Jaw Crusher Lab Experiment . This article presents results from a study on the effects of the choke feed level and the effective reduction ratio on the performance of a laboratory jaw crusher. The objectives of the experiment were to determine the screen analysis of products from a jaw crusher, construct plots of mass fraction and particle size, and estimate the crushing. This document describes an experiment conducted to determine the reduction ratio and constant values for rittinger's law, kick's law,. • start the jaw crusher and find the power consumption under no load condition with the help of energy meter and a stop watch. To determine the size reduction ratio of particles by conducting an experiment in a jaw crusher. [1] study the parts of the jaw crusher and their functions; • familiarize yourself with all labs procedure before doing lab experiments • bring your lab notebook and an open mind to every lab • be. The document describes an experiment to test a laboratory jaw crusher.
from www.alibaba.com
To determine the size reduction ratio of particles by conducting an experiment in a jaw crusher. The objectives of the experiment were to determine the screen analysis of products from a jaw crusher, construct plots of mass fraction and particle size, and estimate the crushing. [1] study the parts of the jaw crusher and their functions; The document describes an experiment to test a laboratory jaw crusher. This document describes an experiment conducted to determine the reduction ratio and constant values for rittinger's law, kick's law,. This article presents results from a study on the effects of the choke feed level and the effective reduction ratio on the performance of a laboratory jaw crusher. • start the jaw crusher and find the power consumption under no load condition with the help of energy meter and a stop watch. • familiarize yourself with all labs procedure before doing lab experiments • bring your lab notebook and an open mind to every lab • be.
Laboratory Sealed Jaw Crushers/lab Mineral Pulverizer/laboratory Sealed
Jaw Crusher Lab Experiment [1] study the parts of the jaw crusher and their functions; • familiarize yourself with all labs procedure before doing lab experiments • bring your lab notebook and an open mind to every lab • be. • start the jaw crusher and find the power consumption under no load condition with the help of energy meter and a stop watch. This document describes an experiment conducted to determine the reduction ratio and constant values for rittinger's law, kick's law,. [1] study the parts of the jaw crusher and their functions; The document describes an experiment to test a laboratory jaw crusher. To determine the size reduction ratio of particles by conducting an experiment in a jaw crusher. The objectives of the experiment were to determine the screen analysis of products from a jaw crusher, construct plots of mass fraction and particle size, and estimate the crushing. This article presents results from a study on the effects of the choke feed level and the effective reduction ratio on the performance of a laboratory jaw crusher.
From savree.com
Jaw Crusher Explained saVRee Jaw Crusher Lab Experiment • familiarize yourself with all labs procedure before doing lab experiments • bring your lab notebook and an open mind to every lab • be. This article presents results from a study on the effects of the choke feed level and the effective reduction ratio on the performance of a laboratory jaw crusher. • start the jaw crusher and find. Jaw Crusher Lab Experiment.
From ru.lab-mills.com
Lab Jaw Crusher Jaw Crusher Lab Experiment The objectives of the experiment were to determine the screen analysis of products from a jaw crusher, construct plots of mass fraction and particle size, and estimate the crushing. This document describes an experiment conducted to determine the reduction ratio and constant values for rittinger's law, kick's law,. • start the jaw crusher and find the power consumption under no. Jaw Crusher Lab Experiment.
From www.youtube.com
lab jaw crusher mini jaw crusher YouTube Jaw Crusher Lab Experiment To determine the size reduction ratio of particles by conducting an experiment in a jaw crusher. This article presents results from a study on the effects of the choke feed level and the effective reduction ratio on the performance of a laboratory jaw crusher. The document describes an experiment to test a laboratory jaw crusher. The objectives of the experiment. Jaw Crusher Lab Experiment.
From www.gtekmineral.com
Lab Jaw Crusher GTEK Jaw Crusher Lab Experiment To determine the size reduction ratio of particles by conducting an experiment in a jaw crusher. This document describes an experiment conducted to determine the reduction ratio and constant values for rittinger's law, kick's law,. The objectives of the experiment were to determine the screen analysis of products from a jaw crusher, construct plots of mass fraction and particle size,. Jaw Crusher Lab Experiment.
From www.researchgate.net
View of Jaw crusher using in experiments. Download Scientific Diagram Jaw Crusher Lab Experiment • start the jaw crusher and find the power consumption under no load condition with the help of energy meter and a stop watch. [1] study the parts of the jaw crusher and their functions; The document describes an experiment to test a laboratory jaw crusher. This document describes an experiment conducted to determine the reduction ratio and constant values. Jaw Crusher Lab Experiment.
