3 formula to find the sum of cubes of two numbers without calculating their cubes. See the proof, factors, and examples of the a3 + b3. See proof, examples, and faqs on the sum of cubes identity. Learn how to derive and use the a3 b3 formula for subtraction and addition of cubes. Find examples, steps, and formulas for a3 b3,. Learn how to use the a^3+b^3 formula to find the sum of two cubes, factorize binomials of cubes, and simplify expressions. The formula of a cube minus b cube is given by: See examples, formulas and exercises on.
From www.youtube.com
a3 + b3 and a3 b3 YouTube A3 A3 Formula Find examples, steps, and formulas for a3 b3,. Learn how to use the a^3+b^3 formula to find the sum of two cubes, factorize binomials of cubes, and simplify expressions. See proof, examples, and faqs on the sum of cubes identity. See the proof, factors, and examples of the a3 + b3. See examples, formulas and exercises on. Learn how to. A3 A3 Formula.
From inditamadian1.blogspot.com
A Better Formula For A1 A2 A3 A4 A5 A3 A3 Formula See examples, formulas and exercises on. The formula of a cube minus b cube is given by: See the proof, factors, and examples of the a3 + b3. Learn how to use the a^3+b^3 formula to find the sum of two cubes, factorize binomials of cubes, and simplify expressions. Learn how to use the a3 + b3 formula to find. A3 A3 Formula.
From criticalthinking.cloud
what is a3 problem solving A3 A3 Formula Learn how to derive and use the a3 b3 formula for subtraction and addition of cubes. See examples, formulas and exercises on. Find examples, steps, and formulas for a3 b3,. Learn how to use the a^3+b^3 formula to find the sum of two cubes, factorize binomials of cubes, and simplify expressions. See the proof, factors, and examples of the a3. A3 A3 Formula.
From www.chegg.com
Solved 18. What formula should be entered in cell A3 to A3 A3 Formula Learn how to use the a^3+b^3 formula to find the sum of two cubes, factorize binomials of cubes, and simplify expressions. The formula of a cube minus b cube is given by: Learn how to use the a3 + b3 formula to find the sum of cubes of two numbers without calculating their cubes. See examples, formulas and exercises on.. A3 A3 Formula.
From www.youtube.com
Fórmula a3 YouTube A3 A3 Formula Learn how to derive and use the a3 b3 formula for subtraction and addition of cubes. Learn how to use the a^3+b^3 formula to find the sum of two cubes, factorize binomials of cubes, and simplify expressions. See the proof, factors, and examples of the a3 + b3. The formula of a cube minus b cube is given by: Learn. A3 A3 Formula.
From www.home-tution.com
a3+b3 Formula Solved Examples And Explanation A3 A3 Formula The formula of a cube minus b cube is given by: Learn how to use the a^3+b^3 formula to find the sum of two cubes, factorize binomials of cubes, and simplify expressions. See proof, examples, and faqs on the sum of cubes identity. See examples, formulas and exercises on. Learn how to derive and use the a3 b3 formula for. A3 A3 Formula.
From www.bintangsempurna.co.id
Bedanya Ukuran A3 Plus dengan Ukuran A3 Biasa, Sudah Tahu Belum A3 A3 Formula Learn how to use the a3 + b3 formula to find the sum of cubes of two numbers without calculating their cubes. Find examples, steps, and formulas for a3 b3,. See proof, examples, and faqs on the sum of cubes identity. See examples, formulas and exercises on. The formula of a cube minus b cube is given by: Learn how. A3 A3 Formula.
From www.youtube.com
Verify Algebraic Identity a3 b3 Formula Proof Maths Activity A3 A3 Formula Learn how to use the a^3+b^3 formula to find the sum of two cubes, factorize binomials of cubes, and simplify expressions. See the proof, factors, and examples of the a3 + b3. See examples, formulas and exercises on. Find examples, steps, and formulas for a3 b3,. Learn how to use the a3 + b3 formula to find the sum of. A3 A3 Formula.
