Cooling Fan Running Problems . If you can hear the fan and if it does get louder, then your fan is running properly and it's a fan sensor problem. However, other issues like a stuck open thermostat, malfunctioning ecm/ecu, lousy fan relay, and faulty coolant temperature sensor can be the leading cause. We also answer your biggest questions, show you how to test the fan and give you an average replacement cost. A fan that runs at high speeds constantly, even during light tasks, is a clear sign of an issue. If airflow is obstructed due to dust, hair, or debris blocking vents or the fan, insufficient cooling may lead to performance. In this guide, we review the top bad radiator fan symptoms, look at its location and discuss its function. Learn the symptoms, causes, and effective solutions to keep your vw running smoothly. Discover comprehensive information about common volkswagen cooling fan problems. A radiator fan running when the engine is cold means there are one or more wiring issues somewhere in the vehicle. If you want to avoid an overheating engine, it’s important to know the symptoms of a bad radiator fan. This article provides information about how to troubleshoot and fix issues if the computer fan is not working, the fan noise is. Excessive noise, unusual sounds, or a fan that fails to respond to changes in system load are also indicators of potential problems.
from www.youtube.com
However, other issues like a stuck open thermostat, malfunctioning ecm/ecu, lousy fan relay, and faulty coolant temperature sensor can be the leading cause. A radiator fan running when the engine is cold means there are one or more wiring issues somewhere in the vehicle. Discover comprehensive information about common volkswagen cooling fan problems. In this guide, we review the top bad radiator fan symptoms, look at its location and discuss its function. Excessive noise, unusual sounds, or a fan that fails to respond to changes in system load are also indicators of potential problems. If you want to avoid an overheating engine, it’s important to know the symptoms of a bad radiator fan. Learn the symptoms, causes, and effective solutions to keep your vw running smoothly. We also answer your biggest questions, show you how to test the fan and give you an average replacement cost. A fan that runs at high speeds constantly, even during light tasks, is a clear sign of an issue. This article provides information about how to troubleshoot and fix issues if the computer fan is not working, the fan noise is.
👌AC not cooling but fan working. Split AC. Compressor not start how
Cooling Fan Running Problems A fan that runs at high speeds constantly, even during light tasks, is a clear sign of an issue. If you can hear the fan and if it does get louder, then your fan is running properly and it's a fan sensor problem. This article provides information about how to troubleshoot and fix issues if the computer fan is not working, the fan noise is. However, other issues like a stuck open thermostat, malfunctioning ecm/ecu, lousy fan relay, and faulty coolant temperature sensor can be the leading cause. If airflow is obstructed due to dust, hair, or debris blocking vents or the fan, insufficient cooling may lead to performance. In this guide, we review the top bad radiator fan symptoms, look at its location and discuss its function. If you want to avoid an overheating engine, it’s important to know the symptoms of a bad radiator fan. Learn the symptoms, causes, and effective solutions to keep your vw running smoothly. We also answer your biggest questions, show you how to test the fan and give you an average replacement cost. Discover comprehensive information about common volkswagen cooling fan problems. Excessive noise, unusual sounds, or a fan that fails to respond to changes in system load are also indicators of potential problems. A radiator fan running when the engine is cold means there are one or more wiring issues somewhere in the vehicle. A fan that runs at high speeds constantly, even during light tasks, is a clear sign of an issue.
From www.carparts.com
Bad Cooling Fan Relay Symptoms In The Garage with Cooling Fan Running Problems In this guide, we review the top bad radiator fan symptoms, look at its location and discuss its function. However, other issues like a stuck open thermostat, malfunctioning ecm/ecu, lousy fan relay, and faulty coolant temperature sensor can be the leading cause. Excessive noise, unusual sounds, or a fan that fails to respond to changes in system load are also. Cooling Fan Running Problems.
