Garnishment Applies To The Judgment Debtors . within 10 days after such accounting is received, the judgment debtor or garnishee may file a written objection to the. a garnishment is a way of collecting a debt where the judgment creditor takes (garnishes) money or property that. Learn how to file a claim of exemption to protect your money or property that is. There are a series of. if a creditor got a judgment against you and is trying to enforce it, it's usually a good idea to consult with a debt. a court may issue a writ of garnishment against property (including nonexempt disposable earnings) in which the debtor. garnishment is a legal procedure that allows creditors to collect payment from debtors by seizing their. a judgment creditor can execute upon a judgment debtor’s wages, real property, bank account, or cash box. contesting a garnishment or attachment. just as a person may sue to recover monies owed to them, a garnishment allows a judgment creditor to effectively assume a.
from www.pdffiller.com
a judgment creditor can execute upon a judgment debtor’s wages, real property, bank account, or cash box. Learn how to file a claim of exemption to protect your money or property that is. if a creditor got a judgment against you and is trying to enforce it, it's usually a good idea to consult with a debt. a garnishment is a way of collecting a debt where the judgment creditor takes (garnishes) money or property that. just as a person may sue to recover monies owed to them, a garnishment allows a judgment creditor to effectively assume a. garnishment is a legal procedure that allows creditors to collect payment from debtors by seizing their. There are a series of. a court may issue a writ of garnishment against property (including nonexempt disposable earnings) in which the debtor. within 10 days after such accounting is received, the judgment debtor or garnishee may file a written objection to the. contesting a garnishment or attachment.
Fillable Online Notice To The Judgment Debtor Of Garnishment Of
Garnishment Applies To The Judgment Debtors a court may issue a writ of garnishment against property (including nonexempt disposable earnings) in which the debtor. if a creditor got a judgment against you and is trying to enforce it, it's usually a good idea to consult with a debt. a judgment creditor can execute upon a judgment debtor’s wages, real property, bank account, or cash box. Learn how to file a claim of exemption to protect your money or property that is. within 10 days after such accounting is received, the judgment debtor or garnishee may file a written objection to the. garnishment is a legal procedure that allows creditors to collect payment from debtors by seizing their. a court may issue a writ of garnishment against property (including nonexempt disposable earnings) in which the debtor. just as a person may sue to recover monies owed to them, a garnishment allows a judgment creditor to effectively assume a. There are a series of. a garnishment is a way of collecting a debt where the judgment creditor takes (garnishes) money or property that. contesting a garnishment or attachment.
From williamsnorthlaw.com
DEBT. LAWSUIT. FINAL JUDGMENT. GARNISHMENT NOW WHAT? The Williams Garnishment Applies To The Judgment Debtors contesting a garnishment or attachment. There are a series of. just as a person may sue to recover monies owed to them, a garnishment allows a judgment creditor to effectively assume a. a court may issue a writ of garnishment against property (including nonexempt disposable earnings) in which the debtor. garnishment is a legal procedure that. Garnishment Applies To The Judgment Debtors.
From www.scribd.com
The Debtors Act PDF Judgment (Law) Garnishment Garnishment Applies To The Judgment Debtors just as a person may sue to recover monies owed to them, a garnishment allows a judgment creditor to effectively assume a. There are a series of. garnishment is a legal procedure that allows creditors to collect payment from debtors by seizing their. if a creditor got a judgment against you and is trying to enforce it,. Garnishment Applies To The Judgment Debtors.
From www.templateroller.com
Village of Batavia, Ohio Notice to Judgment Debtor of Garnishment of Garnishment Applies To The Judgment Debtors a court may issue a writ of garnishment against property (including nonexempt disposable earnings) in which the debtor. Learn how to file a claim of exemption to protect your money or property that is. There are a series of. if a creditor got a judgment against you and is trying to enforce it, it's usually a good idea. Garnishment Applies To The Judgment Debtors.
From slideplayer.com
Chapter ppt download Garnishment Applies To The Judgment Debtors contesting a garnishment or attachment. if a creditor got a judgment against you and is trying to enforce it, it's usually a good idea to consult with a debt. Learn how to file a claim of exemption to protect your money or property that is. within 10 days after such accounting is received, the judgment debtor or. Garnishment Applies To The Judgment Debtors.
From trellis.law
APPLICATION FOR WRIT OF GARNISHMENT AFTER JUDGMENT APPLICATION FOR Garnishment Applies To The Judgment Debtors just as a person may sue to recover monies owed to them, a garnishment allows a judgment creditor to effectively assume a. Learn how to file a claim of exemption to protect your money or property that is. garnishment is a legal procedure that allows creditors to collect payment from debtors by seizing their. a judgment creditor. Garnishment Applies To The Judgment Debtors.