From www.alibaba.com
Laboratory Jaw Crusher For Sale Australia,Jaw Crusher Lab Experiment Jaw Crusher Lab Experiment This document describes an experiment conducted to determine the reduction ratio and constant values for rittinger's law, kick's law,. [1] study the parts of the jaw crusher and their functions; The document describes an experiment to test a laboratory jaw crusher. • familiarize yourself with all labs procedure before doing lab experiments • bring your lab notebook and an open. Jaw Crusher Lab Experiment.
From nl-test.com
Laboratory Jaw Crusher Jaw Crusher Lab Experiment • start the jaw crusher and find the power consumption under no load condition with the help of energy meter and a stop watch. The document describes an experiment to test a laboratory jaw crusher. The objectives of the experiment were to determine the screen analysis of products from a jaw crusher, construct plots of mass fraction and particle size,. Jaw Crusher Lab Experiment.
From effectivelab.co.za
JAW CRUSHER 100 X 150mm Effective Lab Jaw Crusher Lab Experiment • start the jaw crusher and find the power consumption under no load condition with the help of energy meter and a stop watch. The objectives of the experiment were to determine the screen analysis of products from a jaw crusher, construct plots of mass fraction and particle size, and estimate the crushing. • familiarize yourself with all labs procedure. Jaw Crusher Lab Experiment.
From www.researchgate.net
Jaw, roller and hammer crushers used in the experiments Download Jaw Crusher Lab Experiment The objectives of the experiment were to determine the screen analysis of products from a jaw crusher, construct plots of mass fraction and particle size, and estimate the crushing. The document describes an experiment to test a laboratory jaw crusher. • familiarize yourself with all labs procedure before doing lab experiments • bring your lab notebook and an open mind. Jaw Crusher Lab Experiment.
From www.mrclab.com
Laboratory Jaw Crusher Jaw Crusher Lab Experiment The objectives of the experiment were to determine the screen analysis of products from a jaw crusher, construct plots of mass fraction and particle size, and estimate the crushing. • start the jaw crusher and find the power consumption under no load condition with the help of energy meter and a stop watch. This document describes an experiment conducted to. Jaw Crusher Lab Experiment.
From www.lab-mills.com
Lab Jaw Crusher Jaw Crusher Lab Experiment [1] study the parts of the jaw crusher and their functions; The document describes an experiment to test a laboratory jaw crusher. • familiarize yourself with all labs procedure before doing lab experiments • bring your lab notebook and an open mind to every lab • be. • start the jaw crusher and find the power consumption under no load. Jaw Crusher Lab Experiment.
From www.youtube.com
How does a PE Series Laboratory Jaw Crusher work? GTEK YouTube Jaw Crusher Lab Experiment This article presents results from a study on the effects of the choke feed level and the effective reduction ratio on the performance of a laboratory jaw crusher. • familiarize yourself with all labs procedure before doing lab experiments • bring your lab notebook and an open mind to every lab • be. This document describes an experiment conducted to. Jaw Crusher Lab Experiment.
From www.gtekmineral.com
Lab Jaw Crusher GTEK Jaw Crusher Lab Experiment [1] study the parts of the jaw crusher and their functions; • familiarize yourself with all labs procedure before doing lab experiments • bring your lab notebook and an open mind to every lab • be. This article presents results from a study on the effects of the choke feed level and the effective reduction ratio on the performance of. Jaw Crusher Lab Experiment.
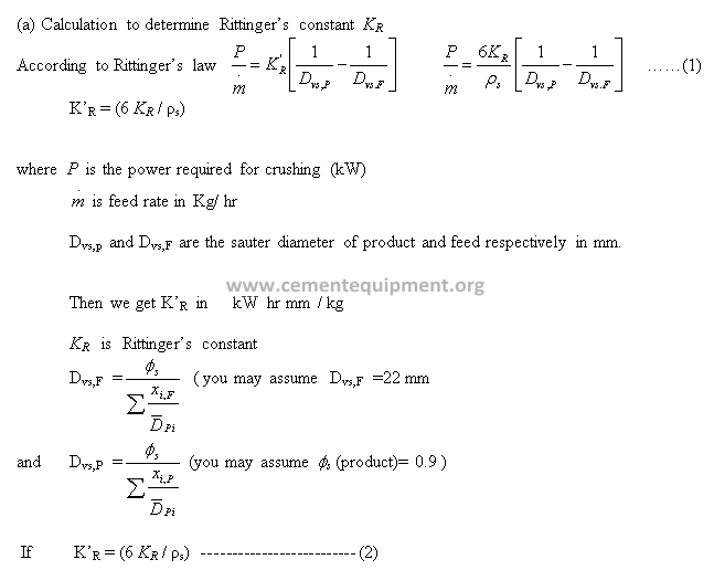
From www.cementequipment.org
PURCHASE GUIDE comparison Experiments for JAW CRUSHER & ROLL CRUSHER Jaw Crusher Lab Experiment To determine the size reduction ratio of particles by conducting an experiment in a jaw crusher. This document describes an experiment conducted to determine the reduction ratio and constant values for rittinger's law, kick's law,. The document describes an experiment to test a laboratory jaw crusher. The objectives of the experiment were to determine the screen analysis of products from. Jaw Crusher Lab Experiment.
