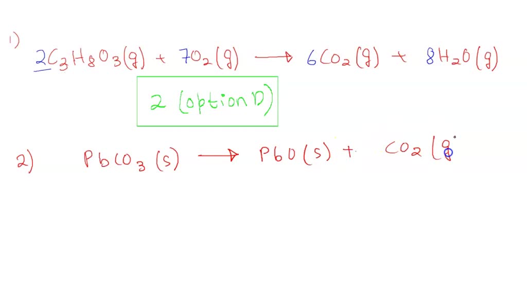
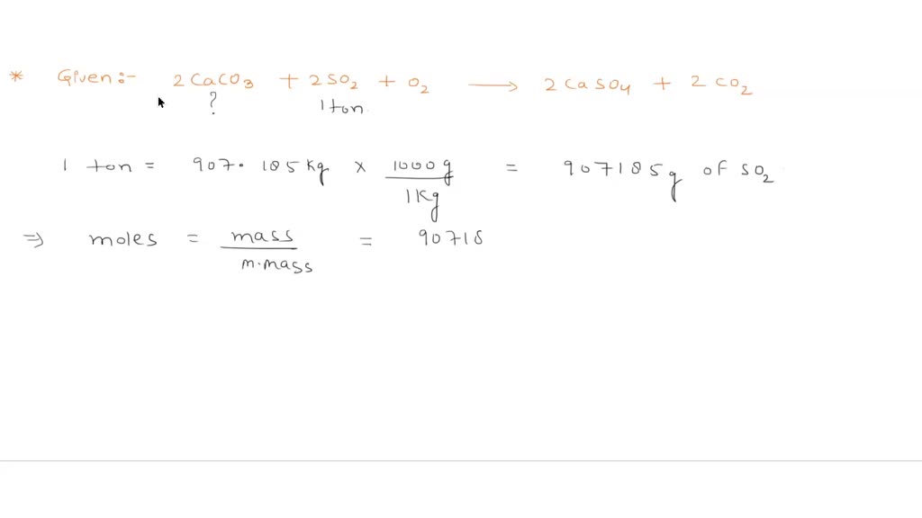
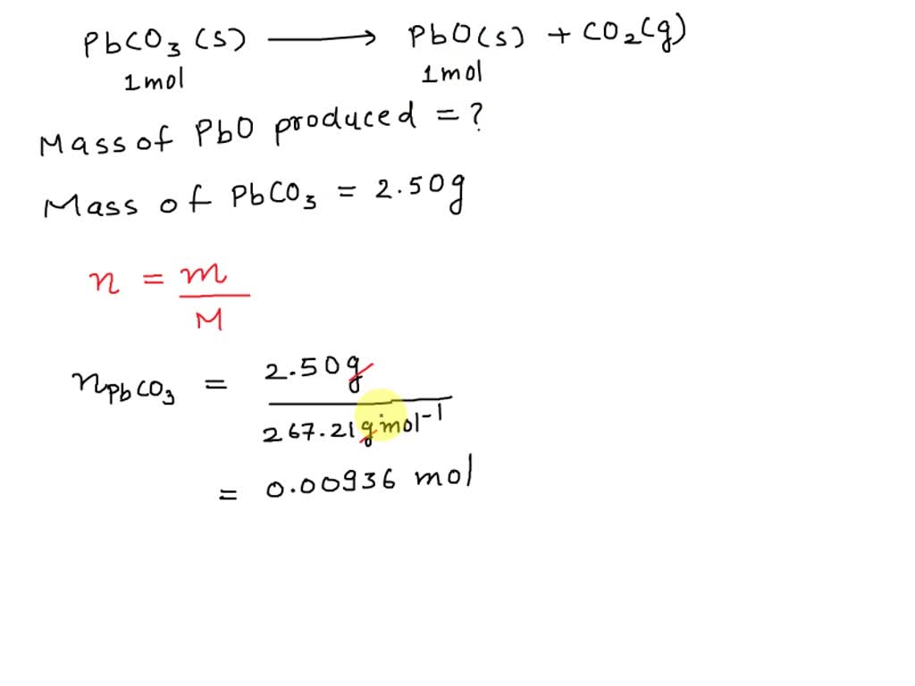
Lead (Ii) Carbonate Decomposes . A metal carbonate decomposes into a metal oxide and carbon dioxide gas. Copper(ii) carbonate → copper(ii) oxide + carbon dioxide. Learn about the chemical and physical properties of lead (ii) carbonate, a white solid that occurs as the mineral cerussite. Pbco3(s) → pbo(s) +co2(g) given the atomic weights for each. Lead carbonate is one of the major forms of lead present in freshwater. (because of the ease of decomposition and the penetrating odor of ammonia,. A) write the balanced chemical equation for this reaction. Find out how to prepare it. Its concentration is limited due to its low solubility and lead's tendency to form complexes with. Lead (ii) carbonate decomposes to give lead (ii) oxide and carbon dioxide: For example, calcium carbonate decomposes into calcium oxide and. Lead (ii) carbonate decomposes to form lead (ii) oxide and carbon dioxide. Solid amonium carbonate decomposes at room temperature to ammonia, carbon dioxide, and water. A metal carbonate that needs to be heated strongly in order to decompose is described as thermally stable.
