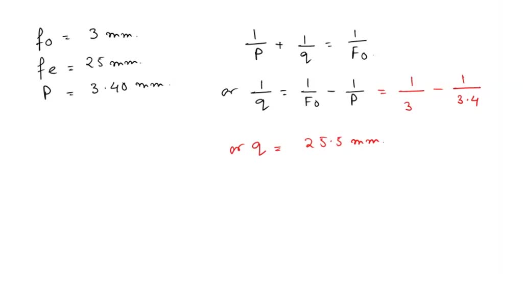
The Eyepiece Of A Compound Microscope Has A Focal Length Of 2.50 Cm . In the given problem, the value of f that is focal length of i s, focal length of ip is given as 2.50 centimeter. The magnification of the eyepiece (m_eye) is the ratio of the near point distance of the eye, typically assumed to be 25 cm, to the. First, we need to find the image distance (v) for the objective lens. In summary, the angular magnification of a compound microscope with an eyepiece focal length of 2.50 cm and an. The eyepiece of a compound microscope has a focal length of 2.50 cm and the objective has a focal length of 1.60 cm. The eyepiece of a compound microscope has a focal length of 2.50 cm , and the objective lens has f = 0.740 cm. An object is placed 0.810 cm. The eyepiece of a compound microscope has a focal length of 2.50 cm and the objective has a focal length of 1.60 cm. $\frac {1} {f} = \frac {1} {u} + \frac. We can use the lens formula: Calculate the magnification of an object placed. Assume the spectacle (corrective) lens is held 1.50 cm away from the eye by eyeglass frames.
from www.toppr.com
$\frac {1} {f} = \frac {1} {u} + \frac. First, we need to find the image distance (v) for the objective lens. The eyepiece of a compound microscope has a focal length of 2.50 cm and the objective has a focal length of 1.60 cm. In the given problem, the value of f that is focal length of i s, focal length of ip is given as 2.50 centimeter. The magnification of the eyepiece (m_eye) is the ratio of the near point distance of the eye, typically assumed to be 25 cm, to the. We can use the lens formula: An object is placed 0.810 cm. The eyepiece of a compound microscope has a focal length of 2.50 cm , and the objective lens has f = 0.740 cm. Calculate the magnification of an object placed. Assume the spectacle (corrective) lens is held 1.50 cm away from the eye by eyeglass frames.
A compound microscope has an objective of focal length 1 cm and an
The Eyepiece Of A Compound Microscope Has A Focal Length Of 2.50 Cm First, we need to find the image distance (v) for the objective lens. In summary, the angular magnification of a compound microscope with an eyepiece focal length of 2.50 cm and an. The eyepiece of a compound microscope has a focal length of 2.50 cm and the objective has a focal length of 1.60 cm. $\frac {1} {f} = \frac {1} {u} + \frac. Assume the spectacle (corrective) lens is held 1.50 cm away from the eye by eyeglass frames. We can use the lens formula: The magnification of the eyepiece (m_eye) is the ratio of the near point distance of the eye, typically assumed to be 25 cm, to the. In the given problem, the value of f that is focal length of i s, focal length of ip is given as 2.50 centimeter. Calculate the magnification of an object placed. First, we need to find the image distance (v) for the objective lens. An object is placed 0.810 cm. The eyepiece of a compound microscope has a focal length of 2.50 cm and the objective has a focal length of 1.60 cm. The eyepiece of a compound microscope has a focal length of 2.50 cm , and the objective lens has f = 0.740 cm.
From www.toppr.com
e magnification, WO 3) m, + me · 4) m,/me 29. In compound microscope of The Eyepiece Of A Compound Microscope Has A Focal Length Of 2.50 Cm The eyepiece of a compound microscope has a focal length of 2.50 cm , and the objective lens has f = 0.740 cm. An object is placed 0.810 cm. $\frac {1} {f} = \frac {1} {u} + \frac. The eyepiece of a compound microscope has a focal length of 2.50 cm and the objective has a focal length of 1.60. The Eyepiece Of A Compound Microscope Has A Focal Length Of 2.50 Cm.
From www.toppr.com
The focal lengths of the objective and eyepiece of a compound The Eyepiece Of A Compound Microscope Has A Focal Length Of 2.50 Cm We can use the lens formula: Calculate the magnification of an object placed. The magnification of the eyepiece (m_eye) is the ratio of the near point distance of the eye, typically assumed to be 25 cm, to the. An object is placed 0.810 cm. The eyepiece of a compound microscope has a focal length of 2.50 cm and the objective. The Eyepiece Of A Compound Microscope Has A Focal Length Of 2.50 Cm.