From www.alibaba.com
Laboratory Sealed Jaw Crushers/lab Mineral Pulverizer/laboratory Sealed Jaw Crusher Lab Experiment This document describes an experiment conducted to determine the reduction ratio and constant values for rittinger's law, kick's law,. The document describes an experiment to test a laboratory jaw crusher. The objectives of the experiment were to determine the screen analysis of products from a jaw crusher, construct plots of mass fraction and particle size, and estimate the crushing. •. Jaw Crusher Lab Experiment.
From www.mining-lab.com
Laboratory Jaw Crusher Laboratory Jaw Breaker Laboratory Jaw Jaw Crusher Lab Experiment [1] study the parts of the jaw crusher and their functions; • familiarize yourself with all labs procedure before doing lab experiments • bring your lab notebook and an open mind to every lab • be. The objectives of the experiment were to determine the screen analysis of products from a jaw crusher, construct plots of mass fraction and particle. Jaw Crusher Lab Experiment.
From www.lab-mills.com
Lab Jaw Crusher Jaw Crusher Lab Experiment [1] study the parts of the jaw crusher and their functions; The document describes an experiment to test a laboratory jaw crusher. • familiarize yourself with all labs procedure before doing lab experiments • bring your lab notebook and an open mind to every lab • be. • start the jaw crusher and find the power consumption under no load. Jaw Crusher Lab Experiment.
From www.xrfscientific.com
Orbis Laboratory Jaw Crushers XRF Jaw Crusher Lab Experiment The document describes an experiment to test a laboratory jaw crusher. To determine the size reduction ratio of particles by conducting an experiment in a jaw crusher. This document describes an experiment conducted to determine the reduction ratio and constant values for rittinger's law, kick's law,. • start the jaw crusher and find the power consumption under no load condition. Jaw Crusher Lab Experiment.
From lavallab.com
Laboratory Jaw Crusher Pulverisette 1 Laval Lab Jaw Crusher Lab Experiment This document describes an experiment conducted to determine the reduction ratio and constant values for rittinger's law, kick's law,. This article presents results from a study on the effects of the choke feed level and the effective reduction ratio on the performance of a laboratory jaw crusher. • start the jaw crusher and find the power consumption under no load. Jaw Crusher Lab Experiment.
From www.youtube.com
PEF100*100 laboratory jaw crusher test video YouTube Jaw Crusher Lab Experiment This article presents results from a study on the effects of the choke feed level and the effective reduction ratio on the performance of a laboratory jaw crusher. • start the jaw crusher and find the power consumption under no load condition with the help of energy meter and a stop watch. The document describes an experiment to test a. Jaw Crusher Lab Experiment.
From lavallab.com
Laboratory Jaw Crusher Pulverisette 1 Lavallab Jaw Crusher Lab Experiment This article presents results from a study on the effects of the choke feed level and the effective reduction ratio on the performance of a laboratory jaw crusher. [1] study the parts of the jaw crusher and their functions; The objectives of the experiment were to determine the screen analysis of products from a jaw crusher, construct plots of mass. Jaw Crusher Lab Experiment.
From www.scilabsupplies.co.za
Lab Jaw Crusher Scilab Supplies Jaw Crusher Lab Experiment • start the jaw crusher and find the power consumption under no load condition with the help of energy meter and a stop watch. [1] study the parts of the jaw crusher and their functions; To determine the size reduction ratio of particles by conducting an experiment in a jaw crusher. The objectives of the experiment were to determine the. Jaw Crusher Lab Experiment.
From www.globalgilson.com
Laboratory Jaw Crushers Gilson Co. Jaw Crusher Lab Experiment The document describes an experiment to test a laboratory jaw crusher. This article presents results from a study on the effects of the choke feed level and the effective reduction ratio on the performance of a laboratory jaw crusher. • familiarize yourself with all labs procedure before doing lab experiments • bring your lab notebook and an open mind to. Jaw Crusher Lab Experiment.
From yinmak.com.tr
Laboratory Jaw Crusher YİNMAK Jaw Crusher Lab Experiment [1] study the parts of the jaw crusher and their functions; To determine the size reduction ratio of particles by conducting an experiment in a jaw crusher. The objectives of the experiment were to determine the screen analysis of products from a jaw crusher, construct plots of mass fraction and particle size, and estimate the crushing. • start the jaw. Jaw Crusher Lab Experiment.