from www.researchgate.net
Learn about the chemical and physical properties of lead (ii) carbonate, a white solid that occurs as the mineral cerussite. A metal carbonate that needs to be heated strongly in order to decompose is described as thermally stable. (because of the ease of decomposition and the penetrating odor of ammonia,. Lead carbonate is one of the major forms of lead present in freshwater. A metal carbonate decomposes into a metal oxide and carbon dioxide gas. Copper(ii) carbonate → copper(ii) oxide + carbon dioxide. Lead (ii) carbonate decomposes to form lead (ii) oxide and carbon dioxide. Lead (ii) carbonate decomposes to give lead (ii) oxide and carbon dioxide: Pbco3(s) → pbo(s) +co2(g) given the atomic weights for each. Its concentration is limited due to its low solubility and lead's tendency to form complexes with.
Scheme of Li 2 CO 3 in the Liion battery environment,... Download Scientific
Lead (Ii) Carbonate Decomposes For example, calcium carbonate decomposes into calcium oxide and. Lead carbonate is one of the major forms of lead present in freshwater. For example, calcium carbonate decomposes into calcium oxide and. A) write the balanced chemical equation for this reaction. Lead (ii) carbonate decomposes to give lead (ii) oxide and carbon dioxide: Find out how to prepare it. Lead (ii) carbonate decomposes to form lead (ii) oxide and carbon dioxide. Learn about the chemical and physical properties of lead (ii) carbonate, a white solid that occurs as the mineral cerussite. Copper(ii) carbonate → copper(ii) oxide + carbon dioxide. Solid amonium carbonate decomposes at room temperature to ammonia, carbon dioxide, and water. Pbco3(s) → pbo(s) +co2(g) given the atomic weights for each. (because of the ease of decomposition and the penetrating odor of ammonia,. A metal carbonate that needs to be heated strongly in order to decompose is described as thermally stable. Its concentration is limited due to its low solubility and lead's tendency to form complexes with. A metal carbonate decomposes into a metal oxide and carbon dioxide gas.
From www.chegg.com
Solved Question 3 10 Points Lead (II) carbonate Lead (Ii) Carbonate Decomposes For example, calcium carbonate decomposes into calcium oxide and. Its concentration is limited due to its low solubility and lead's tendency to form complexes with. Lead (ii) carbonate decomposes to form lead (ii) oxide and carbon dioxide. A metal carbonate that needs to be heated strongly in order to decompose is described as thermally stable. Pbco3(s) → pbo(s) +co2(g) given. Lead (Ii) Carbonate Decomposes.
From www.slideshare.net
reaction Lead (Ii) Carbonate Decomposes A metal carbonate decomposes into a metal oxide and carbon dioxide gas. Lead (ii) carbonate decomposes to give lead (ii) oxide and carbon dioxide: For example, calcium carbonate decomposes into calcium oxide and. Find out how to prepare it. Lead (ii) carbonate decomposes to form lead (ii) oxide and carbon dioxide. Its concentration is limited due to its low solubility. Lead (Ii) Carbonate Decomposes.
From www.slideserve.com
PPT Reactions PowerPoint Presentation ID2276562 Lead (Ii) Carbonate Decomposes For example, calcium carbonate decomposes into calcium oxide and. Lead carbonate is one of the major forms of lead present in freshwater. Pbco3(s) → pbo(s) +co2(g) given the atomic weights for each. A) write the balanced chemical equation for this reaction. A metal carbonate that needs to be heated strongly in order to decompose is described as thermally stable. Learn. Lead (Ii) Carbonate Decomposes.
