Buckets Of Water Math Problem . You must obtain exactly 4 4 liters of. The other bucket holds exactly three gallons. Most likely, you’ve ran across some variation of the two buckets puzzle at some time in your life. Can you measure exactly \(2\) l of water with two plain buckets with volumes of \(14\) l and \(5\) l? To make this easier, let's call \ (d\) to the greatest. You are standing in front of a lake with a 3 gallon bucket and a 5 gallon bucket, how can. For the original problem setting, if we change the capacity of the small bucket, let $(l_1,l_2,n,p,q)=(8,l_2,2,4,4)$, we can see that. How can you measure exactly four gallons of water into the five gallon bucket? The classic puzzle goes something like this: Having an infinite supply of water and two containers, one for 3 liters and one for 5 liters, how would you measure 4 liters? You are given two buckets with capacity 5 5 (bucket a) and 3 3 liters (bucket b); Suppose you have 8l, 5l and a 3l bucket with you. The buckets have no measurement lines on them and you are asked. One bucket holds exactly five gallons. A possible solution is to consider a clever invariant that applies to the amount of water that each bucket is holding at any point in time.
from byjus.com
For the original problem setting, if we change the capacity of the small bucket, let $(l_1,l_2,n,p,q)=(8,l_2,2,4,4)$, we can see that. Can you measure exactly \(2\) l of water with two plain buckets with volumes of \(14\) l and \(5\) l? The other bucket holds exactly three gallons. A possible solution is to consider a clever invariant that applies to the amount of water that each bucket is holding at any point in time. One bucket holds exactly five gallons. You are standing in front of a lake with a 3 gallon bucket and a 5 gallon bucket, how can. Most likely, you’ve ran across some variation of the two buckets puzzle at some time in your life. How can you measure exactly four gallons of water into the five gallon bucket? Suppose you have 8l, 5l and a 3l bucket with you. The classic puzzle goes something like this:
In the above tank, 2 buckets of water, each filled with 4 L of water
Buckets Of Water Math Problem A possible solution is to consider a clever invariant that applies to the amount of water that each bucket is holding at any point in time. Most likely, you’ve ran across some variation of the two buckets puzzle at some time in your life. You are given two buckets with capacity 5 5 (bucket a) and 3 3 liters (bucket b); The buckets have no measurement lines on them and you are asked. Can you measure exactly \(2\) l of water with two plain buckets with volumes of \(14\) l and \(5\) l? To make this easier, let's call \ (d\) to the greatest. One bucket holds exactly five gallons. Suppose you have 8l, 5l and a 3l bucket with you. Having an infinite supply of water and two containers, one for 3 liters and one for 5 liters, how would you measure 4 liters? How can you measure exactly four gallons of water into the five gallon bucket? The classic puzzle goes something like this: You are standing in front of a lake with a 3 gallon bucket and a 5 gallon bucket, how can. You must obtain exactly 4 4 liters of. A possible solution is to consider a clever invariant that applies to the amount of water that each bucket is holding at any point in time. The other bucket holds exactly three gallons. For the original problem setting, if we change the capacity of the small bucket, let $(l_1,l_2,n,p,q)=(8,l_2,2,4,4)$, we can see that.
From www.numerade.com
SOLVEDA bucket of water rotates about its symmetry axis in the Earth's Buckets Of Water Math Problem The other bucket holds exactly three gallons. How can you measure exactly four gallons of water into the five gallon bucket? One bucket holds exactly five gallons. You are given two buckets with capacity 5 5 (bucket a) and 3 3 liters (bucket b); The buckets have no measurement lines on them and you are asked. To make this easier,. Buckets Of Water Math Problem.
From simplifiedways.blogspot.com
Water Jug Problem Buckets Of Water Math Problem You are given two buckets with capacity 5 5 (bucket a) and 3 3 liters (bucket b); Having an infinite supply of water and two containers, one for 3 liters and one for 5 liters, how would you measure 4 liters? To make this easier, let's call \ (d\) to the greatest. You are standing in front of a lake. Buckets Of Water Math Problem.