From kabegamizeb.blogspot.com
√1000以上 a^3+b^3+c^33abc formula proof 143898A^3+b^3+c^33abc formula A3 A3 Formula Learn how to use the a3 + b3 formula to find the sum of cubes of two numbers without calculating their cubes. See the proof, factors, and examples of the a3 + b3. Learn how to use the a^3+b^3 formula to find the sum of two cubes, factorize binomials of cubes, and simplify expressions. Learn how to derive and use. A3 A3 Formula.
From lunlun.com
a^3 + b^3 (formula and example) A3 A3 Formula Learn how to use the a^3+b^3 formula to find the sum of two cubes, factorize binomials of cubes, and simplify expressions. Learn how to use the a3 + b3 formula to find the sum of cubes of two numbers without calculating their cubes. See proof, examples, and faqs on the sum of cubes identity. See examples, formulas and exercises on.. A3 A3 Formula.
From goodproject.pl
Format A3 wymiary, rozmiar, zastosowanie Good Project Studio A3 A3 Formula See the proof, factors, and examples of the a3 + b3. Learn how to use the a^3+b^3 formula to find the sum of two cubes, factorize binomials of cubes, and simplify expressions. Learn how to use the a3 + b3 formula to find the sum of cubes of two numbers without calculating their cubes. Learn how to derive and use. A3 A3 Formula.
From www.youtube.com
a3b3 formula YouTube A3 A3 Formula Learn how to derive and use the a3 b3 formula for subtraction and addition of cubes. Learn how to use the a^3+b^3 formula to find the sum of two cubes, factorize binomials of cubes, and simplify expressions. See examples, formulas and exercises on. See the proof, factors, and examples of the a3 + b3. The formula of a cube minus. A3 A3 Formula.
From www.lean.org
A3 ProblemSolving A Resource Guide Lean Enterprise Institute A3 A3 Formula Learn how to use the a^3+b^3 formula to find the sum of two cubes, factorize binomials of cubes, and simplify expressions. Learn how to derive and use the a3 b3 formula for subtraction and addition of cubes. See proof, examples, and faqs on the sum of cubes identity. Find examples, steps, and formulas for a3 b3,. Learn how to use. A3 A3 Formula.
From www.youtube.com
Number System 14Factorise a3+b3+c33abcThe standard algebraic A3 A3 Formula See proof, examples, and faqs on the sum of cubes identity. The formula of a cube minus b cube is given by: See the proof, factors, and examples of the a3 + b3. Learn how to derive and use the a3 b3 formula for subtraction and addition of cubes. Find examples, steps, and formulas for a3 b3,. See examples, formulas. A3 A3 Formula.
From www.coursehero.com
[Solved] What formula should be entered in A3 to compute A1 times A3 A3 Formula Learn how to derive and use the a3 b3 formula for subtraction and addition of cubes. Find examples, steps, and formulas for a3 b3,. The formula of a cube minus b cube is given by: See the proof, factors, and examples of the a3 + b3. Learn how to use the a3 + b3 formula to find the sum of. A3 A3 Formula.
From logicalfact.in
Prove a3+b3 Formula A3 A3 Formula See proof, examples, and faqs on the sum of cubes identity. See the proof, factors, and examples of the a3 + b3. The formula of a cube minus b cube is given by: Learn how to derive and use the a3 b3 formula for subtraction and addition of cubes. Learn how to use the a3 + b3 formula to find. A3 A3 Formula.
From www.saskhealthquality.ca
More than just a paper size The A3 as a powerful problemsolving tool A3 A3 Formula Learn how to use the a3 + b3 formula to find the sum of cubes of two numbers without calculating their cubes. See examples, formulas and exercises on. Learn how to derive and use the a3 b3 formula for subtraction and addition of cubes. The formula of a cube minus b cube is given by: See proof, examples, and faqs. A3 A3 Formula.
