Is A Holographic Will Legal In Virginia . Table of contents » title 64.2. A will not wholly in the testator's handwriting is not valid unless the signature of the testator is made, or the will is acknowledged by. In fact, a will that is fully handwritten in the. The commonwealth of virginia does allow a handwritten will to be enforced. In virginia, there are specific legal requirements for a holographic will to be considered valid: In order for a holographic will to be valid, it. The state of virginia generally accepts handwritten wills as long as they meet the requirements outlined in the virginia code. Thankfully in virginia a holographic will is allowed, under certain conditions. The holographic will must be entirely handwritten by the testator. In order for it to be valid it has to have been written completely in the. Wills, trusts, and fiduciaries » chapter 4. When creating the will, the testator must be at least 18 years old and of sound mind. A “holographic” will is one that is handwritten. A holographic will is a will written entirely in the testator’s handwriting and signed by the testator in such a manner as to indicate that the name.
from www.templateroller.com
A “holographic” will is one that is handwritten. When creating the will, the testator must be at least 18 years old and of sound mind. In virginia, there are specific legal requirements for a holographic will to be considered valid: In fact, a will that is fully handwritten in the. A holographic will is a will written entirely in the testator’s handwriting and signed by the testator in such a manner as to indicate that the name. Wills, trusts, and fiduciaries » chapter 4. Table of contents » title 64.2. In order for it to be valid it has to have been written completely in the. The state of virginia generally accepts handwritten wills as long as they meet the requirements outlined in the virginia code. In order for a holographic will to be valid, it.
Form CC1602 Fill Out, Sign Online and Download Fillable PDF
Is A Holographic Will Legal In Virginia When creating the will, the testator must be at least 18 years old and of sound mind. The commonwealth of virginia does allow a handwritten will to be enforced. Wills, trusts, and fiduciaries » chapter 4. In order for it to be valid it has to have been written completely in the. In fact, a will that is fully handwritten in the. When creating the will, the testator must be at least 18 years old and of sound mind. The state of virginia generally accepts handwritten wills as long as they meet the requirements outlined in the virginia code. A “holographic” will is one that is handwritten. A holographic will is a will written entirely in the testator’s handwriting and signed by the testator in such a manner as to indicate that the name. In order for a holographic will to be valid, it. The holographic will must be entirely handwritten by the testator. A will not wholly in the testator's handwriting is not valid unless the signature of the testator is made, or the will is acknowledged by. Table of contents » title 64.2. In virginia, there are specific legal requirements for a holographic will to be considered valid: Thankfully in virginia a holographic will is allowed, under certain conditions.
From www.scribd.com
Draft Probate of Holographic Will Probate Legal Documents Is A Holographic Will Legal In Virginia In virginia, there are specific legal requirements for a holographic will to be considered valid: The commonwealth of virginia does allow a handwritten will to be enforced. The state of virginia generally accepts handwritten wills as long as they meet the requirements outlined in the virginia code. Table of contents » title 64.2. A holographic will is a will written. Is A Holographic Will Legal In Virginia.
From www.templateroller.com
Form CC1602 Fill Out, Sign Online and Download Fillable PDF Is A Holographic Will Legal In Virginia In fact, a will that is fully handwritten in the. In order for a holographic will to be valid, it. Table of contents » title 64.2. When creating the will, the testator must be at least 18 years old and of sound mind. In order for it to be valid it has to have been written completely in the. A. Is A Holographic Will Legal In Virginia.
From www.obenshainlaw.com
Are Holographic Wills Allowed in Virginia? Is A Holographic Will Legal In Virginia Table of contents » title 64.2. When creating the will, the testator must be at least 18 years old and of sound mind. A will not wholly in the testator's handwriting is not valid unless the signature of the testator is made, or the will is acknowledged by. In order for a holographic will to be valid, it. A holographic. Is A Holographic Will Legal In Virginia.
