Cost Of Producing Microwave . Select the correct answer below: But for distributors, understanding the factors behind a microwave’s manufacturing cost is crucial for selecting the right suppliers. At a production level of. At a production level of 150, the total costs are increasing at the rate of $25 per week. This study analyses the costs and benefits for implementing microwave systems and presents results for economic parameters used in cost calculations. Because manufacturing costs rendered them too expensive for most consumers, these early ovens were used primarily by hospitals and hotels that could more easily afford the $3,000. We present historical data for the cumulative production and price of microwave ovens and construct a learning curve for.
from www.homeadvisor.com
But for distributors, understanding the factors behind a microwave’s manufacturing cost is crucial for selecting the right suppliers. Because manufacturing costs rendered them too expensive for most consumers, these early ovens were used primarily by hospitals and hotels that could more easily afford the $3,000. This study analyses the costs and benefits for implementing microwave systems and presents results for economic parameters used in cost calculations. We present historical data for the cumulative production and price of microwave ovens and construct a learning curve for. At a production level of. Select the correct answer below: At a production level of 150, the total costs are increasing at the rate of $25 per week.
Microwave Installation Cost How Much for an OverRange or BuiltIn Microwave?
Cost Of Producing Microwave We present historical data for the cumulative production and price of microwave ovens and construct a learning curve for. We present historical data for the cumulative production and price of microwave ovens and construct a learning curve for. At a production level of 150, the total costs are increasing at the rate of $25 per week. At a production level of. This study analyses the costs and benefits for implementing microwave systems and presents results for economic parameters used in cost calculations. Because manufacturing costs rendered them too expensive for most consumers, these early ovens were used primarily by hospitals and hotels that could more easily afford the $3,000. Select the correct answer below: But for distributors, understanding the factors behind a microwave’s manufacturing cost is crucial for selecting the right suppliers.
From www.chegg.com
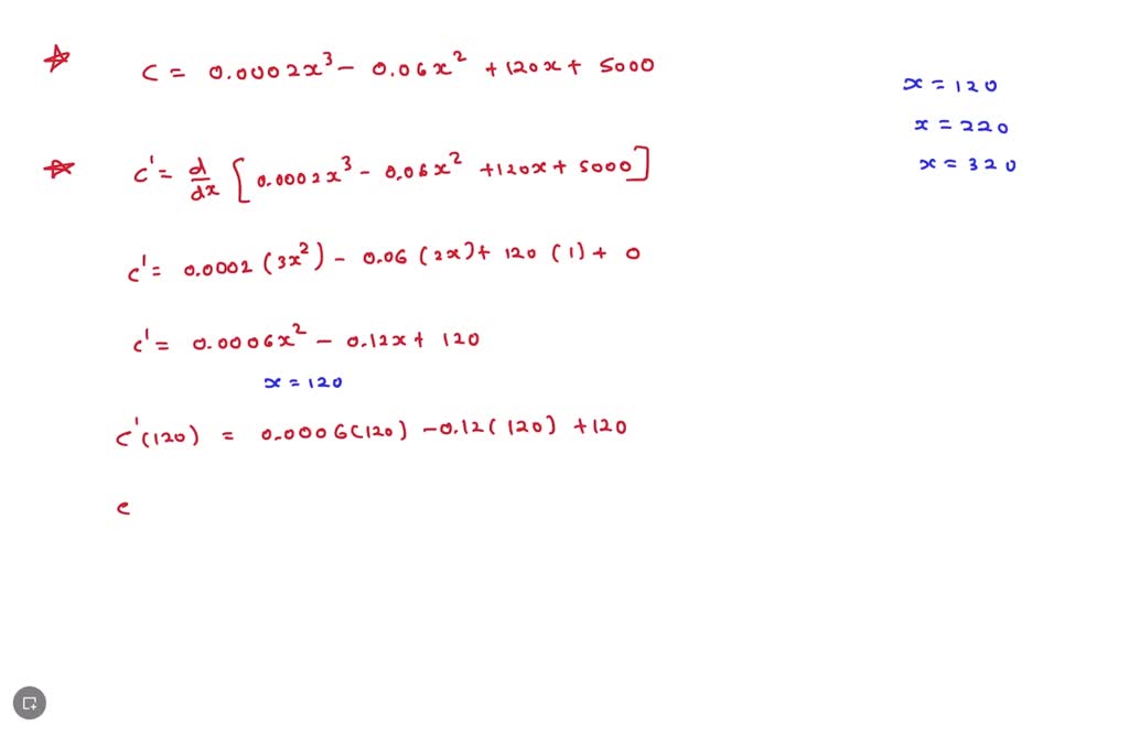
Solved The cost function for the production of microwaves is Cost Of Producing Microwave Select the correct answer below: At a production level of 150, the total costs are increasing at the rate of $25 per week. We present historical data for the cumulative production and price of microwave ovens and construct a learning curve for. At a production level of. Because manufacturing costs rendered them too expensive for most consumers, these early ovens. Cost Of Producing Microwave.