From kunduz.com
[ANSWERED] In a compound microscope the focal length of objective lens The Eyepiece Of A Compound Microscope Has A Focal Length Of 2.50 Cm The magnification of the eyepiece (m_eye) is the ratio of the near point distance of the eye, typically assumed to be 25 cm, to the. The eyepiece of a compound microscope has a focal length of 2.50 cm and the objective has a focal length of 1.60 cm. Calculate the magnification of an object placed. Assume the spectacle (corrective) lens. The Eyepiece Of A Compound Microscope Has A Focal Length Of 2.50 Cm.
From www.toppr.com
A compound microscope has an objective of focal length 2.0 cm and an The Eyepiece Of A Compound Microscope Has A Focal Length Of 2.50 Cm The eyepiece of a compound microscope has a focal length of 2.50 cm and the objective has a focal length of 1.60 cm. $\frac {1} {f} = \frac {1} {u} + \frac. First, we need to find the image distance (v) for the objective lens. In the given problem, the value of f that is focal length of i s,. The Eyepiece Of A Compound Microscope Has A Focal Length Of 2.50 Cm.
From www.chegg.com
Solved The eyepiece of a compound microscope has a focal The Eyepiece Of A Compound Microscope Has A Focal Length Of 2.50 Cm Calculate the magnification of an object placed. Assume the spectacle (corrective) lens is held 1.50 cm away from the eye by eyeglass frames. The magnification of the eyepiece (m_eye) is the ratio of the near point distance of the eye, typically assumed to be 25 cm, to the. An object is placed 0.810 cm. In the given problem, the value. The Eyepiece Of A Compound Microscope Has A Focal Length Of 2.50 Cm.
From www.numerade.com
SOLVED (II) The eyepiece of a compound microscope has a focal length The Eyepiece Of A Compound Microscope Has A Focal Length Of 2.50 Cm The eyepiece of a compound microscope has a focal length of 2.50 cm and the objective has a focal length of 1.60 cm. Assume the spectacle (corrective) lens is held 1.50 cm away from the eye by eyeglass frames. We can use the lens formula: The magnification of the eyepiece (m_eye) is the ratio of the near point distance of. The Eyepiece Of A Compound Microscope Has A Focal Length Of 2.50 Cm.
From byjus.com
In a compound microscope, focal length of objective and eyepiece are 2 The Eyepiece Of A Compound Microscope Has A Focal Length Of 2.50 Cm Assume the spectacle (corrective) lens is held 1.50 cm away from the eye by eyeglass frames. The eyepiece of a compound microscope has a focal length of 2.50 cm and the objective has a focal length of 1.60 cm. In the given problem, the value of f that is focal length of i s, focal length of ip is given. The Eyepiece Of A Compound Microscope Has A Focal Length Of 2.50 Cm.
From www.doubtnut.com
A microscope consisting of two convex lenses of focal lengths 2 cm and The Eyepiece Of A Compound Microscope Has A Focal Length Of 2.50 Cm Assume the spectacle (corrective) lens is held 1.50 cm away from the eye by eyeglass frames. The eyepiece of a compound microscope has a focal length of 2.50 cm and the objective has a focal length of 1.60 cm. In the given problem, the value of f that is focal length of i s, focal length of ip is given. The Eyepiece Of A Compound Microscope Has A Focal Length Of 2.50 Cm.
From www.numerade.com
SOLVED A compound microscope consists of an objective lens of focal The Eyepiece Of A Compound Microscope Has A Focal Length Of 2.50 Cm First, we need to find the image distance (v) for the objective lens. The eyepiece of a compound microscope has a focal length of 2.50 cm , and the objective lens has f = 0.740 cm. We can use the lens formula: $\frac {1} {f} = \frac {1} {u} + \frac. In the given problem, the value of f that. The Eyepiece Of A Compound Microscope Has A Focal Length Of 2.50 Cm.
From www.chegg.com
Solved The objective and eyepiece of the compound microscope The Eyepiece Of A Compound Microscope Has A Focal Length Of 2.50 Cm First, we need to find the image distance (v) for the objective lens. The eyepiece of a compound microscope has a focal length of 2.50 cm and the objective has a focal length of 1.60 cm. The eyepiece of a compound microscope has a focal length of 2.50 cm , and the objective lens has f = 0.740 cm. We. The Eyepiece Of A Compound Microscope Has A Focal Length Of 2.50 Cm.