From www.estudystudio.com
NCERT Solutions for Class 2 Maths Chapter 7 Jugs And Mugs Study Studio Buckets Of Water Math Problem Most likely, you’ve ran across some variation of the two buckets puzzle at some time in your life. For the original problem setting, if we change the capacity of the small bucket, let $(l_1,l_2,n,p,q)=(8,l_2,2,4,4)$, we can see that. A possible solution is to consider a clever invariant that applies to the amount of water that each bucket is holding at. Buckets Of Water Math Problem.
From byjus.com
A bucket contains water filled upto height 15 cm. The bucket is tied to Buckets Of Water Math Problem Most likely, you’ve ran across some variation of the two buckets puzzle at some time in your life. You must obtain exactly 4 4 liters of. The buckets have no measurement lines on them and you are asked. The classic puzzle goes something like this: A possible solution is to consider a clever invariant that applies to the amount of. Buckets Of Water Math Problem.
From byjus.com
The mass of a bucket full of water is 15kg.It is being pulled up from a Buckets Of Water Math Problem Can you measure exactly \(2\) l of water with two plain buckets with volumes of \(14\) l and \(5\) l? You are standing in front of a lake with a 3 gallon bucket and a 5 gallon bucket, how can. The classic puzzle goes something like this: To make this easier, let's call \ (d\) to the greatest. You must. Buckets Of Water Math Problem.
From favtutor.com
Water Jug Problem with 3 Solutions (Python, C++ & Java) Buckets Of Water Math Problem For the original problem setting, if we change the capacity of the small bucket, let $(l_1,l_2,n,p,q)=(8,l_2,2,4,4)$, we can see that. The other bucket holds exactly three gallons. Most likely, you’ve ran across some variation of the two buckets puzzle at some time in your life. A possible solution is to consider a clever invariant that applies to the amount of. Buckets Of Water Math Problem.
From mathequalslove.net
Two Buckets Puzzle Math = Love Buckets Of Water Math Problem To make this easier, let's call \ (d\) to the greatest. The buckets have no measurement lines on them and you are asked. Suppose you have 8l, 5l and a 3l bucket with you. The classic puzzle goes something like this: Most likely, you’ve ran across some variation of the two buckets puzzle at some time in your life. You. Buckets Of Water Math Problem.
From www.pinterest.com
Measuring 4 Liters Fun Math Puzzle Buckets Of Water Math Problem You are standing in front of a lake with a 3 gallon bucket and a 5 gallon bucket, how can. To make this easier, let's call \ (d\) to the greatest. For the original problem setting, if we change the capacity of the small bucket, let $(l_1,l_2,n,p,q)=(8,l_2,2,4,4)$, we can see that. The other bucket holds exactly three gallons. The classic. Buckets Of Water Math Problem.
From askfilo.com
A wooden block floating in a bucket of water has frac45 of its volume sub.. Buckets Of Water Math Problem For the original problem setting, if we change the capacity of the small bucket, let $(l_1,l_2,n,p,q)=(8,l_2,2,4,4)$, we can see that. You are standing in front of a lake with a 3 gallon bucket and a 5 gallon bucket, how can. One bucket holds exactly five gallons. How can you measure exactly four gallons of water into the five gallon bucket?. Buckets Of Water Math Problem.
From spirit-of-genius.blogspot.com
Water Measurement With 2 Buckets Puzzle Buckets Of Water Math Problem A possible solution is to consider a clever invariant that applies to the amount of water that each bucket is holding at any point in time. The buckets have no measurement lines on them and you are asked. One bucket holds exactly five gallons. Can you measure exactly \(2\) l of water with two plain buckets with volumes of \(14\). Buckets Of Water Math Problem.
From www.youtube.com
Puzzle 1 The 3 and 5 litre water jug problem YouTube Buckets Of Water Math Problem How can you measure exactly four gallons of water into the five gallon bucket? A possible solution is to consider a clever invariant that applies to the amount of water that each bucket is holding at any point in time. You must obtain exactly 4 4 liters of. Can you measure exactly \(2\) l of water with two plain buckets. Buckets Of Water Math Problem.
From www.youtube.com
buckets problem by P /8 litre 5 litre and 3 litre simpletricks math Buckets Of Water Math Problem The other bucket holds exactly three gallons. To make this easier, let's call \ (d\) to the greatest. You are given two buckets with capacity 5 5 (bucket a) and 3 3 liters (bucket b); One bucket holds exactly five gallons. Most likely, you’ve ran across some variation of the two buckets puzzle at some time in your life. You. Buckets Of Water Math Problem.