From www.slideserve.com
PPT Types of Reactions Lab PowerPoint Presentation, free download ID2524104 Lead (Ii) Carbonate Decomposes A metal carbonate that needs to be heated strongly in order to decompose is described as thermally stable. Pbco3(s) → pbo(s) +co2(g) given the atomic weights for each. Lead carbonate is one of the major forms of lead present in freshwater. (because of the ease of decomposition and the penetrating odor of ammonia,. Copper(ii) carbonate → copper(ii) oxide + carbon. Lead (Ii) Carbonate Decomposes.
From www.slideserve.com
PPT Reactions PowerPoint Presentation, free download ID2276562 Lead (Ii) Carbonate Decomposes Solid amonium carbonate decomposes at room temperature to ammonia, carbon dioxide, and water. Lead carbonate is one of the major forms of lead present in freshwater. Copper(ii) carbonate → copper(ii) oxide + carbon dioxide. For example, calcium carbonate decomposes into calcium oxide and. A metal carbonate that needs to be heated strongly in order to decompose is described as thermally. Lead (Ii) Carbonate Decomposes.
From www.chegg.com
Solved Question 3 10 Points Lead (II) carbonate Lead (Ii) Carbonate Decomposes Pbco3(s) → pbo(s) +co2(g) given the atomic weights for each. Lead (ii) carbonate decomposes to give lead (ii) oxide and carbon dioxide: Solid amonium carbonate decomposes at room temperature to ammonia, carbon dioxide, and water. A metal carbonate that needs to be heated strongly in order to decompose is described as thermally stable. Copper(ii) carbonate → copper(ii) oxide + carbon. Lead (Ii) Carbonate Decomposes.
From www.numerade.com
Lead (II) carbonate to form lead (II) oxide and carbon dioxide a) Write the balanced Lead (Ii) Carbonate Decomposes A metal carbonate that needs to be heated strongly in order to decompose is described as thermally stable. For example, calcium carbonate decomposes into calcium oxide and. Its concentration is limited due to its low solubility and lead's tendency to form complexes with. Copper(ii) carbonate → copper(ii) oxide + carbon dioxide. Lead (ii) carbonate decomposes to give lead (ii) oxide. Lead (Ii) Carbonate Decomposes.
From www.numerade.com
SOLVED What mass of lead (II) oxide is produced when 0.400 moles of lead (II) nitrate Lead (Ii) Carbonate Decomposes Its concentration is limited due to its low solubility and lead's tendency to form complexes with. Pbco3(s) → pbo(s) +co2(g) given the atomic weights for each. (because of the ease of decomposition and the penetrating odor of ammonia,. Lead carbonate is one of the major forms of lead present in freshwater. For example, calcium carbonate decomposes into calcium oxide and.. Lead (Ii) Carbonate Decomposes.
From www.youtube.com
Heating Lead carbonate YouTube Lead (Ii) Carbonate Decomposes A metal carbonate decomposes into a metal oxide and carbon dioxide gas. Learn about the chemical and physical properties of lead (ii) carbonate, a white solid that occurs as the mineral cerussite. Find out how to prepare it. Lead carbonate is one of the major forms of lead present in freshwater. Its concentration is limited due to its low solubility. Lead (Ii) Carbonate Decomposes.
From www.numerade.com
SOLVED Solid sodium bicarbonate when heated to form solid sodium carbonate, carbon Lead (Ii) Carbonate Decomposes Lead (ii) carbonate decomposes to give lead (ii) oxide and carbon dioxide: (because of the ease of decomposition and the penetrating odor of ammonia,. A metal carbonate that needs to be heated strongly in order to decompose is described as thermally stable. Learn about the chemical and physical properties of lead (ii) carbonate, a white solid that occurs as the. Lead (Ii) Carbonate Decomposes.
From www.numerade.com
Magnesium carbonate into magnesium oxide and curton dioride Lead (Ii) Carbonate Decomposes Its concentration is limited due to its low solubility and lead's tendency to form complexes with. Copper(ii) carbonate → copper(ii) oxide + carbon dioxide. A metal carbonate that needs to be heated strongly in order to decompose is described as thermally stable. Pbco3(s) → pbo(s) +co2(g) given the atomic weights for each. For example, calcium carbonate decomposes into calcium oxide. Lead (Ii) Carbonate Decomposes.