From www.chegg.com
Solved Average Cost for Producing Microwaves Let the total Cost Of Producing Microwave This study analyses the costs and benefits for implementing microwave systems and presents results for economic parameters used in cost calculations. At a production level of. Because manufacturing costs rendered them too expensive for most consumers, these early ovens were used primarily by hospitals and hotels that could more easily afford the $3,000. But for distributors, understanding the factors behind. Cost Of Producing Microwave.
From www.chegg.com
Solved Average Cost for Producing Microwaves Let the total Cost Of Producing Microwave At a production level of 150, the total costs are increasing at the rate of $25 per week. This study analyses the costs and benefits for implementing microwave systems and presents results for economic parameters used in cost calculations. At a production level of. Select the correct answer below: But for distributors, understanding the factors behind a microwave’s manufacturing cost. Cost Of Producing Microwave.
From www.slideserve.com
PPT Microwave Diathermy PowerPoint Presentation, free download ID4501556 Cost Of Producing Microwave At a production level of 150, the total costs are increasing at the rate of $25 per week. We present historical data for the cumulative production and price of microwave ovens and construct a learning curve for. At a production level of. But for distributors, understanding the factors behind a microwave’s manufacturing cost is crucial for selecting the right suppliers.. Cost Of Producing Microwave.
From www.chegg.com
Solved Average Cost for Producing Microwaves Let the total Cost Of Producing Microwave Select the correct answer below: At a production level of. But for distributors, understanding the factors behind a microwave’s manufacturing cost is crucial for selecting the right suppliers. At a production level of 150, the total costs are increasing at the rate of $25 per week. This study analyses the costs and benefits for implementing microwave systems and presents results. Cost Of Producing Microwave.
From www.chegg.com
Solved (1 point) The pricedemand and cost functions for the Cost Of Producing Microwave At a production level of. At a production level of 150, the total costs are increasing at the rate of $25 per week. This study analyses the costs and benefits for implementing microwave systems and presents results for economic parameters used in cost calculations. Select the correct answer below: But for distributors, understanding the factors behind a microwave’s manufacturing cost. Cost Of Producing Microwave.
From www.chegg.com
Solved Average Cost for Producing Microwaves Let the total Cost Of Producing Microwave At a production level of. At a production level of 150, the total costs are increasing at the rate of $25 per week. We present historical data for the cumulative production and price of microwave ovens and construct a learning curve for. Select the correct answer below: This study analyses the costs and benefits for implementing microwave systems and presents. Cost Of Producing Microwave.
From www.numerade.com
The pricedemand and cost functions for the production of microwaves are given as p = 225 and C Cost Of Producing Microwave But for distributors, understanding the factors behind a microwave’s manufacturing cost is crucial for selecting the right suppliers. At a production level of. At a production level of 150, the total costs are increasing at the rate of $25 per week. Because manufacturing costs rendered them too expensive for most consumers, these early ovens were used primarily by hospitals and. Cost Of Producing Microwave.