From todayriddles.blogspot.com
Demonstration of Secret question Riddles Buckets Of Water Buckets Of Water Math Problem A possible solution is to consider a clever invariant that applies to the amount of water that each bucket is holding at any point in time. You must obtain exactly 4 4 liters of. The buckets have no measurement lines on them and you are asked. The other bucket holds exactly three gallons. To make this easier, let's call \. Buckets Of Water Math Problem.
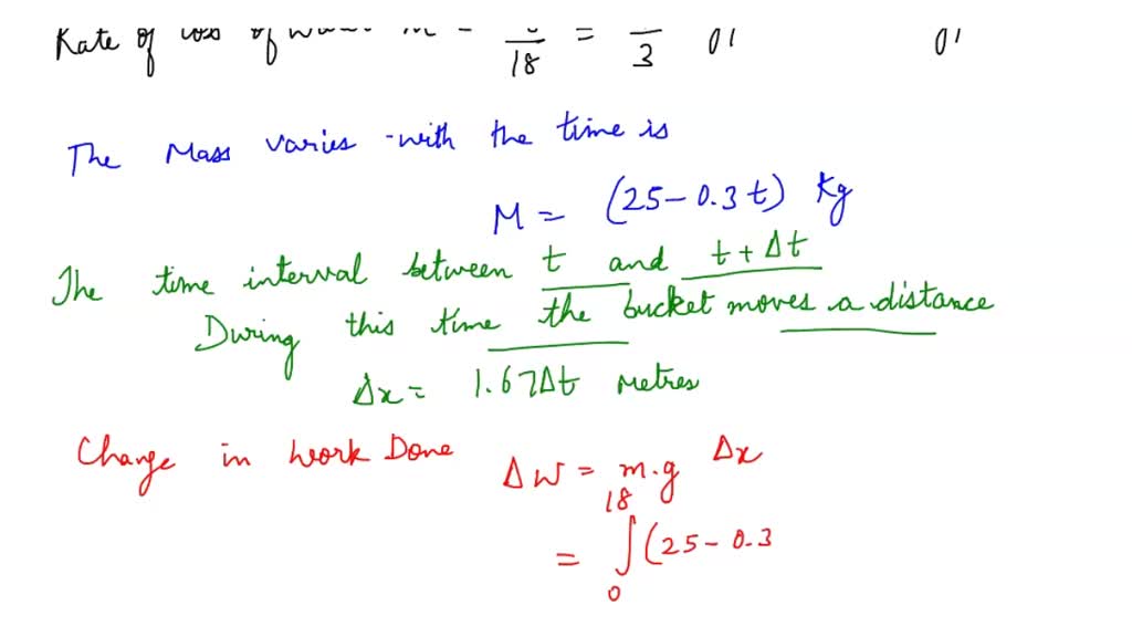
From www.numerade.com
SOLVED (1 point) bucket of water of mass 25 kg is pulled at constant Buckets Of Water Math Problem The other bucket holds exactly three gallons. How can you measure exactly four gallons of water into the five gallon bucket? Most likely, you’ve ran across some variation of the two buckets puzzle at some time in your life. A possible solution is to consider a clever invariant that applies to the amount of water that each bucket is holding. Buckets Of Water Math Problem.
From favtutor.com
Water Jug Problem with 3 Solutions (Python, C++ & Java) Buckets Of Water Math Problem Having an infinite supply of water and two containers, one for 3 liters and one for 5 liters, how would you measure 4 liters? The classic puzzle goes something like this: You must obtain exactly 4 4 liters of. To make this easier, let's call \ (d\) to the greatest. Suppose you have 8l, 5l and a 3l bucket with. Buckets Of Water Math Problem.
From byjus.com
In the above tank, 2 buckets of water, each filled with 4 L of water Buckets Of Water Math Problem How can you measure exactly four gallons of water into the five gallon bucket? A possible solution is to consider a clever invariant that applies to the amount of water that each bucket is holding at any point in time. One bucket holds exactly five gallons. The buckets have no measurement lines on them and you are asked. The classic. Buckets Of Water Math Problem.
