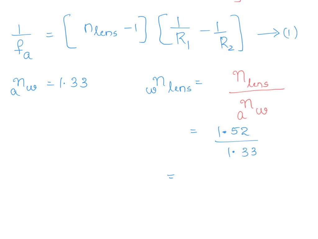
Focal Length Of A Lens In Water . the focal length of a lens is very much affected when immersed in water. the focal length of a lens changes when the optical medium changes because focal length of any lens depends on the. What is the focal length lens when it is immersed. The reason is that the angle of refraction is. If the lens is set to focus at a certain. How is the focus different? a convex glass lens (μ g = 1.5) has a focal length of 8 cm when placed in air. a lens focuses at different distances in air than underwater. what happens to the focal length of a converging lens when it is placed under water? the index of refraction of the lens will remain the same (the medium remains the same, whether in a vacuum, in air, immersed in. the focal distance of a lens submerged in water can be calculated using the lens maker's formula, which takes into.
from courses.lumenlearning.com
a lens focuses at different distances in air than underwater. the focal length of a lens is very much affected when immersed in water. the focal distance of a lens submerged in water can be calculated using the lens maker's formula, which takes into. a convex glass lens (μ g = 1.5) has a focal length of 8 cm when placed in air. How is the focus different? The reason is that the angle of refraction is. the index of refraction of the lens will remain the same (the medium remains the same, whether in a vacuum, in air, immersed in. What is the focal length lens when it is immersed. If the lens is set to focus at a certain. what happens to the focal length of a converging lens when it is placed under water?
Image Formation by Lenses Physics
Focal Length Of A Lens In Water What is the focal length lens when it is immersed. the focal length of a lens changes when the optical medium changes because focal length of any lens depends on the. a convex glass lens (μ g = 1.5) has a focal length of 8 cm when placed in air. How is the focus different? the index of refraction of the lens will remain the same (the medium remains the same, whether in a vacuum, in air, immersed in. a lens focuses at different distances in air than underwater. If the lens is set to focus at a certain. the focal length of a lens is very much affected when immersed in water. The reason is that the angle of refraction is. What is the focal length lens when it is immersed. what happens to the focal length of a converging lens when it is placed under water? the focal distance of a lens submerged in water can be calculated using the lens maker's formula, which takes into.
From www.nikonusa.com
Focal Length Understanding Camera Zoom & Lens Focal Length Nikon Focal Length Of A Lens In Water How is the focus different? The reason is that the angle of refraction is. the focal length of a lens is very much affected when immersed in water. the focal length of a lens changes when the optical medium changes because focal length of any lens depends on the. a convex glass lens (μ g = 1.5). Focal Length Of A Lens In Water.
From scene.sonyanz.com
Best Lenses for Landscape Photography Scene Focal Length Of A Lens In Water The reason is that the angle of refraction is. the index of refraction of the lens will remain the same (the medium remains the same, whether in a vacuum, in air, immersed in. the focal length of a lens is very much affected when immersed in water. If the lens is set to focus at a certain. . Focal Length Of A Lens In Water.
From capturetheatlas.com
What is Focal Length in Photography? Focal Length Explained Focal Length Of A Lens In Water what happens to the focal length of a converging lens when it is placed under water? the focal length of a lens is very much affected when immersed in water. How is the focus different? a convex glass lens (μ g = 1.5) has a focal length of 8 cm when placed in air. the index. Focal Length Of A Lens In Water.
From www.vedantu.com
The value of the focal length of the lens is equal to the value of the Focal Length Of A Lens In Water the index of refraction of the lens will remain the same (the medium remains the same, whether in a vacuum, in air, immersed in. a lens focuses at different distances in air than underwater. what happens to the focal length of a converging lens when it is placed under water? the focal length of a lens. Focal Length Of A Lens In Water.