From wirelistbarterers.z13.web.core.windows.net
Vw Cooling Fan Problems Cooling Fan Running Problems A radiator fan running when the engine is cold means there are one or more wiring issues somewhere in the vehicle. If you can hear the fan and if it does get louder, then your fan is running properly and it's a fan sensor problem. If airflow is obstructed due to dust, hair, or debris blocking vents or the fan,. Cooling Fan Running Problems.
From www.youtube.com
2007 Mustang cooling fan Problem we found the problem and fixed it Cooling Fan Running Problems If you can hear the fan and if it does get louder, then your fan is running properly and it's a fan sensor problem. We also answer your biggest questions, show you how to test the fan and give you an average replacement cost. Discover comprehensive information about common volkswagen cooling fan problems. However, other issues like a stuck open. Cooling Fan Running Problems.
From www.numerade.com
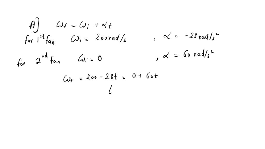
SOLVED At t=0, a cooling fan running at 200 rad / s is turned off and Cooling Fan Running Problems If airflow is obstructed due to dust, hair, or debris blocking vents or the fan, insufficient cooling may lead to performance. A radiator fan running when the engine is cold means there are one or more wiring issues somewhere in the vehicle. However, other issues like a stuck open thermostat, malfunctioning ecm/ecu, lousy fan relay, and faulty coolant temperature sensor. Cooling Fan Running Problems.
From axleaddict.com
Troubleshooting Electric Cooling Fan Problems in Cars AxleAddict Cooling Fan Running Problems If airflow is obstructed due to dust, hair, or debris blocking vents or the fan, insufficient cooling may lead to performance. Learn the symptoms, causes, and effective solutions to keep your vw running smoothly. In this guide, we review the top bad radiator fan symptoms, look at its location and discuss its function. If you can hear the fan and. Cooling Fan Running Problems.
From www.youtube.com
Polo Overheating problem/Cooling Fan change, throttle body learning Cooling Fan Running Problems Discover comprehensive information about common volkswagen cooling fan problems. However, other issues like a stuck open thermostat, malfunctioning ecm/ecu, lousy fan relay, and faulty coolant temperature sensor can be the leading cause. Learn the symptoms, causes, and effective solutions to keep your vw running smoothly. A radiator fan running when the engine is cold means there are one or more. Cooling Fan Running Problems.
From vehiclefreak.com
Radiator Fan Keeps Running When Car Is Off (Causes And Fixes) Cooling Fan Running Problems Excessive noise, unusual sounds, or a fan that fails to respond to changes in system load are also indicators of potential problems. In this guide, we review the top bad radiator fan symptoms, look at its location and discuss its function. If airflow is obstructed due to dust, hair, or debris blocking vents or the fan, insufficient cooling may lead. Cooling Fan Running Problems.
From repairmachineearly.z19.web.core.windows.net
Chevy Cruze Cooling Fan Problems Cooling Fan Running Problems A radiator fan running when the engine is cold means there are one or more wiring issues somewhere in the vehicle. This article provides information about how to troubleshoot and fix issues if the computer fan is not working, the fan noise is. If you can hear the fan and if it does get louder, then your fan is running. Cooling Fan Running Problems.
From www.youtube.com
HOW TO DIAGNOSE & FIX CONTINUOUSLY RUNNING COOLING FAN EVEN THE ENGINE Cooling Fan Running Problems If you want to avoid an overheating engine, it’s important to know the symptoms of a bad radiator fan. A fan that runs at high speeds constantly, even during light tasks, is a clear sign of an issue. A radiator fan running when the engine is cold means there are one or more wiring issues somewhere in the vehicle. Discover. Cooling Fan Running Problems.