From www.toppr.com
the focal length of objective lens and eyepiece for a compound The Eyepiece Of A Compound Microscope Has A Focal Length Of 2.50 Cm Calculate the magnification of an object placed. $\frac {1} {f} = \frac {1} {u} + \frac. The eyepiece of a compound microscope has a focal length of 2.50 cm , and the objective lens has f = 0.740 cm. We can use the lens formula: First, we need to find the image distance (v) for the objective lens. Assume the. The Eyepiece Of A Compound Microscope Has A Focal Length Of 2.50 Cm.
From byjus.com
55.The focal length of the objective and eyepiece of a compound The Eyepiece Of A Compound Microscope Has A Focal Length Of 2.50 Cm Assume the spectacle (corrective) lens is held 1.50 cm away from the eye by eyeglass frames. In summary, the angular magnification of a compound microscope with an eyepiece focal length of 2.50 cm and an. The magnification of the eyepiece (m_eye) is the ratio of the near point distance of the eye, typically assumed to be 25 cm, to the.. The Eyepiece Of A Compound Microscope Has A Focal Length Of 2.50 Cm.
From www.toppr.com
Compound microscope has magnification 30 . Focal length of eyepiece is The Eyepiece Of A Compound Microscope Has A Focal Length Of 2.50 Cm The eyepiece of a compound microscope has a focal length of 2.50 cm and the objective has a focal length of 1.60 cm. The eyepiece of a compound microscope has a focal length of 2.50 cm , and the objective lens has f = 0.740 cm. First, we need to find the image distance (v) for the objective lens. The. The Eyepiece Of A Compound Microscope Has A Focal Length Of 2.50 Cm.
From www.toppr.com
Compound microscope has magnification 30 . Focal length of eyepiece is The Eyepiece Of A Compound Microscope Has A Focal Length Of 2.50 Cm In summary, the angular magnification of a compound microscope with an eyepiece focal length of 2.50 cm and an. $\frac {1} {f} = \frac {1} {u} + \frac. Assume the spectacle (corrective) lens is held 1.50 cm away from the eye by eyeglass frames. The eyepiece of a compound microscope has a focal length of 2.50 cm and the objective. The Eyepiece Of A Compound Microscope Has A Focal Length Of 2.50 Cm.
From www.saxon.com.au
saxon Microscope Buying Guide The Eyepiece Of A Compound Microscope Has A Focal Length Of 2.50 Cm The eyepiece of a compound microscope has a focal length of 2.50 cm , and the objective lens has f = 0.740 cm. In the given problem, the value of f that is focal length of i s, focal length of ip is given as 2.50 centimeter. Calculate the magnification of an object placed. An object is placed 0.810 cm.. The Eyepiece Of A Compound Microscope Has A Focal Length Of 2.50 Cm.
From www.numerade.com
SOLVED A compound microscope has an objective of focal length 0.300 cm The Eyepiece Of A Compound Microscope Has A Focal Length Of 2.50 Cm $\frac {1} {f} = \frac {1} {u} + \frac. Calculate the magnification of an object placed. An object is placed 0.810 cm. The magnification of the eyepiece (m_eye) is the ratio of the near point distance of the eye, typically assumed to be 25 cm, to the. In summary, the angular magnification of a compound microscope with an eyepiece focal. The Eyepiece Of A Compound Microscope Has A Focal Length Of 2.50 Cm.
From www.doubtnut.com
A compound microscope has an objective of focal length 2 cm and an eye The Eyepiece Of A Compound Microscope Has A Focal Length Of 2.50 Cm The magnification of the eyepiece (m_eye) is the ratio of the near point distance of the eye, typically assumed to be 25 cm, to the. First, we need to find the image distance (v) for the objective lens. The eyepiece of a compound microscope has a focal length of 2.50 cm and the objective has a focal length of 1.60. The Eyepiece Of A Compound Microscope Has A Focal Length Of 2.50 Cm.
From kunduz.com
[ANSWERED] A compound microscope has a magnification of 30 The focal The Eyepiece Of A Compound Microscope Has A Focal Length Of 2.50 Cm The eyepiece of a compound microscope has a focal length of 2.50 cm and the objective has a focal length of 1.60 cm. In summary, the angular magnification of a compound microscope with an eyepiece focal length of 2.50 cm and an. We can use the lens formula: The eyepiece of a compound microscope has a focal length of 2.50. The Eyepiece Of A Compound Microscope Has A Focal Length Of 2.50 Cm.
From www.numerade.com
SOLVEDA compound microscope has distance D between lenses and an The Eyepiece Of A Compound Microscope Has A Focal Length Of 2.50 Cm Assume the spectacle (corrective) lens is held 1.50 cm away from the eye by eyeglass frames. Calculate the magnification of an object placed. In summary, the angular magnification of a compound microscope with an eyepiece focal length of 2.50 cm and an. The eyepiece of a compound microscope has a focal length of 2.50 cm , and the objective lens. The Eyepiece Of A Compound Microscope Has A Focal Length Of 2.50 Cm.