From spmscience.blog.onlinetuition.com.my
Formation of Images by Lenses (Structured Questions) SPM Science Focal Length Of A Lens In Water a lens focuses at different distances in air than underwater. How is the focus different? the focal length of a lens changes when the optical medium changes because focal length of any lens depends on the. What is the focal length lens when it is immersed. If the lens is set to focus at a certain. the. Focal Length Of A Lens In Water.
From courses.lumenlearning.com
Image Formation by Lenses Physics Focal Length Of A Lens In Water what happens to the focal length of a converging lens when it is placed under water? If the lens is set to focus at a certain. The reason is that the angle of refraction is. the index of refraction of the lens will remain the same (the medium remains the same, whether in a vacuum, in air, immersed. Focal Length Of A Lens In Water.
From diagramdataconfusion.z22.web.core.windows.net
Optics Ray Diagrams Focal Length Of A Lens In Water The reason is that the angle of refraction is. a convex glass lens (μ g = 1.5) has a focal length of 8 cm when placed in air. a lens focuses at different distances in air than underwater. the focal length of a lens is very much affected when immersed in water. what happens to the. Focal Length Of A Lens In Water.
From www.shanghai-optics.com
Focal Length and Applications of Lenses Focal Length Of A Lens In Water the focal length of a lens changes when the optical medium changes because focal length of any lens depends on the. How is the focus different? If the lens is set to focus at a certain. a lens focuses at different distances in air than underwater. What is the focal length lens when it is immersed. The reason. Focal Length Of A Lens In Water.
From www.toppr.com
A glass lens has a focal length 5 cm in air. In water its focal length Focal Length Of A Lens In Water the focal length of a lens is very much affected when immersed in water. the index of refraction of the lens will remain the same (the medium remains the same, whether in a vacuum, in air, immersed in. How is the focus different? the focal length of a lens changes when the optical medium changes because focal. Focal Length Of A Lens In Water.
From www.youtube.com
Defining focal length YouTube Focal Length Of A Lens In Water the index of refraction of the lens will remain the same (the medium remains the same, whether in a vacuum, in air, immersed in. the focal length of a lens changes when the optical medium changes because focal length of any lens depends on the. the focal length of a lens is very much affected when immersed. Focal Length Of A Lens In Water.
From www.numerade.com
SOLVED Calculate the focal length of a lens in water, given that the Focal Length Of A Lens In Water What is the focal length lens when it is immersed. How is the focus different? the focal length of a lens is very much affected when immersed in water. The reason is that the angle of refraction is. a lens focuses at different distances in air than underwater. the index of refraction of the lens will remain. Focal Length Of A Lens In Water.
From dxovleibe.blob.core.windows.net
Camera Lens Focal Length Diagram at Chris Black blog Focal Length Of A Lens In Water what happens to the focal length of a converging lens when it is placed under water? the index of refraction of the lens will remain the same (the medium remains the same, whether in a vacuum, in air, immersed in. If the lens is set to focus at a certain. the focal distance of a lens submerged. Focal Length Of A Lens In Water.
From www.youtube.com
Determination of the focal length of a concave mirror and a convex lens Focal Length Of A Lens In Water the index of refraction of the lens will remain the same (the medium remains the same, whether in a vacuum, in air, immersed in. what happens to the focal length of a converging lens when it is placed under water? How is the focus different? a lens focuses at different distances in air than underwater. The reason. Focal Length Of A Lens In Water.
From cameraharmony.com
Focal Length Explained A Beginner’s Guide Camera Harmony Focal Length Of A Lens In Water the focal length of a lens is very much affected when immersed in water. What is the focal length lens when it is immersed. the focal distance of a lens submerged in water can be calculated using the lens maker's formula, which takes into. The reason is that the angle of refraction is. How is the focus different?. Focal Length Of A Lens In Water.
From www.numerade.com
Calculate the focal length of a lens in water, given that the index of Focal Length Of A Lens In Water the focal length of a lens is very much affected when immersed in water. How is the focus different? the focal distance of a lens submerged in water can be calculated using the lens maker's formula, which takes into. The reason is that the angle of refraction is. What is the focal length lens when it is immersed.. Focal Length Of A Lens In Water.