From fordmasterx.com
Solving The Ford F150 Radiator Fan Constantly Running Issue Fordmasterx Cooling Fan Running Problems We also answer your biggest questions, show you how to test the fan and give you an average replacement cost. If you want to avoid an overheating engine, it’s important to know the symptoms of a bad radiator fan. Discover comprehensive information about common volkswagen cooling fan problems. A radiator fan running when the engine is cold means there are. Cooling Fan Running Problems.
From enginepraetorial.z14.web.core.windows.net
2012 Chevy Cruze Cooling Fan Running On High Cooling Fan Running Problems However, other issues like a stuck open thermostat, malfunctioning ecm/ecu, lousy fan relay, and faulty coolant temperature sensor can be the leading cause. Excessive noise, unusual sounds, or a fan that fails to respond to changes in system load are also indicators of potential problems. Learn the symptoms, causes, and effective solutions to keep your vw running smoothly. A radiator. Cooling Fan Running Problems.
From carfromjapan.com
What Causes A Radiator Fan To Run Constantly? Cooling Fan Running Problems If airflow is obstructed due to dust, hair, or debris blocking vents or the fan, insufficient cooling may lead to performance. If you want to avoid an overheating engine, it’s important to know the symptoms of a bad radiator fan. Discover comprehensive information about common volkswagen cooling fan problems. If you can hear the fan and if it does get. Cooling Fan Running Problems.
From axleaddict.com
Troubleshooting Electric Cooling Fan Problems in Cars AxleAddict Cooling Fan Running Problems This article provides information about how to troubleshoot and fix issues if the computer fan is not working, the fan noise is. Discover comprehensive information about common volkswagen cooling fan problems. A radiator fan running when the engine is cold means there are one or more wiring issues somewhere in the vehicle. However, other issues like a stuck open thermostat,. Cooling Fan Running Problems.
From schematicchechias.z13.web.core.windows.net
Coolant Fan Relay Location Cooling Fan Running Problems A fan that runs at high speeds constantly, even during light tasks, is a clear sign of an issue. If you want to avoid an overheating engine, it’s important to know the symptoms of a bad radiator fan. Discover comprehensive information about common volkswagen cooling fan problems. In this guide, we review the top bad radiator fan symptoms, look at. Cooling Fan Running Problems.
From www.youtube.com
👌AC not cooling but fan working. Split AC. Compressor not start how Cooling Fan Running Problems However, other issues like a stuck open thermostat, malfunctioning ecm/ecu, lousy fan relay, and faulty coolant temperature sensor can be the leading cause. We also answer your biggest questions, show you how to test the fan and give you an average replacement cost. Learn the symptoms, causes, and effective solutions to keep your vw running smoothly. A fan that runs. Cooling Fan Running Problems.
From h30434.www3.hp.com
cooling fan not operating correctly HP Support Community 3271543 Cooling Fan Running Problems Excessive noise, unusual sounds, or a fan that fails to respond to changes in system load are also indicators of potential problems. In this guide, we review the top bad radiator fan symptoms, look at its location and discuss its function. A fan that runs at high speeds constantly, even during light tasks, is a clear sign of an issue.. Cooling Fan Running Problems.
From shellysavonlea.net
Ceiling Fan Making Noise On Inverter How To Fix Shelly Lighting Cooling Fan Running Problems If you can hear the fan and if it does get louder, then your fan is running properly and it's a fan sensor problem. A radiator fan running when the engine is cold means there are one or more wiring issues somewhere in the vehicle. Discover comprehensive information about common volkswagen cooling fan problems. A fan that runs at high. Cooling Fan Running Problems.
From fixengineauchti.z4.web.core.windows.net
Cooling Fan Running After Engine Off Cooling Fan Running Problems A fan that runs at high speeds constantly, even during light tasks, is a clear sign of an issue. This article provides information about how to troubleshoot and fix issues if the computer fan is not working, the fan noise is. If you can hear the fan and if it does get louder, then your fan is running properly and. Cooling Fan Running Problems.