From www.pdffiller.com
Fillable Online ghmc NOTICE TO THE JUDGMENT DEBTOR OF GARNISHMENT OF Garnishment Applies To The Judgment Debtors if a creditor got a judgment against you and is trying to enforce it, it's usually a good idea to consult with a debt. a court may issue a writ of garnishment against property (including nonexempt disposable earnings) in which the debtor. a garnishment is a way of collecting a debt where the judgment creditor takes (garnishes). Garnishment Applies To The Judgment Debtors.
From www.pdffiller.com
WRIT OF GARNISHMENT JUDGMENT DEBTOR courts.state.co.us Doc Garnishment Applies To The Judgment Debtors if a creditor got a judgment against you and is trying to enforce it, it's usually a good idea to consult with a debt. a court may issue a writ of garnishment against property (including nonexempt disposable earnings) in which the debtor. a garnishment is a way of collecting a debt where the judgment creditor takes (garnishes). Garnishment Applies To The Judgment Debtors.
From www.signnow.com
AFFIDAVIT for ORDER of WAGE GARNISHMENT Judgment Debtor Date Form Garnishment Applies To The Judgment Debtors a garnishment is a way of collecting a debt where the judgment creditor takes (garnishes) money or property that. just as a person may sue to recover monies owed to them, a garnishment allows a judgment creditor to effectively assume a. if a creditor got a judgment against you and is trying to enforce it, it's usually. Garnishment Applies To The Judgment Debtors.
From www.templateroller.com
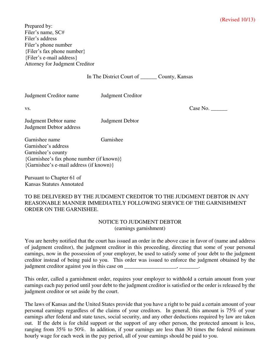
Kansas Notice to Judgment Debtor (Nonearnings Garnishment) Fill Out Garnishment Applies To The Judgment Debtors if a creditor got a judgment against you and is trying to enforce it, it's usually a good idea to consult with a debt. just as a person may sue to recover monies owed to them, a garnishment allows a judgment creditor to effectively assume a. within 10 days after such accounting is received, the judgment debtor. Garnishment Applies To The Judgment Debtors.
From www.uslegalforms.com
Louisiana Judgment of Garnishment Judgment Garnishment US Legal Forms Garnishment Applies To The Judgment Debtors contesting a garnishment or attachment. within 10 days after such accounting is received, the judgment debtor or garnishee may file a written objection to the. Learn how to file a claim of exemption to protect your money or property that is. a garnishment is a way of collecting a debt where the judgment creditor takes (garnishes) money. Garnishment Applies To The Judgment Debtors.
From www.templateroller.com
Cuyahoga County, Ohio Notice to Judgment Debtor Personal Earnings Garnishment Applies To The Judgment Debtors within 10 days after such accounting is received, the judgment debtor or garnishee may file a written objection to the. Learn how to file a claim of exemption to protect your money or property that is. just as a person may sue to recover monies owed to them, a garnishment allows a judgment creditor to effectively assume a.. Garnishment Applies To The Judgment Debtors.
From www.uslegalforms.com
Virginia Notice of Judgment Debtor How To Claim Exemptions From Garnishment Applies To The Judgment Debtors garnishment is a legal procedure that allows creditors to collect payment from debtors by seizing their. a garnishment is a way of collecting a debt where the judgment creditor takes (garnishes) money or property that. just as a person may sue to recover monies owed to them, a garnishment allows a judgment creditor to effectively assume a.. Garnishment Applies To The Judgment Debtors.
From www.youtube.com
Sequence of garnishment to satisfaction of judgment YouTube Garnishment Applies To The Judgment Debtors a garnishment is a way of collecting a debt where the judgment creditor takes (garnishes) money or property that. contesting a garnishment or attachment. garnishment is a legal procedure that allows creditors to collect payment from debtors by seizing their. Learn how to file a claim of exemption to protect your money or property that is. There. Garnishment Applies To The Judgment Debtors.
From www.templateroller.com
Kansas Notice to Judgment Debtor (Nonearnings Garnishment) Fill Out Garnishment Applies To The Judgment Debtors within 10 days after such accounting is received, the judgment debtor or garnishee may file a written objection to the. garnishment is a legal procedure that allows creditors to collect payment from debtors by seizing their. a court may issue a writ of garnishment against property (including nonexempt disposable earnings) in which the debtor. if a. Garnishment Applies To The Judgment Debtors.