From www.chegg.com
Solved Average Cost for Producing Microwaves Let the total Cost Of Producing Microwave At a production level of. At a production level of 150, the total costs are increasing at the rate of $25 per week. This study analyses the costs and benefits for implementing microwave systems and presents results for economic parameters used in cost calculations. Because manufacturing costs rendered them too expensive for most consumers, these early ovens were used primarily. Cost Of Producing Microwave.
From homeguide.com
2024 Microwave Costs — Brand Comparison & Buying Guide Cost Of Producing Microwave This study analyses the costs and benefits for implementing microwave systems and presents results for economic parameters used in cost calculations. But for distributors, understanding the factors behind a microwave’s manufacturing cost is crucial for selecting the right suppliers. At a production level of. At a production level of 150, the total costs are increasing at the rate of $25. Cost Of Producing Microwave.
From www.chegg.com
Solved Average Cost for Producing Microwaves Let the total Cost Of Producing Microwave At a production level of. Select the correct answer below: Because manufacturing costs rendered them too expensive for most consumers, these early ovens were used primarily by hospitals and hotels that could more easily afford the $3,000. At a production level of 150, the total costs are increasing at the rate of $25 per week. This study analyses the costs. Cost Of Producing Microwave.
From www.chegg.com
Solved Average Cost for Producing Microwaves Let the total Cost Of Producing Microwave Select the correct answer below: At a production level of. Because manufacturing costs rendered them too expensive for most consumers, these early ovens were used primarily by hospitals and hotels that could more easily afford the $3,000. This study analyses the costs and benefits for implementing microwave systems and presents results for economic parameters used in cost calculations. But for. Cost Of Producing Microwave.
From www.gauthmath.com
Solved Based on the following diagram, average variable cost of producing 3 Microwave Oven is Cost Of Producing Microwave This study analyses the costs and benefits for implementing microwave systems and presents results for economic parameters used in cost calculations. At a production level of 150, the total costs are increasing at the rate of $25 per week. Because manufacturing costs rendered them too expensive for most consumers, these early ovens were used primarily by hospitals and hotels that. Cost Of Producing Microwave.
From industrialmicrowave.com
Industrial Microwaves 101 Industrial Microwave Systems Cost Of Producing Microwave This study analyses the costs and benefits for implementing microwave systems and presents results for economic parameters used in cost calculations. Because manufacturing costs rendered them too expensive for most consumers, these early ovens were used primarily by hospitals and hotels that could more easily afford the $3,000. Select the correct answer below: At a production level of. At a. Cost Of Producing Microwave.
From www.chegg.com
Solved 13) The daily cost Cof producing microwave ovens is c Cost Of Producing Microwave This study analyses the costs and benefits for implementing microwave systems and presents results for economic parameters used in cost calculations. Select the correct answer below: But for distributors, understanding the factors behind a microwave’s manufacturing cost is crucial for selecting the right suppliers. At a production level of 150, the total costs are increasing at the rate of $25. Cost Of Producing Microwave.
From www.homeadvisor.com
Microwave Installation Cost How Much for an OverRange or BuiltIn Microwave? Cost Of Producing Microwave Select the correct answer below: Because manufacturing costs rendered them too expensive for most consumers, these early ovens were used primarily by hospitals and hotels that could more easily afford the $3,000. At a production level of. But for distributors, understanding the factors behind a microwave’s manufacturing cost is crucial for selecting the right suppliers. At a production level of. Cost Of Producing Microwave.
From homeguide.com
2024 Microwave Costs — Brand Comparison & Buying Guide Cost Of Producing Microwave At a production level of 150, the total costs are increasing at the rate of $25 per week. We present historical data for the cumulative production and price of microwave ovens and construct a learning curve for. Select the correct answer below: But for distributors, understanding the factors behind a microwave’s manufacturing cost is crucial for selecting the right suppliers.. Cost Of Producing Microwave.