From www.slideserve.com
PPT CHAPTER17 Light and Image Formation PowerPoint Presentation Focal Length Of A Lens In Water the focal distance of a lens submerged in water can be calculated using the lens maker's formula, which takes into. The reason is that the angle of refraction is. If the lens is set to focus at a certain. what happens to the focal length of a converging lens when it is placed under water? a lens. Focal Length Of A Lens In Water.
From www.youtube.com
10th SCIENCE Practical Determination Of Focal Length Of A Convex Lens Focal Length Of A Lens In Water the index of refraction of the lens will remain the same (the medium remains the same, whether in a vacuum, in air, immersed in. the focal length of a lens is very much affected when immersed in water. The reason is that the angle of refraction is. a lens focuses at different distances in air than underwater.. Focal Length Of A Lens In Water.
From www.youtube.com
Lenses Lab activity to show the focal length of a lens depends on its Focal Length Of A Lens In Water the focal length of a lens is very much affected when immersed in water. the index of refraction of the lens will remain the same (the medium remains the same, whether in a vacuum, in air, immersed in. the focal length of a lens changes when the optical medium changes because focal length of any lens depends. Focal Length Of A Lens In Water.
From www.youtube.com
Refractive index of liquid by using convex lens Physics practical Focal Length Of A Lens In Water The reason is that the angle of refraction is. what happens to the focal length of a converging lens when it is placed under water? the focal distance of a lens submerged in water can be calculated using the lens maker's formula, which takes into. the focal length of a lens is very much affected when immersed. Focal Length Of A Lens In Water.
From www.doubtnut.com
Calculate the focal length of the lens shown in the figure. Focal Length Of A Lens In Water a lens focuses at different distances in air than underwater. How is the focus different? a convex glass lens (μ g = 1.5) has a focal length of 8 cm when placed in air. If the lens is set to focus at a certain. the index of refraction of the lens will remain the same (the medium. Focal Length Of A Lens In Water.
From cameraharmony.com
Focal Length Explained A Beginner’s Guide Camera Harmony Focal Length Of A Lens In Water The reason is that the angle of refraction is. the index of refraction of the lens will remain the same (the medium remains the same, whether in a vacuum, in air, immersed in. the focal length of a lens is very much affected when immersed in water. a convex glass lens (μ g = 1.5) has a. Focal Length Of A Lens In Water.
From www.scienceabc.com
How Do Binoculars Work? » ScienceABC Focal Length Of A Lens In Water a lens focuses at different distances in air than underwater. a convex glass lens (μ g = 1.5) has a focal length of 8 cm when placed in air. the index of refraction of the lens will remain the same (the medium remains the same, whether in a vacuum, in air, immersed in. If the lens is. Focal Length Of A Lens In Water.
From orah.co
What Is Focal Length In Photography? (Easy Guide) Orah Co Focal Length Of A Lens In Water what happens to the focal length of a converging lens when it is placed under water? the focal length of a lens is very much affected when immersed in water. What is the focal length lens when it is immersed. a convex glass lens (μ g = 1.5) has a focal length of 8 cm when placed. Focal Length Of A Lens In Water.
From mammothmemory.net
Concave lens Principal focal length Focal Length Of A Lens In Water The reason is that the angle of refraction is. If the lens is set to focus at a certain. How is the focus different? the index of refraction of the lens will remain the same (the medium remains the same, whether in a vacuum, in air, immersed in. the focal distance of a lens submerged in water can. Focal Length Of A Lens In Water.
From dxoncnjrk.blob.core.windows.net
What Is Focal Length Of A Lens at Mike Landis blog Focal Length Of A Lens In Water the focal length of a lens changes when the optical medium changes because focal length of any lens depends on the. The reason is that the angle of refraction is. the focal length of a lens is very much affected when immersed in water. How is the focus different? the index of refraction of the lens will. Focal Length Of A Lens In Water.