From www.ascscientific.com
ASC Scientific Laboratory Jaw Crusher ASC Scientific Jaw Crusher Lab Experiment • start the jaw crusher and find the power consumption under no load condition with the help of energy meter and a stop watch. The document describes an experiment to test a laboratory jaw crusher. The objectives of the experiment were to determine the screen analysis of products from a jaw crusher, construct plots of mass fraction and particle size,. Jaw Crusher Lab Experiment.
From certifiedmtp.com
3x4in Laboratory Jaw Crusher Pulverizers and Lab Crushers and Lab Jaw Crusher Lab Experiment This article presents results from a study on the effects of the choke feed level and the effective reduction ratio on the performance of a laboratory jaw crusher. The objectives of the experiment were to determine the screen analysis of products from a jaw crusher, construct plots of mass fraction and particle size, and estimate the crushing. To determine the. Jaw Crusher Lab Experiment.
From unalmuhendislik.com
Laboratory Jaw Crusher Unal Mühendislik ve Makina Sanayi Jaw Crusher Lab Experiment [1] study the parts of the jaw crusher and their functions; This document describes an experiment conducted to determine the reduction ratio and constant values for rittinger's law, kick's law,. • familiarize yourself with all labs procedure before doing lab experiments • bring your lab notebook and an open mind to every lab • be. To determine the size reduction. Jaw Crusher Lab Experiment.
From www.axialsupplies.com
Laboratory Jaw Crusher Geological Lab Supplies Jaw Crusher Lab Experiment This article presents results from a study on the effects of the choke feed level and the effective reduction ratio on the performance of a laboratory jaw crusher. The document describes an experiment to test a laboratory jaw crusher. This document describes an experiment conducted to determine the reduction ratio and constant values for rittinger's law, kick's law,. • familiarize. Jaw Crusher Lab Experiment.
From www.researchgate.net
23. Schematic representations of Jaw crusher test [184]. Download Jaw Crusher Lab Experiment [1] study the parts of the jaw crusher and their functions; • familiarize yourself with all labs procedure before doing lab experiments • bring your lab notebook and an open mind to every lab • be. To determine the size reduction ratio of particles by conducting an experiment in a jaw crusher. The document describes an experiment to test a. Jaw Crusher Lab Experiment.
From cimonline.com.au
Lab Jaw crusher Jaw Crusher Lab Experiment This article presents results from a study on the effects of the choke feed level and the effective reduction ratio on the performance of a laboratory jaw crusher. • familiarize yourself with all labs procedure before doing lab experiments • bring your lab notebook and an open mind to every lab • be. To determine the size reduction ratio of. Jaw Crusher Lab Experiment.
From lavallab.com
Laboratory Jaw Crusher Pulverisette 1 Laval Lab Jaw Crusher Lab Experiment • start the jaw crusher and find the power consumption under no load condition with the help of energy meter and a stop watch. To determine the size reduction ratio of particles by conducting an experiment in a jaw crusher. This document describes an experiment conducted to determine the reduction ratio and constant values for rittinger's law, kick's law,. [1]. Jaw Crusher Lab Experiment.
From www.testmak.com
Laboratory Jaw Crusher Testmak Jaw Crusher Lab Experiment • familiarize yourself with all labs procedure before doing lab experiments • bring your lab notebook and an open mind to every lab • be. The objectives of the experiment were to determine the screen analysis of products from a jaw crusher, construct plots of mass fraction and particle size, and estimate the crushing. This article presents results from a. Jaw Crusher Lab Experiment.
From dir.indiamart.com
Laboratory Jaw Crusher Lab Jaw Crusher Latest Price, Manufacturers Jaw Crusher Lab Experiment To determine the size reduction ratio of particles by conducting an experiment in a jaw crusher. The objectives of the experiment were to determine the screen analysis of products from a jaw crusher, construct plots of mass fraction and particle size, and estimate the crushing. [1] study the parts of the jaw crusher and their functions; The document describes an. Jaw Crusher Lab Experiment.
From www.youtube.com
Laboratory Jaw Crusher YouTube Jaw Crusher Lab Experiment This article presents results from a study on the effects of the choke feed level and the effective reduction ratio on the performance of a laboratory jaw crusher. This document describes an experiment conducted to determine the reduction ratio and constant values for rittinger's law, kick's law,. • familiarize yourself with all labs procedure before doing lab experiments • bring. Jaw Crusher Lab Experiment.
From effectivelab.co.za
JAW CRUSHER 6" x 10" (150 x 250) Effective Lab Jaw Crusher Lab Experiment • start the jaw crusher and find the power consumption under no load condition with the help of energy meter and a stop watch. This document describes an experiment conducted to determine the reduction ratio and constant values for rittinger's law, kick's law,. To determine the size reduction ratio of particles by conducting an experiment in a jaw crusher. The. Jaw Crusher Lab Experiment.