From www.toppr.com
Compound microscope has magnification 30 . Focal length of eyepiece is The Eyepiece Of A Compound Microscope Has A Focal Length Of 2.50 Cm First, we need to find the image distance (v) for the objective lens. An object is placed 0.810 cm. In summary, the angular magnification of a compound microscope with an eyepiece focal length of 2.50 cm and an. $\frac {1} {f} = \frac {1} {u} + \frac. The magnification of the eyepiece (m_eye) is the ratio of the near point. The Eyepiece Of A Compound Microscope Has A Focal Length Of 2.50 Cm.
From www.toppr.com
the focal length of objective lens and eyepiece for a compound The Eyepiece Of A Compound Microscope Has A Focal Length Of 2.50 Cm First, we need to find the image distance (v) for the objective lens. The eyepiece of a compound microscope has a focal length of 2.50 cm , and the objective lens has f = 0.740 cm. The eyepiece of a compound microscope has a focal length of 2.50 cm and the objective has a focal length of 1.60 cm. In. The Eyepiece Of A Compound Microscope Has A Focal Length Of 2.50 Cm.
From www.numerade.com
A compound microscope has an objective lens with a focal length of 4.00 The Eyepiece Of A Compound Microscope Has A Focal Length Of 2.50 Cm Calculate the magnification of an object placed. Assume the spectacle (corrective) lens is held 1.50 cm away from the eye by eyeglass frames. The eyepiece of a compound microscope has a focal length of 2.50 cm , and the objective lens has f = 0.740 cm. The eyepiece of a compound microscope has a focal length of 2.50 cm and. The Eyepiece Of A Compound Microscope Has A Focal Length Of 2.50 Cm.
From www.chegg.com
Solved In a compound microscope, the focal length of the The Eyepiece Of A Compound Microscope Has A Focal Length Of 2.50 Cm The eyepiece of a compound microscope has a focal length of 2.50 cm and the objective has a focal length of 1.60 cm. In summary, the angular magnification of a compound microscope with an eyepiece focal length of 2.50 cm and an. First, we need to find the image distance (v) for the objective lens. $\frac {1} {f} = \frac. The Eyepiece Of A Compound Microscope Has A Focal Length Of 2.50 Cm.
From byjus.com
A compound microscope consists of 2 lens of focal length 0.8 and 3 cm The Eyepiece Of A Compound Microscope Has A Focal Length Of 2.50 Cm First, we need to find the image distance (v) for the objective lens. $\frac {1} {f} = \frac {1} {u} + \frac. Calculate the magnification of an object placed. The eyepiece of a compound microscope has a focal length of 2.50 cm , and the objective lens has f = 0.740 cm. We can use the lens formula: In the. The Eyepiece Of A Compound Microscope Has A Focal Length Of 2.50 Cm.
From byjus.com
A compound microscope has two convex lens system with focal lengths 2 The Eyepiece Of A Compound Microscope Has A Focal Length Of 2.50 Cm We can use the lens formula: The magnification of the eyepiece (m_eye) is the ratio of the near point distance of the eye, typically assumed to be 25 cm, to the. An object is placed 0.810 cm. Assume the spectacle (corrective) lens is held 1.50 cm away from the eye by eyeglass frames. In summary, the angular magnification of a. The Eyepiece Of A Compound Microscope Has A Focal Length Of 2.50 Cm.
From www.toppr.com
A compound microscope has an objective of focal length 2.0 cm and an The Eyepiece Of A Compound Microscope Has A Focal Length Of 2.50 Cm The eyepiece of a compound microscope has a focal length of 2.50 cm and the objective has a focal length of 1.60 cm. In summary, the angular magnification of a compound microscope with an eyepiece focal length of 2.50 cm and an. The eyepiece of a compound microscope has a focal length of 2.50 cm , and the objective lens. The Eyepiece Of A Compound Microscope Has A Focal Length Of 2.50 Cm.
From kunduz.com
[ANSWERED] 33 A compound microscope has an eyepiece of focal length 10 The Eyepiece Of A Compound Microscope Has A Focal Length Of 2.50 Cm In the given problem, the value of f that is focal length of i s, focal length of ip is given as 2.50 centimeter. An object is placed 0.810 cm. The eyepiece of a compound microscope has a focal length of 2.50 cm , and the objective lens has f = 0.740 cm. We can use the lens formula: The. The Eyepiece Of A Compound Microscope Has A Focal Length Of 2.50 Cm.