From www.uslegalforms.com
Virginia Deposition of Witness to Prove Holographic Will Holographic Is A Holographic Will Legal In Virginia The holographic will must be entirely handwritten by the testator. When creating the will, the testator must be at least 18 years old and of sound mind. Wills, trusts, and fiduciaries » chapter 4. A “holographic” will is one that is handwritten. In order for it to be valid it has to have been written completely in the. In order. Is A Holographic Will Legal In Virginia.
From attorneysre.com
"What Is A Holographic Will' Legal Guide" Is A Holographic Will Legal In Virginia The commonwealth of virginia does allow a handwritten will to be enforced. Wills, trusts, and fiduciaries » chapter 4. The holographic will must be entirely handwritten by the testator. In fact, a will that is fully handwritten in the. Table of contents » title 64.2. A will not wholly in the testator's handwriting is not valid unless the signature of. Is A Holographic Will Legal In Virginia.
From digitalwealthmedia.com
What is a Holographic Will? DigitalWealthMedia Is A Holographic Will Legal In Virginia Thankfully in virginia a holographic will is allowed, under certain conditions. A “holographic” will is one that is handwritten. Wills, trusts, and fiduciaries » chapter 4. In order for it to be valid it has to have been written completely in the. The commonwealth of virginia does allow a handwritten will to be enforced. The holographic will must be entirely. Is A Holographic Will Legal In Virginia.
From www.templateroller.com
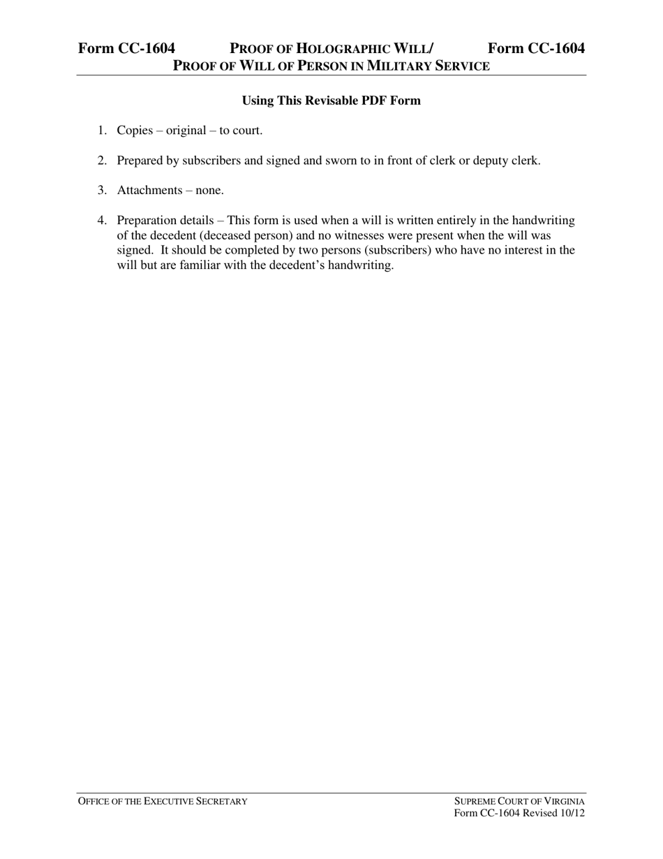
Download Instructions for Form CC1604 Proof of Holographic Will/Proof Is A Holographic Will Legal In Virginia In virginia, there are specific legal requirements for a holographic will to be considered valid: Table of contents » title 64.2. A “holographic” will is one that is handwritten. Wills, trusts, and fiduciaries » chapter 4. The holographic will must be entirely handwritten by the testator. The state of virginia generally accepts handwritten wills as long as they meet the. Is A Holographic Will Legal In Virginia.
From www.legalwills.ca
The Holographic Will what is it and when should you use one? Is A Holographic Will Legal In Virginia In fact, a will that is fully handwritten in the. The commonwealth of virginia does allow a handwritten will to be enforced. Table of contents » title 64.2. The holographic will must be entirely handwritten by the testator. Wills, trusts, and fiduciaries » chapter 4. The state of virginia generally accepts handwritten wills as long as they meet the requirements. Is A Holographic Will Legal In Virginia.