From www.chegg.com
Solved 13) The daily cost Cof producing microwave ovens is c Cost Of Producing Microwave This study analyses the costs and benefits for implementing microwave systems and presents results for economic parameters used in cost calculations. But for distributors, understanding the factors behind a microwave’s manufacturing cost is crucial for selecting the right suppliers. At a production level of. At a production level of 150, the total costs are increasing at the rate of $25. Cost Of Producing Microwave.
From www.numerade.com
SOLVED Marginal Cost A division of Ditton Industries manufactures the Futura model microwave Cost Of Producing Microwave At a production level of. But for distributors, understanding the factors behind a microwave’s manufacturing cost is crucial for selecting the right suppliers. At a production level of 150, the total costs are increasing at the rate of $25 per week. Select the correct answer below: We present historical data for the cumulative production and price of microwave ovens and. Cost Of Producing Microwave.
From www.chegg.com
Average Cost for Producing Microwaves Let the total Cost Of Producing Microwave Because manufacturing costs rendered them too expensive for most consumers, these early ovens were used primarily by hospitals and hotels that could more easily afford the $3,000. This study analyses the costs and benefits for implementing microwave systems and presents results for economic parameters used in cost calculations. Select the correct answer below: At a production level of. But for. Cost Of Producing Microwave.
From www.chegg.com
Solved Average Cost for Producing Microwaves Let the total Cost Of Producing Microwave At a production level of 150, the total costs are increasing at the rate of $25 per week. Because manufacturing costs rendered them too expensive for most consumers, these early ovens were used primarily by hospitals and hotels that could more easily afford the $3,000. Select the correct answer below: But for distributors, understanding the factors behind a microwave’s manufacturing. Cost Of Producing Microwave.
From www.chegg.com
Solved Average Cost for Producing Microwaves Let the total Cost Of Producing Microwave But for distributors, understanding the factors behind a microwave’s manufacturing cost is crucial for selecting the right suppliers. Because manufacturing costs rendered them too expensive for most consumers, these early ovens were used primarily by hospitals and hotels that could more easily afford the $3,000. Select the correct answer below: At a production level of 150, the total costs are. Cost Of Producing Microwave.
From www.fixr.com
Microwave Installation Cost Above Range, Below Counter, Builtin Cost Of Producing Microwave At a production level of. Because manufacturing costs rendered them too expensive for most consumers, these early ovens were used primarily by hospitals and hotels that could more easily afford the $3,000. But for distributors, understanding the factors behind a microwave’s manufacturing cost is crucial for selecting the right suppliers. Select the correct answer below: We present historical data for. Cost Of Producing Microwave.
From www.chegg.com
Solved Average Cost for Producing Microwaves Let the total Cost Of Producing Microwave Select the correct answer below: But for distributors, understanding the factors behind a microwave’s manufacturing cost is crucial for selecting the right suppliers. At a production level of 150, the total costs are increasing at the rate of $25 per week. We present historical data for the cumulative production and price of microwave ovens and construct a learning curve for.. Cost Of Producing Microwave.
From www.numerade.com
SOLVED (1 point) The pricedemand and cost functions for the production of microwaves are given Cost Of Producing Microwave Select the correct answer below: But for distributors, understanding the factors behind a microwave’s manufacturing cost is crucial for selecting the right suppliers. This study analyses the costs and benefits for implementing microwave systems and presents results for economic parameters used in cost calculations. We present historical data for the cumulative production and price of microwave ovens and construct a. Cost Of Producing Microwave.
From www.chegg.com
Solved Average Cost for Producing Microwaves Let the total Cost Of Producing Microwave We present historical data for the cumulative production and price of microwave ovens and construct a learning curve for. Select the correct answer below: But for distributors, understanding the factors behind a microwave’s manufacturing cost is crucial for selecting the right suppliers. Because manufacturing costs rendered them too expensive for most consumers, these early ovens were used primarily by hospitals. Cost Of Producing Microwave.