From www.youtube.com
Algebra Formula a3 + b3 + c3 3abc MATHS SSC CHSL/CGL/MTS/CPO A3 A3 Formula Learn how to derive and use the a3 b3 formula for subtraction and addition of cubes. Find examples, steps, and formulas for a3 b3,. See the proof, factors, and examples of the a3 + b3. See proof, examples, and faqs on the sum of cubes identity. Learn how to use the a3 + b3 formula to find the sum of. A3 A3 Formula.
From www.slideserve.com
PPT The A3 Process and A3 Thinking PowerPoint Presentation, free A3 A3 Formula Learn how to derive and use the a3 b3 formula for subtraction and addition of cubes. Learn how to use the a^3+b^3 formula to find the sum of two cubes, factorize binomials of cubes, and simplify expressions. The formula of a cube minus b cube is given by: See proof, examples, and faqs on the sum of cubes identity. See. A3 A3 Formula.
From www.coursehero.com
[Solved] Let a1, a2, a3,..., an,... be a geometric sequence with common A3 A3 Formula Learn how to derive and use the a3 b3 formula for subtraction and addition of cubes. See the proof, factors, and examples of the a3 + b3. See proof, examples, and faqs on the sum of cubes identity. Learn how to use the a3 + b3 formula to find the sum of cubes of two numbers without calculating their cubes.. A3 A3 Formula.
From brainly.in
If a+1/a =3 , then find the value of a3 +1/a3 Brainly.in A3 A3 Formula See examples, formulas and exercises on. Learn how to derive and use the a3 b3 formula for subtraction and addition of cubes. Learn how to use the a3 + b3 formula to find the sum of cubes of two numbers without calculating their cubes. Find examples, steps, and formulas for a3 b3,. Learn how to use the a^3+b^3 formula to. A3 A3 Formula.
From geracaolean.com.br
Aprenda a utilizar o Relatório A3 do Sistema Toyota de Produção Phlox A3 A3 Formula Learn how to use the a3 + b3 formula to find the sum of cubes of two numbers without calculating their cubes. See the proof, factors, and examples of the a3 + b3. Find examples, steps, and formulas for a3 b3,. See proof, examples, and faqs on the sum of cubes identity. Learn how to derive and use the a3. A3 A3 Formula.
From www.youtube.com
Verify that (ab)3=a33ab(ab)b3 formula. YouTube A3 A3 Formula Learn how to use the a^3+b^3 formula to find the sum of two cubes, factorize binomials of cubes, and simplify expressions. Learn how to use the a3 + b3 formula to find the sum of cubes of two numbers without calculating their cubes. Find examples, steps, and formulas for a3 b3,. The formula of a cube minus b cube is. A3 A3 Formula.
From brainly.in
if a+b =11 and ab = 28 find the value of a3 +b3 Brainly.in A3 A3 Formula Learn how to use the a^3+b^3 formula to find the sum of two cubes, factorize binomials of cubes, and simplify expressions. Learn how to use the a3 + b3 formula to find the sum of cubes of two numbers without calculating their cubes. See examples, formulas and exercises on. Find examples, steps, and formulas for a3 b3,. See proof, examples,. A3 A3 Formula.
From www.vocationindia.com
a3 b3 Formula with Questions and Answers A3 A3 Formula The formula of a cube minus b cube is given by: See proof, examples, and faqs on the sum of cubes identity. Learn how to derive and use the a3 b3 formula for subtraction and addition of cubes. See examples, formulas and exercises on. See the proof, factors, and examples of the a3 + b3. Learn how to use the. A3 A3 Formula.
From www.teachoo.com
Algebra Formulas (a+b)^3 , (a+b)^2 , (a+b+c)^3, a^3 b^3 Teachoo A3 A3 Formula See the proof, factors, and examples of the a3 + b3. See proof, examples, and faqs on the sum of cubes identity. Find examples, steps, and formulas for a3 b3,. Learn how to use the a^3+b^3 formula to find the sum of two cubes, factorize binomials of cubes, and simplify expressions. The formula of a cube minus b cube is. A3 A3 Formula.