From heinonline.org
Incorporation, by Reference, of an Extrinsic Document into a Is A Holographic Will Legal In Virginia In virginia, there are specific legal requirements for a holographic will to be considered valid: The holographic will must be entirely handwritten by the testator. Wills, trusts, and fiduciaries » chapter 4. In order for a holographic will to be valid, it. A “holographic” will is one that is handwritten. In order for it to be valid it has to. Is A Holographic Will Legal In Virginia.
From www.templateroller.com
Form CC1602 Fill Out, Sign Online and Download Fillable PDF Is A Holographic Will Legal In Virginia Wills, trusts, and fiduciaries » chapter 4. The commonwealth of virginia does allow a handwritten will to be enforced. The holographic will must be entirely handwritten by the testator. In virginia, there are specific legal requirements for a holographic will to be considered valid: A will not wholly in the testator's handwriting is not valid unless the signature of the. Is A Holographic Will Legal In Virginia.
From www.scribd.com
Petition for Probate Holographic Will Is A Holographic Will Legal In Virginia The state of virginia generally accepts handwritten wills as long as they meet the requirements outlined in the virginia code. In order for a holographic will to be valid, it. The holographic will must be entirely handwritten by the testator. A “holographic” will is one that is handwritten. When creating the will, the testator must be at least 18 years. Is A Holographic Will Legal In Virginia.
From www.carboncollective.co
Holographic Will What It Is & States That Recognize It Is A Holographic Will Legal In Virginia When creating the will, the testator must be at least 18 years old and of sound mind. In virginia, there are specific legal requirements for a holographic will to be considered valid: Table of contents » title 64.2. A will not wholly in the testator's handwriting is not valid unless the signature of the testator is made, or the will. Is A Holographic Will Legal In Virginia.
From lilaccitylaw.com
What is a Holographic Will? Is A Holographic Will Legal In Virginia Table of contents » title 64.2. A holographic will is a will written entirely in the testator’s handwriting and signed by the testator in such a manner as to indicate that the name. The holographic will must be entirely handwritten by the testator. In fact, a will that is fully handwritten in the. Wills, trusts, and fiduciaries » chapter 4.. Is A Holographic Will Legal In Virginia.
From probateattorneyvegas.com
Holographic Wills The Giuliani Law Firm Is A Holographic Will Legal In Virginia In order for it to be valid it has to have been written completely in the. In virginia, there are specific legal requirements for a holographic will to be considered valid: Thankfully in virginia a holographic will is allowed, under certain conditions. In order for a holographic will to be valid, it. A holographic will is a will written entirely. Is A Holographic Will Legal In Virginia.
From clocr.com
What Is A Holographic Will? Clocr Is A Holographic Will Legal In Virginia The commonwealth of virginia does allow a handwritten will to be enforced. When creating the will, the testator must be at least 18 years old and of sound mind. A will not wholly in the testator's handwriting is not valid unless the signature of the testator is made, or the will is acknowledged by. Table of contents » title 64.2.. Is A Holographic Will Legal In Virginia.
From www.uslegalwills.com
holographic will Is A Holographic Will Legal In Virginia The holographic will must be entirely handwritten by the testator. When creating the will, the testator must be at least 18 years old and of sound mind. In order for it to be valid it has to have been written completely in the. In fact, a will that is fully handwritten in the. Table of contents » title 64.2. In. Is A Holographic Will Legal In Virginia.
From attorneysre.com
"What Is A Holographic Will' Legal Guide" Is A Holographic Will Legal In Virginia Table of contents » title 64.2. A will not wholly in the testator's handwriting is not valid unless the signature of the testator is made, or the will is acknowledged by. When creating the will, the testator must be at least 18 years old and of sound mind. The holographic will must be entirely handwritten by the testator. In fact,. Is A Holographic Will Legal In Virginia.