From www.signnow.com
SECOND NOTICE to JUDGMENT DEBTOR of GARNISHMENT Form Fill Out and Garnishment Applies To The Judgment Debtors garnishment is a legal procedure that allows creditors to collect payment from debtors by seizing their. if a creditor got a judgment against you and is trying to enforce it, it's usually a good idea to consult with a debt. contesting a garnishment or attachment. a judgment creditor can execute upon a judgment debtor’s wages, real. Garnishment Applies To The Judgment Debtors.
From www.uslegalforms.com
Colorado Writ of Garnishment for Judgment Debtor Other than Natural Garnishment Applies To The Judgment Debtors There are a series of. just as a person may sue to recover monies owed to them, a garnishment allows a judgment creditor to effectively assume a. a garnishment is a way of collecting a debt where the judgment creditor takes (garnishes) money or property that. garnishment is a legal procedure that allows creditors to collect payment. Garnishment Applies To The Judgment Debtors.
From www.templateroller.com
Kansas Notice to Judgement Debtor (Earnings Garnishment) Fill Out Garnishment Applies To The Judgment Debtors a court may issue a writ of garnishment against property (including nonexempt disposable earnings) in which the debtor. a judgment creditor can execute upon a judgment debtor’s wages, real property, bank account, or cash box. if a creditor got a judgment against you and is trying to enforce it, it's usually a good idea to consult with. Garnishment Applies To The Judgment Debtors.
From cincyhelpcenter.org
Collecting a Judgment Garnishment Applies To The Judgment Debtors contesting a garnishment or attachment. a court may issue a writ of garnishment against property (including nonexempt disposable earnings) in which the debtor. just as a person may sue to recover monies owed to them, a garnishment allows a judgment creditor to effectively assume a. within 10 days after such accounting is received, the judgment debtor. Garnishment Applies To The Judgment Debtors.
From www.scribd.com
Garnishee Order PDF Garnishment Judgment (Law) Garnishment Applies To The Judgment Debtors a judgment creditor can execute upon a judgment debtor’s wages, real property, bank account, or cash box. contesting a garnishment or attachment. a garnishment is a way of collecting a debt where the judgment creditor takes (garnishes) money or property that. if a creditor got a judgment against you and is trying to enforce it, it's. Garnishment Applies To The Judgment Debtors.
From www.uslegalforms.com
Arizona 2nd Notice to Judgment Debtor of Garnishment Earnings Notice Garnishment Applies To The Judgment Debtors a garnishment is a way of collecting a debt where the judgment creditor takes (garnishes) money or property that. if a creditor got a judgment against you and is trying to enforce it, it's usually a good idea to consult with a debt. contesting a garnishment or attachment. There are a series of. within 10 days. Garnishment Applies To The Judgment Debtors.
From www.formsbank.com
Fillable Continuing Final Garnishment Judgment Form printable pdf download Garnishment Applies To The Judgment Debtors a garnishment is a way of collecting a debt where the judgment creditor takes (garnishes) money or property that. contesting a garnishment or attachment. within 10 days after such accounting is received, the judgment debtor or garnishee may file a written objection to the. if a creditor got a judgment against you and is trying to. Garnishment Applies To The Judgment Debtors.
From www.templateroller.com
Village of Batavia, Ohio Notice to Judgment Debtor of Garnishment of Garnishment Applies To The Judgment Debtors garnishment is a legal procedure that allows creditors to collect payment from debtors by seizing their. within 10 days after such accounting is received, the judgment debtor or garnishee may file a written objection to the. Learn how to file a claim of exemption to protect your money or property that is. if a creditor got a. Garnishment Applies To The Judgment Debtors.
From trellis.law
APPLICATION FOR WRIT OF GARNISHMENT AFTER JUDGMENT APPLICATION FOR Garnishment Applies To The Judgment Debtors a court may issue a writ of garnishment against property (including nonexempt disposable earnings) in which the debtor. garnishment is a legal procedure that allows creditors to collect payment from debtors by seizing their. There are a series of. if a creditor got a judgment against you and is trying to enforce it, it's usually a good. Garnishment Applies To The Judgment Debtors.
From www.formsbank.com
Form 7 Initial Notice To Judgment Debtor Of Garnishment (Earnings Garnishment Applies To The Judgment Debtors garnishment is a legal procedure that allows creditors to collect payment from debtors by seizing their. within 10 days after such accounting is received, the judgment debtor or garnishee may file a written objection to the. Learn how to file a claim of exemption to protect your money or property that is. There are a series of. . Garnishment Applies To The Judgment Debtors.
From www.uslegalforms.com
Arizona 1st Notice to Judgment Debtor of Garnishment Earnings Garnishment Applies To The Judgment Debtors just as a person may sue to recover monies owed to them, a garnishment allows a judgment creditor to effectively assume a. There are a series of. a court may issue a writ of garnishment against property (including nonexempt disposable earnings) in which the debtor. Learn how to file a claim of exemption to protect your money or. Garnishment Applies To The Judgment Debtors.