From www.chegg.com
Solved 5. (4 pts) Lead (II) carbonate to give Lead (Ii) Carbonate Decomposes (because of the ease of decomposition and the penetrating odor of ammonia,. Find out how to prepare it. Pbco3(s) → pbo(s) +co2(g) given the atomic weights for each. For example, calcium carbonate decomposes into calcium oxide and. Its concentration is limited due to its low solubility and lead's tendency to form complexes with. Learn about the chemical and physical properties. Lead (Ii) Carbonate Decomposes.
From www.slideserve.com
PPT Reactions PowerPoint Presentation ID2276562 Lead (Ii) Carbonate Decomposes (because of the ease of decomposition and the penetrating odor of ammonia,. Learn about the chemical and physical properties of lead (ii) carbonate, a white solid that occurs as the mineral cerussite. Pbco3(s) → pbo(s) +co2(g) given the atomic weights for each. Lead (ii) carbonate decomposes to form lead (ii) oxide and carbon dioxide. A metal carbonate decomposes into a. Lead (Ii) Carbonate Decomposes.
From www.researchgate.net
Scheme of Li 2 CO 3 in the Liion battery environment,... Download Scientific Lead (Ii) Carbonate Decomposes Find out how to prepare it. Solid amonium carbonate decomposes at room temperature to ammonia, carbon dioxide, and water. Pbco3(s) → pbo(s) +co2(g) given the atomic weights for each. For example, calcium carbonate decomposes into calcium oxide and. Lead (ii) carbonate decomposes to form lead (ii) oxide and carbon dioxide. Its concentration is limited due to its low solubility and. Lead (Ii) Carbonate Decomposes.
From www.guidechem.com
Lead (II) Carbonate Basic 1319466,HANGZHOU ZHEJIANG,China Lead (Ii) Carbonate Decomposes Lead carbonate is one of the major forms of lead present in freshwater. Learn about the chemical and physical properties of lead (ii) carbonate, a white solid that occurs as the mineral cerussite. Its concentration is limited due to its low solubility and lead's tendency to form complexes with. Solid amonium carbonate decomposes at room temperature to ammonia, carbon dioxide,. Lead (Ii) Carbonate Decomposes.
From www.chegg.com
Solved 9) Lead (II) carbonate to give lead (II) Lead (Ii) Carbonate Decomposes Its concentration is limited due to its low solubility and lead's tendency to form complexes with. Lead (ii) carbonate decomposes to give lead (ii) oxide and carbon dioxide: Lead carbonate is one of the major forms of lead present in freshwater. Copper(ii) carbonate → copper(ii) oxide + carbon dioxide. For example, calcium carbonate decomposes into calcium oxide and. A) write. Lead (Ii) Carbonate Decomposes.
From www.numerade.com
SOLVED 51R) Lead (II) carbonate to give lead (II) oxide and carbon dioxide; PbCO2 (s Lead (Ii) Carbonate Decomposes A metal carbonate decomposes into a metal oxide and carbon dioxide gas. Solid amonium carbonate decomposes at room temperature to ammonia, carbon dioxide, and water. Lead carbonate is one of the major forms of lead present in freshwater. A metal carbonate that needs to be heated strongly in order to decompose is described as thermally stable. Its concentration is limited. Lead (Ii) Carbonate Decomposes.
From www.chegg.com
Solved Lead (II) carbonate to give lead (II) Lead (Ii) Carbonate Decomposes Pbco3(s) → pbo(s) +co2(g) given the atomic weights for each. Find out how to prepare it. For example, calcium carbonate decomposes into calcium oxide and. Its concentration is limited due to its low solubility and lead's tendency to form complexes with. Lead carbonate is one of the major forms of lead present in freshwater. A metal carbonate decomposes into a. Lead (Ii) Carbonate Decomposes.
From www.chegg.com
Solved Lead (II) carbonate, PbCO3, despite its toxicity, has Lead (Ii) Carbonate Decomposes A) write the balanced chemical equation for this reaction. Its concentration is limited due to its low solubility and lead's tendency to form complexes with. Pbco3(s) → pbo(s) +co2(g) given the atomic weights for each. Lead carbonate is one of the major forms of lead present in freshwater. (because of the ease of decomposition and the penetrating odor of ammonia,.. Lead (Ii) Carbonate Decomposes.