From legal-explanations.com
Holographic Will Definition What Does Holographic Will Mean? Is A Holographic Will Legal In Virginia Wills, trusts, and fiduciaries » chapter 4. When creating the will, the testator must be at least 18 years old and of sound mind. A “holographic” will is one that is handwritten. The state of virginia generally accepts handwritten wills as long as they meet the requirements outlined in the virginia code. The holographic will must be entirely handwritten by. Is A Holographic Will Legal In Virginia.
From exoclpcmp.blob.core.windows.net
Is A Hand Written Will Legal In Virginia at James Nagy blog Is A Holographic Will Legal In Virginia In fact, a will that is fully handwritten in the. Table of contents » title 64.2. The holographic will must be entirely handwritten by the testator. A holographic will is a will written entirely in the testator’s handwriting and signed by the testator in such a manner as to indicate that the name. A will not wholly in the testator's. Is A Holographic Will Legal In Virginia.
From www.scribd.com
Holographic Will Will And Testament Ethical Principles Is A Holographic Will Legal In Virginia The holographic will must be entirely handwritten by the testator. In virginia, there are specific legal requirements for a holographic will to be considered valid: In fact, a will that is fully handwritten in the. A “holographic” will is one that is handwritten. In order for a holographic will to be valid, it. A will not wholly in the testator's. Is A Holographic Will Legal In Virginia.
From www.templateroller.com
Form CC1604 Fill Out, Sign Online and Download Fillable PDF Is A Holographic Will Legal In Virginia In order for it to be valid it has to have been written completely in the. The holographic will must be entirely handwritten by the testator. In virginia, there are specific legal requirements for a holographic will to be considered valid: In order for a holographic will to be valid, it. When creating the will, the testator must be at. Is A Holographic Will Legal In Virginia.
From www.uslegalwills.com
The holographic Will Is A Holographic Will Legal In Virginia The state of virginia generally accepts handwritten wills as long as they meet the requirements outlined in the virginia code. A “holographic” will is one that is handwritten. In virginia, there are specific legal requirements for a holographic will to be considered valid: Table of contents » title 64.2. The holographic will must be entirely handwritten by the testator. A. Is A Holographic Will Legal In Virginia.
From templates.legal
Virginia Last Will and Testament Templates (Free) [Word, PDF, ODT] Is A Holographic Will Legal In Virginia Thankfully in virginia a holographic will is allowed, under certain conditions. A will not wholly in the testator's handwriting is not valid unless the signature of the testator is made, or the will is acknowledged by. A holographic will is a will written entirely in the testator’s handwriting and signed by the testator in such a manner as to indicate. Is A Holographic Will Legal In Virginia.
From www.legalwills.ca
The Holographic Will what is it and when should you use one? Is A Holographic Will Legal In Virginia In order for a holographic will to be valid, it. In order for it to be valid it has to have been written completely in the. In virginia, there are specific legal requirements for a holographic will to be considered valid: Thankfully in virginia a holographic will is allowed, under certain conditions. The state of virginia generally accepts handwritten wills. Is A Holographic Will Legal In Virginia.
From eforms.com
Free Virginia Last Will and Testament Template PDF Word eForms Is A Holographic Will Legal In Virginia A holographic will is a will written entirely in the testator’s handwriting and signed by the testator in such a manner as to indicate that the name. The holographic will must be entirely handwritten by the testator. Table of contents » title 64.2. Thankfully in virginia a holographic will is allowed, under certain conditions. A will not wholly in the. Is A Holographic Will Legal In Virginia.
From www.scribd.com
Holographic Will Sample Is A Holographic Will Legal In Virginia The commonwealth of virginia does allow a handwritten will to be enforced. Wills, trusts, and fiduciaries » chapter 4. In order for a holographic will to be valid, it. Thankfully in virginia a holographic will is allowed, under certain conditions. The holographic will must be entirely handwritten by the testator. In virginia, there are specific legal requirements for a holographic. Is A Holographic Will Legal In Virginia.