From enerzi.co
Advantages of Microwave Processing Cost Of Producing Microwave At a production level of. Because manufacturing costs rendered them too expensive for most consumers, these early ovens were used primarily by hospitals and hotels that could more easily afford the $3,000. But for distributors, understanding the factors behind a microwave’s manufacturing cost is crucial for selecting the right suppliers. We present historical data for the cumulative production and price. Cost Of Producing Microwave.
From www.homeadvisor.com
Microwave Installation Cost How Much for an OverRange or BuiltIn Microwave? Cost Of Producing Microwave But for distributors, understanding the factors behind a microwave’s manufacturing cost is crucial for selecting the right suppliers. At a production level of 150, the total costs are increasing at the rate of $25 per week. At a production level of. We present historical data for the cumulative production and price of microwave ovens and construct a learning curve for.. Cost Of Producing Microwave.
From www.numerade.com
SOLVED point) The pricedemand and cost functions for the production of microwaves are given as Cost Of Producing Microwave At a production level of 150, the total costs are increasing at the rate of $25 per week. At a production level of. Select the correct answer below: This study analyses the costs and benefits for implementing microwave systems and presents results for economic parameters used in cost calculations. But for distributors, understanding the factors behind a microwave’s manufacturing cost. Cost Of Producing Microwave.
From homeguide.com
Microwave Repair Costs in 2024 (by Type & Part) HomeGuide Cost Of Producing Microwave At a production level of 150, the total costs are increasing at the rate of $25 per week. This study analyses the costs and benefits for implementing microwave systems and presents results for economic parameters used in cost calculations. Select the correct answer below: Because manufacturing costs rendered them too expensive for most consumers, these early ovens were used primarily. Cost Of Producing Microwave.
From www.numerade.com
SOLVED The pricedemand and cost functions for the production of microwaves are given as p Cost Of Producing Microwave At a production level of 150, the total costs are increasing at the rate of $25 per week. This study analyses the costs and benefits for implementing microwave systems and presents results for economic parameters used in cost calculations. But for distributors, understanding the factors behind a microwave’s manufacturing cost is crucial for selecting the right suppliers. At a production. Cost Of Producing Microwave.
From www.fixr.com
Microwave Installation Cost Above Range, Below Counter, Builtin Cost Of Producing Microwave Because manufacturing costs rendered them too expensive for most consumers, these early ovens were used primarily by hospitals and hotels that could more easily afford the $3,000. At a production level of 150, the total costs are increasing at the rate of $25 per week. Select the correct answer below: This study analyses the costs and benefits for implementing microwave. Cost Of Producing Microwave.
From homeguide.com
2024 Microwave Costs — Brand Comparison & Buying Guide Cost Of Producing Microwave We present historical data for the cumulative production and price of microwave ovens and construct a learning curve for. At a production level of. At a production level of 150, the total costs are increasing at the rate of $25 per week. Because manufacturing costs rendered them too expensive for most consumers, these early ovens were used primarily by hospitals. Cost Of Producing Microwave.
From www.chegg.com
Solved Average Cost for Producing Microwaves Let the total Cost Of Producing Microwave At a production level of. Because manufacturing costs rendered them too expensive for most consumers, these early ovens were used primarily by hospitals and hotels that could more easily afford the $3,000. At a production level of 150, the total costs are increasing at the rate of $25 per week. We present historical data for the cumulative production and price. Cost Of Producing Microwave.
From www.gauthmath.com
Solved Based on the following diagram, marginal cost of producing third Microwave Oven is Cost Of Producing Microwave This study analyses the costs and benefits for implementing microwave systems and presents results for economic parameters used in cost calculations. We present historical data for the cumulative production and price of microwave ovens and construct a learning curve for. But for distributors, understanding the factors behind a microwave’s manufacturing cost is crucial for selecting the right suppliers. At a. Cost Of Producing Microwave.