From www.youtube.com
How to Balance Pb(NO3)2 = PbO + NO2 + O2 of Lead (II) nitrate YouTube Lead (Ii) Carbonate Decomposes Its concentration is limited due to its low solubility and lead's tendency to form complexes with. A metal carbonate decomposes into a metal oxide and carbon dioxide gas. Find out how to prepare it. Copper(ii) carbonate → copper(ii) oxide + carbon dioxide. Lead (ii) carbonate decomposes to form lead (ii) oxide and carbon dioxide. Lead carbonate is one of the. Lead (Ii) Carbonate Decomposes.
From lab.honeywell.com
Lead(II) carbonate basic 11513 Honeywell Research Chemicals Lead (Ii) Carbonate Decomposes Its concentration is limited due to its low solubility and lead's tendency to form complexes with. Copper(ii) carbonate → copper(ii) oxide + carbon dioxide. Pbco3(s) → pbo(s) +co2(g) given the atomic weights for each. A) write the balanced chemical equation for this reaction. (because of the ease of decomposition and the penetrating odor of ammonia,. For example, calcium carbonate decomposes. Lead (Ii) Carbonate Decomposes.
From www.youtube.com
How to Write the Formula for Lead (II) carbonate YouTube Lead (Ii) Carbonate Decomposes Solid amonium carbonate decomposes at room temperature to ammonia, carbon dioxide, and water. Pbco3(s) → pbo(s) +co2(g) given the atomic weights for each. A) write the balanced chemical equation for this reaction. A metal carbonate that needs to be heated strongly in order to decompose is described as thermally stable. Lead carbonate is one of the major forms of lead. Lead (Ii) Carbonate Decomposes.
From www.bartleby.com
Answered 1) Lead (II) carbonate to… bartleby Lead (Ii) Carbonate Decomposes Lead (ii) carbonate decomposes to form lead (ii) oxide and carbon dioxide. A metal carbonate decomposes into a metal oxide and carbon dioxide gas. For example, calcium carbonate decomposes into calcium oxide and. A) write the balanced chemical equation for this reaction. Lead carbonate is one of the major forms of lead present in freshwater. Pbco3(s) → pbo(s) +co2(g) given. Lead (Ii) Carbonate Decomposes.
From www.chegg.com
Solved 14. Lead (11) carbonate to give lead Lead (Ii) Carbonate Decomposes Pbco3(s) → pbo(s) +co2(g) given the atomic weights for each. Lead (ii) carbonate decomposes to form lead (ii) oxide and carbon dioxide. For example, calcium carbonate decomposes into calcium oxide and. (because of the ease of decomposition and the penetrating odor of ammonia,. Learn about the chemical and physical properties of lead (ii) carbonate, a white solid that occurs as. Lead (Ii) Carbonate Decomposes.
From www.sciencephoto.com
Lead (II) carbonate precipitate, 2 of 3 Stock Image C030/7552 Science Photo Library Lead (Ii) Carbonate Decomposes Its concentration is limited due to its low solubility and lead's tendency to form complexes with. A metal carbonate that needs to be heated strongly in order to decompose is described as thermally stable. Copper(ii) carbonate → copper(ii) oxide + carbon dioxide. Lead carbonate is one of the major forms of lead present in freshwater. For example, calcium carbonate decomposes. Lead (Ii) Carbonate Decomposes.
From www.chegg.com
Solved Lead (II) carbonate to give lead (11) Lead (Ii) Carbonate Decomposes Lead (ii) carbonate decomposes to give lead (ii) oxide and carbon dioxide: Learn about the chemical and physical properties of lead (ii) carbonate, a white solid that occurs as the mineral cerussite. For example, calcium carbonate decomposes into calcium oxide and. (because of the ease of decomposition and the penetrating odor of ammonia,. Find out how to prepare it. Its. Lead (Ii) Carbonate Decomposes.
From www.numerade.com
SOLVED Lead (II) carbonate to give lead (II) oxide and carbon dioxide. PbCO3 (s Lead (Ii) Carbonate Decomposes Find out how to prepare it. (because of the ease of decomposition and the penetrating odor of ammonia,. Pbco3(s) → pbo(s) +co2(g) given the atomic weights for each. Lead (ii) carbonate decomposes to give lead (ii) oxide and carbon dioxide: Solid amonium carbonate decomposes at room temperature to ammonia, carbon dioxide, and water. For example, calcium carbonate decomposes into calcium. Lead (Ii) Carbonate Decomposes.