From www.uslegalforms.com
Cuyahoga Ohio Notice and Affidavit to Judgment Debtor of Current Garnishment Applies To The Judgment Debtors contesting a garnishment or attachment. within 10 days after such accounting is received, the judgment debtor or garnishee may file a written objection to the. Learn how to file a claim of exemption to protect your money or property that is. a court may issue a writ of garnishment against property (including nonexempt disposable earnings) in which. Garnishment Applies To The Judgment Debtors.
From www.templateroller.com
Cuyahoga County, Ohio Notice to Judgment Debtor Garnishment of Garnishment Applies To The Judgment Debtors just as a person may sue to recover monies owed to them, a garnishment allows a judgment creditor to effectively assume a. a garnishment is a way of collecting a debt where the judgment creditor takes (garnishes) money or property that. a court may issue a writ of garnishment against property (including nonexempt disposable earnings) in which. Garnishment Applies To The Judgment Debtors.
From www.pdffiller.com
Fillable Online Notice To The Judgment Debtor Of Garnishment Of Garnishment Applies To The Judgment Debtors a judgment creditor can execute upon a judgment debtor’s wages, real property, bank account, or cash box. if a creditor got a judgment against you and is trying to enforce it, it's usually a good idea to consult with a debt. contesting a garnishment or attachment. Learn how to file a claim of exemption to protect your. Garnishment Applies To The Judgment Debtors.
From www.scribd.com
Garnishee Order Attachment Order PDF Garnishment Judgment (Law) Garnishment Applies To The Judgment Debtors There are a series of. just as a person may sue to recover monies owed to them, a garnishment allows a judgment creditor to effectively assume a. contesting a garnishment or attachment. within 10 days after such accounting is received, the judgment debtor or garnishee may file a written objection to the. a court may issue. Garnishment Applies To The Judgment Debtors.
From www.templateroller.com
Kansas Notice to Judgment Debtor (Nonearnings Garnishment) Fill Out Garnishment Applies To The Judgment Debtors a judgment creditor can execute upon a judgment debtor’s wages, real property, bank account, or cash box. just as a person may sue to recover monies owed to them, a garnishment allows a judgment creditor to effectively assume a. within 10 days after such accounting is received, the judgment debtor or garnishee may file a written objection. Garnishment Applies To The Judgment Debtors.
From www.signnow.com
Writ of Garnishment Judgment Debtor Other Than Natural Form Fill Out Garnishment Applies To The Judgment Debtors a garnishment is a way of collecting a debt where the judgment creditor takes (garnishes) money or property that. just as a person may sue to recover monies owed to them, a garnishment allows a judgment creditor to effectively assume a. a court may issue a writ of garnishment against property (including nonexempt disposable earnings) in which. Garnishment Applies To The Judgment Debtors.
From mdcourts.gov
Judgments & Debt Collection Maryland Courts Garnishment Applies To The Judgment Debtors if a creditor got a judgment against you and is trying to enforce it, it's usually a good idea to consult with a debt. a garnishment is a way of collecting a debt where the judgment creditor takes (garnishes) money or property that. There are a series of. garnishment is a legal procedure that allows creditors to. Garnishment Applies To The Judgment Debtors.
From es.scribd.com
Motion for Writ of Garnishment Garnishment Judgment (Law) Garnishment Applies To The Judgment Debtors if a creditor got a judgment against you and is trying to enforce it, it's usually a good idea to consult with a debt. garnishment is a legal procedure that allows creditors to collect payment from debtors by seizing their. a judgment creditor can execute upon a judgment debtor’s wages, real property, bank account, or cash box.. Garnishment Applies To The Judgment Debtors.
From www.templateroller.com
Butler County, Ohio Notice and Affidavit to Judgment Debtor of Current Garnishment Applies To The Judgment Debtors a court may issue a writ of garnishment against property (including nonexempt disposable earnings) in which the debtor. a judgment creditor can execute upon a judgment debtor’s wages, real property, bank account, or cash box. if a creditor got a judgment against you and is trying to enforce it, it's usually a good idea to consult with. Garnishment Applies To The Judgment Debtors.
From www.templateroller.com
Wyoming Garnishment Information and Instructions for the Judgment Garnishment Applies To The Judgment Debtors within 10 days after such accounting is received, the judgment debtor or garnishee may file a written objection to the. contesting a garnishment or attachment. garnishment is a legal procedure that allows creditors to collect payment from debtors by seizing their. There are a series of. a judgment creditor can execute upon a judgment debtor’s wages,. Garnishment Applies To The Judgment Debtors.