From www.youtube.com
suma de a38ax2+x3 ; 5a2x6ax2x3 ; 3a3 5a2xx3 ; a3+14ax2x3 YouTube A3 A3 Formula See the proof, factors, and examples of the a3 + b3. Find examples, steps, and formulas for a3 b3,. Learn how to use the a3 + b3 formula to find the sum of cubes of two numbers without calculating their cubes. See proof, examples, and faqs on the sum of cubes identity. The formula of a cube minus b cube. A3 A3 Formula.
From www.home-tution.com
a3+b3 Formula Solved Examples And Explanation A3 A3 Formula The formula of a cube minus b cube is given by: Learn how to derive and use the a3 b3 formula for subtraction and addition of cubes. See examples, formulas and exercises on. See the proof, factors, and examples of the a3 + b3. Learn how to use the a3 + b3 formula to find the sum of cubes of. A3 A3 Formula.
From www.scribd.com
A3 Formula PDF A3 A3 Formula Find examples, steps, and formulas for a3 b3,. See the proof, factors, and examples of the a3 + b3. The formula of a cube minus b cube is given by: Learn how to use the a^3+b^3 formula to find the sum of two cubes, factorize binomials of cubes, and simplify expressions. See examples, formulas and exercises on. See proof, examples,. A3 A3 Formula.
From a3leaders.org
A3 Process A3 A3 Formula Find examples, steps, and formulas for a3 b3,. Learn how to use the a^3+b^3 formula to find the sum of two cubes, factorize binomials of cubes, and simplify expressions. Learn how to derive and use the a3 b3 formula for subtraction and addition of cubes. Learn how to use the a3 + b3 formula to find the sum of cubes. A3 A3 Formula.
From brainly.in
If a2 3a +1= 0 find the value of a2 +1/a2 , a3 +1/a3 Brainly.in A3 A3 Formula See proof, examples, and faqs on the sum of cubes identity. Learn how to derive and use the a3 b3 formula for subtraction and addition of cubes. Learn how to use the a3 + b3 formula to find the sum of cubes of two numbers without calculating their cubes. The formula of a cube minus b cube is given by:. A3 A3 Formula.
From www.chegg.com
Solved 5. What formula should be entered in cell A3 to A3 A3 Formula See proof, examples, and faqs on the sum of cubes identity. Learn how to derive and use the a3 b3 formula for subtraction and addition of cubes. The formula of a cube minus b cube is given by: See examples, formulas and exercises on. See the proof, factors, and examples of the a3 + b3. Learn how to use the. A3 A3 Formula.
From brainly.in
formula of a3b3/a2+ab+b2 Brainly.in A3 A3 Formula See the proof, factors, and examples of the a3 + b3. Learn how to derive and use the a3 b3 formula for subtraction and addition of cubes. Learn how to use the a^3+b^3 formula to find the sum of two cubes, factorize binomials of cubes, and simplify expressions. Find examples, steps, and formulas for a3 b3,. See proof, examples, and. A3 A3 Formula.
From goleansixsigma.com
Lean Six Sigma A3 Template & Example A3 A3 Formula Learn how to derive and use the a3 b3 formula for subtraction and addition of cubes. Find examples, steps, and formulas for a3 b3,. The formula of a cube minus b cube is given by: See examples, formulas and exercises on. Learn how to use the a^3+b^3 formula to find the sum of two cubes, factorize binomials of cubes, and. A3 A3 Formula.
From riset.guru
Three Steps To Applying The A3 Problem Solving Methodology Riset A3 A3 Formula See proof, examples, and faqs on the sum of cubes identity. See examples, formulas and exercises on. Learn how to derive and use the a3 b3 formula for subtraction and addition of cubes. See the proof, factors, and examples of the a3 + b3. Learn how to use the a^3+b^3 formula to find the sum of two cubes, factorize binomials. A3 A3 Formula.