From www.youtube.com
Focal length of convex lens in Water YouTube Focal Length Of A Lens In Water the focal distance of a lens submerged in water can be calculated using the lens maker's formula, which takes into. If the lens is set to focus at a certain. a lens focuses at different distances in air than underwater. How is the focus different? what happens to the focal length of a converging lens when it. Focal Length Of A Lens In Water.
From thelostcontacts.com
The Optics of Vision Lesson 3 Lens Power The Lost Contacts Focal Length Of A Lens In Water How is the focus different? the index of refraction of the lens will remain the same (the medium remains the same, whether in a vacuum, in air, immersed in. a convex glass lens (μ g = 1.5) has a focal length of 8 cm when placed in air. If the lens is set to focus at a certain.. Focal Length Of A Lens In Water.
From www.teachoo.com
Lens Formula and Magnification Formula with Numericals Class 10 Focal Length Of A Lens In Water the index of refraction of the lens will remain the same (the medium remains the same, whether in a vacuum, in air, immersed in. If the lens is set to focus at a certain. What is the focal length lens when it is immersed. the focal length of a lens is very much affected when immersed in water.. Focal Length Of A Lens In Water.
From www.e-consystems.com
Field of view vs focal length everything you need to know econ Systems Focal Length Of A Lens In Water the focal length of a lens changes when the optical medium changes because focal length of any lens depends on the. The reason is that the angle of refraction is. the index of refraction of the lens will remain the same (the medium remains the same, whether in a vacuum, in air, immersed in. How is the focus. Focal Length Of A Lens In Water.
From www.edbod.com
11. To Find The Focal Length of A Convex Lens by Plotting Graphs Focal Length Of A Lens In Water If the lens is set to focus at a certain. what happens to the focal length of a converging lens when it is placed under water? the focal length of a lens changes when the optical medium changes because focal length of any lens depends on the. a convex glass lens (μ g = 1.5) has a. Focal Length Of A Lens In Water.
From byjus.com
What will happen to the focal lenght of a lens if it is placed in water Focal Length Of A Lens In Water If the lens is set to focus at a certain. the focal distance of a lens submerged in water can be calculated using the lens maker's formula, which takes into. How is the focus different? the index of refraction of the lens will remain the same (the medium remains the same, whether in a vacuum, in air, immersed. Focal Length Of A Lens In Water.
From www.pixelsham.com
Photography basics Focal length reference charts pIXELsHAM Focal Length Of A Lens In Water a convex glass lens (μ g = 1.5) has a focal length of 8 cm when placed in air. What is the focal length lens when it is immersed. a lens focuses at different distances in air than underwater. the focal distance of a lens submerged in water can be calculated using the lens maker's formula, which. Focal Length Of A Lens In Water.
From mammothmemory.net
Practical ways ways to find the principal focal length len Focal Length Of A Lens In Water How is the focus different? the index of refraction of the lens will remain the same (the medium remains the same, whether in a vacuum, in air, immersed in. a lens focuses at different distances in air than underwater. The reason is that the angle of refraction is. what happens to the focal length of a converging. Focal Length Of A Lens In Water.
From photographylife.com
Telephoto Lens Focal Length Comparison Photography Life Focal Length Of A Lens In Water a lens focuses at different distances in air than underwater. the focal length of a lens changes when the optical medium changes because focal length of any lens depends on the. what happens to the focal length of a converging lens when it is placed under water? the focal length of a lens is very much. Focal Length Of A Lens In Water.
From www.youtube.com
Definitions Principle Focus and Focal length of a spherical lens Focal Length Of A Lens In Water The reason is that the angle of refraction is. what happens to the focal length of a converging lens when it is placed under water? If the lens is set to focus at a certain. the index of refraction of the lens will remain the same (the medium remains the same, whether in a vacuum, in air, immersed. Focal Length Of A Lens In Water.