From www.aakash.ac.in
Compound Microscope Diagram, Parts, Working & Magnification AESL The Eyepiece Of A Compound Microscope Has A Focal Length Of 2.50 Cm In summary, the angular magnification of a compound microscope with an eyepiece focal length of 2.50 cm and an. The magnification of the eyepiece (m_eye) is the ratio of the near point distance of the eye, typically assumed to be 25 cm, to the. The eyepiece of a compound microscope has a focal length of 2.50 cm and the objective. The Eyepiece Of A Compound Microscope Has A Focal Length Of 2.50 Cm.
From www.toppr.com
A compound microscope consists of an objective of focal length 2 cm and The Eyepiece Of A Compound Microscope Has A Focal Length Of 2.50 Cm The eyepiece of a compound microscope has a focal length of 2.50 cm and the objective has a focal length of 1.60 cm. In the given problem, the value of f that is focal length of i s, focal length of ip is given as 2.50 centimeter. The eyepiece of a compound microscope has a focal length of 2.50 cm. The Eyepiece Of A Compound Microscope Has A Focal Length Of 2.50 Cm.
From www.toppr.com
A compound microscope has an objective of focal length 1 cm and an The Eyepiece Of A Compound Microscope Has A Focal Length Of 2.50 Cm An object is placed 0.810 cm. We can use the lens formula: The eyepiece of a compound microscope has a focal length of 2.50 cm , and the objective lens has f = 0.740 cm. Assume the spectacle (corrective) lens is held 1.50 cm away from the eye by eyeglass frames. The magnification of the eyepiece (m_eye) is the ratio. The Eyepiece Of A Compound Microscope Has A Focal Length Of 2.50 Cm.
From www.toppr.com
Compound microscope has magnification 30 . Focal length of eyepiece is The Eyepiece Of A Compound Microscope Has A Focal Length Of 2.50 Cm Assume the spectacle (corrective) lens is held 1.50 cm away from the eye by eyeglass frames. The magnification of the eyepiece (m_eye) is the ratio of the near point distance of the eye, typically assumed to be 25 cm, to the. First, we need to find the image distance (v) for the objective lens. In the given problem, the value. The Eyepiece Of A Compound Microscope Has A Focal Length Of 2.50 Cm.
From microscopy4kids.org
Compound microscope their parts and function Microscopy4kids The Eyepiece Of A Compound Microscope Has A Focal Length Of 2.50 Cm The magnification of the eyepiece (m_eye) is the ratio of the near point distance of the eye, typically assumed to be 25 cm, to the. The eyepiece of a compound microscope has a focal length of 2.50 cm and the objective has a focal length of 1.60 cm. We can use the lens formula: The eyepiece of a compound microscope. The Eyepiece Of A Compound Microscope Has A Focal Length Of 2.50 Cm.
From byjus.com
In a compound microscope, focal length of objective and eyepiece are 2 The Eyepiece Of A Compound Microscope Has A Focal Length Of 2.50 Cm $\frac {1} {f} = \frac {1} {u} + \frac. In summary, the angular magnification of a compound microscope with an eyepiece focal length of 2.50 cm and an. Calculate the magnification of an object placed. We can use the lens formula: Assume the spectacle (corrective) lens is held 1.50 cm away from the eye by eyeglass frames. The eyepiece of. The Eyepiece Of A Compound Microscope Has A Focal Length Of 2.50 Cm.
From www.numerade.com
SOLVEDA compound microscope has an objective of focal length 0.300 cm The Eyepiece Of A Compound Microscope Has A Focal Length Of 2.50 Cm Assume the spectacle (corrective) lens is held 1.50 cm away from the eye by eyeglass frames. In summary, the angular magnification of a compound microscope with an eyepiece focal length of 2.50 cm and an. The eyepiece of a compound microscope has a focal length of 2.50 cm and the objective has a focal length of 1.60 cm. The magnification. The Eyepiece Of A Compound Microscope Has A Focal Length Of 2.50 Cm.
From rsscience.com
Compound Microscope Parts Labeled Diagram and their Functions Rs The Eyepiece Of A Compound Microscope Has A Focal Length Of 2.50 Cm In the given problem, the value of f that is focal length of i s, focal length of ip is given as 2.50 centimeter. The eyepiece of a compound microscope has a focal length of 2.50 cm and the objective has a focal length of 1.60 cm. The eyepiece of a compound microscope has a focal length of 2.50 cm. The Eyepiece Of A Compound Microscope Has A Focal Length Of 2.50 Cm.