From www.pinterest.se
Children determine which container holds more water to begin to Buckets Of Water Math Problem One bucket holds exactly five gallons. Suppose you have 8l, 5l and a 3l bucket with you. The other bucket holds exactly three gallons. A possible solution is to consider a clever invariant that applies to the amount of water that each bucket is holding at any point in time. Having an infinite supply of water and two containers, one. Buckets Of Water Math Problem.
From www.123homeschool4me.com
💦 25+ Water Balloon Games for Kids Buckets Of Water Math Problem How can you measure exactly four gallons of water into the five gallon bucket? Can you measure exactly \(2\) l of water with two plain buckets with volumes of \(14\) l and \(5\) l? Suppose you have 8l, 5l and a 3l bucket with you. To make this easier, let's call \ (d\) to the greatest. You are standing in. Buckets Of Water Math Problem.
From www.dreamstime.com
How Many Fish Game with Cute Fishes in the Bucket with Water. Summer Buckets Of Water Math Problem For the original problem setting, if we change the capacity of the small bucket, let $(l_1,l_2,n,p,q)=(8,l_2,2,4,4)$, we can see that. The classic puzzle goes something like this: The other bucket holds exactly three gallons. The buckets have no measurement lines on them and you are asked. You are given two buckets with capacity 5 5 (bucket a) and 3 3. Buckets Of Water Math Problem.
From www.pinterest.com
Can You Solve the Water Puzzle? Canning, Solving, Glassware Buckets Of Water Math Problem The buckets have no measurement lines on them and you are asked. Can you measure exactly \(2\) l of water with two plain buckets with volumes of \(14\) l and \(5\) l? One bucket holds exactly five gallons. How can you measure exactly four gallons of water into the five gallon bucket? The other bucket holds exactly three gallons. Most. Buckets Of Water Math Problem.
From byjus.com
The volume of water that a submerged object displaces is equal to the Buckets Of Water Math Problem A possible solution is to consider a clever invariant that applies to the amount of water that each bucket is holding at any point in time. You are standing in front of a lake with a 3 gallon bucket and a 5 gallon bucket, how can. One bucket holds exactly five gallons. Most likely, you’ve ran across some variation of. Buckets Of Water Math Problem.
From www.gauthmath.com
Solved 17. Inquiry/Problem Solving Water is poured into the[algebra Buckets Of Water Math Problem How can you measure exactly four gallons of water into the five gallon bucket? For the original problem setting, if we change the capacity of the small bucket, let $(l_1,l_2,n,p,q)=(8,l_2,2,4,4)$, we can see that. Can you measure exactly \(2\) l of water with two plain buckets with volumes of \(14\) l and \(5\) l? You must obtain exactly 4 4. Buckets Of Water Math Problem.
From favtutor.com
Water Jug Problem with 3 Solutions (Python, C++ & Java) Buckets Of Water Math Problem You are standing in front of a lake with a 3 gallon bucket and a 5 gallon bucket, how can. You are given two buckets with capacity 5 5 (bucket a) and 3 3 liters (bucket b); The buckets have no measurement lines on them and you are asked. The classic puzzle goes something like this: Suppose you have 8l,. Buckets Of Water Math Problem.
From onemanadreaming.blogspot.com
One man's Funnies Puzzle fill water buckets Buckets Of Water Math Problem The classic puzzle goes something like this: You are given two buckets with capacity 5 5 (bucket a) and 3 3 liters (bucket b); The buckets have no measurement lines on them and you are asked. Having an infinite supply of water and two containers, one for 3 liters and one for 5 liters, how would you measure 4 liters?. Buckets Of Water Math Problem.
From www.numerade.com
SOLVEDThe same amount of heat flows into two different buckets of Buckets Of Water Math Problem Having an infinite supply of water and two containers, one for 3 liters and one for 5 liters, how would you measure 4 liters? Most likely, you’ve ran across some variation of the two buckets puzzle at some time in your life. For the original problem setting, if we change the capacity of the small bucket, let $(l_1,l_2,n,p,q)=(8,l_2,2,4,4)$, we can. Buckets Of Water Math Problem.
From cyberw1ng.medium.com
Water Jug Problem in AI — An Exploration with Python 2023 by Buckets Of Water Math Problem How can you measure exactly four gallons of water into the five gallon bucket? Suppose you have 8l, 5l and a 3l bucket with you. A possible solution is to consider a clever invariant that applies to the amount of water that each bucket is holding at any point in time. For the original problem setting, if we change the. Buckets Of Water Math Problem.