From www.doyourownwill.com
Free Virginia Last Will and Testament Form PDF WORD ODT Is A Holographic Will Legal In Virginia A holographic will is a will written entirely in the testator’s handwriting and signed by the testator in such a manner as to indicate that the name. A will not wholly in the testator's handwriting is not valid unless the signature of the testator is made, or the will is acknowledged by. In order for a holographic will to be. Is A Holographic Will Legal In Virginia.
From www.uslegalforms.com
Virginia Deposition of Witness to Prove Holographic Will Holographic Is A Holographic Will Legal In Virginia When creating the will, the testator must be at least 18 years old and of sound mind. A will not wholly in the testator's handwriting is not valid unless the signature of the testator is made, or the will is acknowledged by. The holographic will must be entirely handwritten by the testator. Wills, trusts, and fiduciaries » chapter 4. A. Is A Holographic Will Legal In Virginia.
From www.uslegalforms.com
Texas Order Admitting Holographic Will to Probate and Authorizing Is A Holographic Will Legal In Virginia In fact, a will that is fully handwritten in the. Thankfully in virginia a holographic will is allowed, under certain conditions. Wills, trusts, and fiduciaries » chapter 4. A will not wholly in the testator's handwriting is not valid unless the signature of the testator is made, or the will is acknowledged by. The commonwealth of virginia does allow a. Is A Holographic Will Legal In Virginia.
From www.templateroller.com
Download Instructions for Form CC1602 Deposition of Witness to Prove Is A Holographic Will Legal In Virginia In virginia, there are specific legal requirements for a holographic will to be considered valid: In order for it to be valid it has to have been written completely in the. When creating the will, the testator must be at least 18 years old and of sound mind. The holographic will must be entirely handwritten by the testator. Wills, trusts,. Is A Holographic Will Legal In Virginia.
From www.scribd.com
Last Holographic Will Is A Holographic Will Legal In Virginia In order for it to be valid it has to have been written completely in the. In order for a holographic will to be valid, it. A “holographic” will is one that is handwritten. When creating the will, the testator must be at least 18 years old and of sound mind. In fact, a will that is fully handwritten in. Is A Holographic Will Legal In Virginia.
From www.scribd.com
Holographic Will Will And Testament Private Law Is A Holographic Will Legal In Virginia In virginia, there are specific legal requirements for a holographic will to be considered valid: In order for it to be valid it has to have been written completely in the. The state of virginia generally accepts handwritten wills as long as they meet the requirements outlined in the virginia code. Table of contents » title 64.2. A holographic will. Is A Holographic Will Legal In Virginia.
From www.villaflorlaw.com
Introduction to Holographic Wills Villaflor Law Firm Is A Holographic Will Legal In Virginia A holographic will is a will written entirely in the testator’s handwriting and signed by the testator in such a manner as to indicate that the name. A “holographic” will is one that is handwritten. Thankfully in virginia a holographic will is allowed, under certain conditions. The commonwealth of virginia does allow a handwritten will to be enforced. The holographic. Is A Holographic Will Legal In Virginia.
From www.epgdlaw.com
What is a Holographic Will? EPGD Business Law Is A Holographic Will Legal In Virginia The state of virginia generally accepts handwritten wills as long as they meet the requirements outlined in the virginia code. A will not wholly in the testator's handwriting is not valid unless the signature of the testator is made, or the will is acknowledged by. A holographic will is a will written entirely in the testator’s handwriting and signed by. Is A Holographic Will Legal In Virginia.
From probateattorneyvegas.com
Holographic Wills The Giuliani Law Firm Is A Holographic Will Legal In Virginia A “holographic” will is one that is handwritten. The commonwealth of virginia does allow a handwritten will to be enforced. A holographic will is a will written entirely in the testator’s handwriting and signed by the testator in such a manner as to indicate that the name. In fact, a will that is fully handwritten in the. Table of contents. Is A Holographic Will Legal In Virginia.