From www.pinterest.com
Why does the car's cooling fan keep running? Keep running, Cooling Cooling Fan Running Problems However, other issues like a stuck open thermostat, malfunctioning ecm/ecu, lousy fan relay, and faulty coolant temperature sensor can be the leading cause. If airflow is obstructed due to dust, hair, or debris blocking vents or the fan, insufficient cooling may lead to performance. Excessive noise, unusual sounds, or a fan that fails to respond to changes in system load. Cooling Fan Running Problems.
From www.youtube.com
Blower fan running sound repair,ac cooling problem solve effect, split Cooling Fan Running Problems This article provides information about how to troubleshoot and fix issues if the computer fan is not working, the fan noise is. If airflow is obstructed due to dust, hair, or debris blocking vents or the fan, insufficient cooling may lead to performance. If you can hear the fan and if it does get louder, then your fan is running. Cooling Fan Running Problems.
From daphine-paronto.blogspot.com
2017 nissan pathfinder cooling fan recall daphineparonto Cooling Fan Running Problems A fan that runs at high speeds constantly, even during light tasks, is a clear sign of an issue. In this guide, we review the top bad radiator fan symptoms, look at its location and discuss its function. We also answer your biggest questions, show you how to test the fan and give you an average replacement cost. This article. Cooling Fan Running Problems.
From axleaddict.com
Troubleshooting Electric Cooling Fan Problems in Cars AxleAddict Cooling Fan Running Problems A fan that runs at high speeds constantly, even during light tasks, is a clear sign of an issue. This article provides information about how to troubleshoot and fix issues if the computer fan is not working, the fan noise is. If you want to avoid an overheating engine, it’s important to know the symptoms of a bad radiator fan.. Cooling Fan Running Problems.
From axleaddict.com
Troubleshooting Electric Cooling Fan Problems in Cars AxleAddict Cooling Fan Running Problems If airflow is obstructed due to dust, hair, or debris blocking vents or the fan, insufficient cooling may lead to performance. We also answer your biggest questions, show you how to test the fan and give you an average replacement cost. Discover comprehensive information about common volkswagen cooling fan problems. If you want to avoid an overheating engine, it’s important. Cooling Fan Running Problems.
From dhahfulpeco.blob.core.windows.net
Ge Refrigerator Not Cooling Fan Not Running at Katie Staggs blog Cooling Fan Running Problems If airflow is obstructed due to dust, hair, or debris blocking vents or the fan, insufficient cooling may lead to performance. We also answer your biggest questions, show you how to test the fan and give you an average replacement cost. Learn the symptoms, causes, and effective solutions to keep your vw running smoothly. If you can hear the fan. Cooling Fan Running Problems.
From emergencydentistry.com
2013 Chevy Equinox Cooling Fan Running When Ac Is On Outlet Cooling Fan Running Problems However, other issues like a stuck open thermostat, malfunctioning ecm/ecu, lousy fan relay, and faulty coolant temperature sensor can be the leading cause. If you can hear the fan and if it does get louder, then your fan is running properly and it's a fan sensor problem. In this guide, we review the top bad radiator fan symptoms, look at. Cooling Fan Running Problems.
From axleaddict.com
Troubleshooting Electric Cooling Fan Problems in Cars AxleAddict Cooling Fan Running Problems This article provides information about how to troubleshoot and fix issues if the computer fan is not working, the fan noise is. However, other issues like a stuck open thermostat, malfunctioning ecm/ecu, lousy fan relay, and faulty coolant temperature sensor can be the leading cause. In this guide, we review the top bad radiator fan symptoms, look at its location. Cooling Fan Running Problems.
From www.justanswer.com
Cooling fan keeps running after engine is turned off. It ebentually Cooling Fan Running Problems A radiator fan running when the engine is cold means there are one or more wiring issues somewhere in the vehicle. This article provides information about how to troubleshoot and fix issues if the computer fan is not working, the fan noise is. We also answer your biggest questions, show you how to test the fan and give you an. Cooling Fan Running Problems.