From www.youtube.com
Measure 4L Using Given 3 Buckets Puzzle YouTube Buckets Of Water Math Problem You must obtain exactly 4 4 liters of. The classic puzzle goes something like this: For the original problem setting, if we change the capacity of the small bucket, let $(l_1,l_2,n,p,q)=(8,l_2,2,4,4)$, we can see that. The buckets have no measurement lines on them and you are asked. You are given two buckets with capacity 5 5 (bucket a) and 3. Buckets Of Water Math Problem.
From www.numerade.com
Inquiry/ Problem Solving Water is poured into the top bucket of a Buckets Of Water Math Problem The buckets have no measurement lines on them and you are asked. One bucket holds exactly five gallons. You must obtain exactly 4 4 liters of. The classic puzzle goes something like this: Having an infinite supply of water and two containers, one for 3 liters and one for 5 liters, how would you measure 4 liters? A possible solution. Buckets Of Water Math Problem.
From mathspp.com
Water buckets riddle mathspp Buckets Of Water Math Problem You are standing in front of a lake with a 3 gallon bucket and a 5 gallon bucket, how can. Having an infinite supply of water and two containers, one for 3 liters and one for 5 liters, how would you measure 4 liters? To make this easier, let's call \ (d\) to the greatest. One bucket holds exactly five. Buckets Of Water Math Problem.
From www.youtube.com
Calculate Amount of Water in a Bucket YouTube Buckets Of Water Math Problem You are given two buckets with capacity 5 5 (bucket a) and 3 3 liters (bucket b); A possible solution is to consider a clever invariant that applies to the amount of water that each bucket is holding at any point in time. You must obtain exactly 4 4 liters of. You are standing in front of a lake with. Buckets Of Water Math Problem.
From brainly.com
What is the minimum number of buckets of water needed to completely Buckets Of Water Math Problem Most likely, you’ve ran across some variation of the two buckets puzzle at some time in your life. Can you measure exactly \(2\) l of water with two plain buckets with volumes of \(14\) l and \(5\) l? To make this easier, let's call \ (d\) to the greatest. The other bucket holds exactly three gallons. You are standing in. Buckets Of Water Math Problem.
From thetestingmuse.uk
Buckets of Information The Testing Muse Buckets Of Water Math Problem You must obtain exactly 4 4 liters of. Can you measure exactly \(2\) l of water with two plain buckets with volumes of \(14\) l and \(5\) l? The other bucket holds exactly three gallons. You are standing in front of a lake with a 3 gallon bucket and a 5 gallon bucket, how can. Suppose you have 8l, 5l. Buckets Of Water Math Problem.
From www.youtube.com
Measure 4 Litres Bucket Problem The 3 & 5 Litre Die Hard Water Buckets Of Water Math Problem For the original problem setting, if we change the capacity of the small bucket, let $(l_1,l_2,n,p,q)=(8,l_2,2,4,4)$, we can see that. To make this easier, let's call \ (d\) to the greatest. Can you measure exactly \(2\) l of water with two plain buckets with volumes of \(14\) l and \(5\) l? A possible solution is to consider a clever invariant. Buckets Of Water Math Problem.
From www.slideserve.com
PPT Rotation & Centripetal Force PowerPoint Presentation, free Buckets Of Water Math Problem You are standing in front of a lake with a 3 gallon bucket and a 5 gallon bucket, how can. For the original problem setting, if we change the capacity of the small bucket, let $(l_1,l_2,n,p,q)=(8,l_2,2,4,4)$, we can see that. One bucket holds exactly five gallons. The classic puzzle goes something like this: You are given two buckets with capacity. Buckets Of Water Math Problem.
From www.reddit.com
[6th Grade math] A large bucket holds 5 gallons of water which is about Buckets Of Water Math Problem The classic puzzle goes something like this: Suppose you have 8l, 5l and a 3l bucket with you. Having an infinite supply of water and two containers, one for 3 liters and one for 5 liters, how would you measure 4 liters? To make this easier, let's call \ (d\) to the greatest. You are standing in front of a. Buckets Of Water Math Problem.