From www.youtube.com
20 g of magnesium carbonate sample on heating to give carbon dioxide and.... YouTube Lead (Ii) Carbonate Decomposes Its concentration is limited due to its low solubility and lead's tendency to form complexes with. For example, calcium carbonate decomposes into calcium oxide and. Learn about the chemical and physical properties of lead (ii) carbonate, a white solid that occurs as the mineral cerussite. Copper(ii) carbonate → copper(ii) oxide + carbon dioxide. A metal carbonate decomposes into a metal. Lead (Ii) Carbonate Decomposes.
From www.numerade.com
SOLVED When the following equation is balanced, the coefficient of C3H8O3 is . C3H8O3 (g) + O2 Lead (Ii) Carbonate Decomposes A) write the balanced chemical equation for this reaction. Pbco3(s) → pbo(s) +co2(g) given the atomic weights for each. Find out how to prepare it. (because of the ease of decomposition and the penetrating odor of ammonia,. Solid amonium carbonate decomposes at room temperature to ammonia, carbon dioxide, and water. For example, calcium carbonate decomposes into calcium oxide and. Lead. Lead (Ii) Carbonate Decomposes.
From www.thermofisher.com
Lead(II) carbonate, basic, extra pure, Thermo Scientific Chemicals Lead (Ii) Carbonate Decomposes For example, calcium carbonate decomposes into calcium oxide and. (because of the ease of decomposition and the penetrating odor of ammonia,. Lead (ii) carbonate decomposes to give lead (ii) oxide and carbon dioxide: Solid amonium carbonate decomposes at room temperature to ammonia, carbon dioxide, and water. Lead (ii) carbonate decomposes to form lead (ii) oxide and carbon dioxide. A metal. Lead (Ii) Carbonate Decomposes.
From www.numerade.com
SOLVED Which of the following substances has the highest theoretical boiling point? Water Lead (Ii) Carbonate Decomposes (because of the ease of decomposition and the penetrating odor of ammonia,. A) write the balanced chemical equation for this reaction. Lead carbonate is one of the major forms of lead present in freshwater. Its concentration is limited due to its low solubility and lead's tendency to form complexes with. Solid amonium carbonate decomposes at room temperature to ammonia, carbon. Lead (Ii) Carbonate Decomposes.
From www.chegg.com
Solved 7) Lead (I ) carbonate to give lead (II) Lead (Ii) Carbonate Decomposes A metal carbonate decomposes into a metal oxide and carbon dioxide gas. Lead carbonate is one of the major forms of lead present in freshwater. Pbco3(s) → pbo(s) +co2(g) given the atomic weights for each. Lead (ii) carbonate decomposes to give lead (ii) oxide and carbon dioxide: Lead (ii) carbonate decomposes to form lead (ii) oxide and carbon dioxide. Learn. Lead (Ii) Carbonate Decomposes.
From www.chegg.com
Solved 18) Lead (I) carbonate to give lead () Lead (Ii) Carbonate Decomposes A metal carbonate decomposes into a metal oxide and carbon dioxide gas. Learn about the chemical and physical properties of lead (ii) carbonate, a white solid that occurs as the mineral cerussite. Pbco3(s) → pbo(s) +co2(g) given the atomic weights for each. A metal carbonate that needs to be heated strongly in order to decompose is described as thermally stable.. Lead (Ii) Carbonate Decomposes.
From brainly.in
Write the balanced chemical equation of calcium carbonate on heating of lead to form Lead (Ii) Carbonate Decomposes Solid amonium carbonate decomposes at room temperature to ammonia, carbon dioxide, and water. Pbco3(s) → pbo(s) +co2(g) given the atomic weights for each. (because of the ease of decomposition and the penetrating odor of ammonia,. For example, calcium carbonate decomposes into calcium oxide and. A) write the balanced chemical equation for this reaction. Lead (ii) carbonate decomposes to form lead. Lead (Ii) Carbonate Decomposes.
From www.chegg.com
Solved (i) The reaction below show the of lead Lead (Ii) Carbonate Decomposes Find out how to prepare it. Its concentration is limited due to its low solubility and lead's tendency to form complexes with. (because of the ease of decomposition and the penetrating odor of ammonia,. Learn about the chemical and physical properties of lead (ii) carbonate, a white solid that occurs as the mineral cerussite. Lead carbonate is one of the. Lead (Ii) Carbonate Decomposes.