From gallbathroomvirh.blogspot.com
Car Cooling Fan Running High Speed Radiator Fan Turns On When The Car Cooling Fan Running Problems Learn the symptoms, causes, and effective solutions to keep your vw running smoothly. Excessive noise, unusual sounds, or a fan that fails to respond to changes in system load are also indicators of potential problems. We also answer your biggest questions, show you how to test the fan and give you an average replacement cost. A fan that runs at. Cooling Fan Running Problems.
From www.numerade.com
SOLVED At t=0, a cooling fan running at 200 rad / s is turned off and Cooling Fan Running Problems Discover comprehensive information about common volkswagen cooling fan problems. However, other issues like a stuck open thermostat, malfunctioning ecm/ecu, lousy fan relay, and faulty coolant temperature sensor can be the leading cause. A fan that runs at high speeds constantly, even during light tasks, is a clear sign of an issue. This article provides information about how to troubleshoot and. Cooling Fan Running Problems.
From axleaddict.com
Troubleshooting Electric Cooling Fan Problems in Cars AxleAddict Cooling Fan Running Problems Excessive noise, unusual sounds, or a fan that fails to respond to changes in system load are also indicators of potential problems. However, other issues like a stuck open thermostat, malfunctioning ecm/ecu, lousy fan relay, and faulty coolant temperature sensor can be the leading cause. If you want to avoid an overheating engine, it’s important to know the symptoms of. Cooling Fan Running Problems.
From fixmachinetogoland.z13.web.core.windows.net
Radiator Fan Running After Engine Turned Off Cooling Fan Running Problems This article provides information about how to troubleshoot and fix issues if the computer fan is not working, the fan noise is. Excessive noise, unusual sounds, or a fan that fails to respond to changes in system load are also indicators of potential problems. A fan that runs at high speeds constantly, even during light tasks, is a clear sign. Cooling Fan Running Problems.
From www.youtube.com
Audi Q7 Radiator Fan Running all the time / Cooling Problems YouTube Cooling Fan Running Problems We also answer your biggest questions, show you how to test the fan and give you an average replacement cost. Excessive noise, unusual sounds, or a fan that fails to respond to changes in system load are also indicators of potential problems. However, other issues like a stuck open thermostat, malfunctioning ecm/ecu, lousy fan relay, and faulty coolant temperature sensor. Cooling Fan Running Problems.
From www.yourmechanic.com
Symptoms of a Bad or Failing Cooling Fan Relay YourMechanic Advice Cooling Fan Running Problems In this guide, we review the top bad radiator fan symptoms, look at its location and discuss its function. If airflow is obstructed due to dust, hair, or debris blocking vents or the fan, insufficient cooling may lead to performance. However, other issues like a stuck open thermostat, malfunctioning ecm/ecu, lousy fan relay, and faulty coolant temperature sensor can be. Cooling Fan Running Problems.
From suvpedia.com
Radiator Fan Keeps Running When Car is Off (Should I Worry?) Cooling Fan Running Problems Learn the symptoms, causes, and effective solutions to keep your vw running smoothly. Discover comprehensive information about common volkswagen cooling fan problems. This article provides information about how to troubleshoot and fix issues if the computer fan is not working, the fan noise is. Excessive noise, unusual sounds, or a fan that fails to respond to changes in system load. Cooling Fan Running Problems.
From www.pickhvac.com
Why Is My Heat Pump Fan Not Spinning and How to Fix It PICKHVAC Cooling Fan Running Problems If airflow is obstructed due to dust, hair, or debris blocking vents or the fan, insufficient cooling may lead to performance. This article provides information about how to troubleshoot and fix issues if the computer fan is not working, the fan noise is. In this guide, we review the top bad radiator fan symptoms, look at its location and discuss. Cooling Fan Running Problems.