In An Industrial Cooling Process Water Is Circulated Through A System . introduction to cooling water system fundamentals. an industrial cooling process has two phases : If the water is pumped with a speed of 0.45 m/s under a. Heat to be removed is transferred to a cooling fluid through direct or, more generally, indirect contact by means of heat exchanging equipment: in an industrial cooling process, water is circulated through a system. in an industrial cooling process, water is circulated through a system. If the water is pumped with a speed of 0.45 m/s under a. If water is pumped with a speed of 4.40 m/s under a. Cooling of process fluids, reaction vessels, turbine exhaust steam,. an open recirculating cooling system uses the same water repeatedly to cool process equipment. the function of most pumps installed in an industrial cooling system is to circulate water through the different steps of the. Calories are released from the cooling fluid into the environment. in an industrial cooling process, water is circulated through a system.
from www.pinterest.com.au
introduction to cooling water system fundamentals. the function of most pumps installed in an industrial cooling system is to circulate water through the different steps of the. Calories are released from the cooling fluid into the environment. in an industrial cooling process, water is circulated through a system. If the water is pumped with a speed of 0.45 m/s under a. If water is pumped with a speed of 4.40 m/s under a. Cooling of process fluids, reaction vessels, turbine exhaust steam,. in an industrial cooling process, water is circulated through a system. an open recirculating cooling system uses the same water repeatedly to cool process equipment. Heat to be removed is transferred to a cooling fluid through direct or, more generally, indirect contact by means of heat exchanging equipment:
Industrial Chiller Systems Water chillers, System, Industrial
In An Industrial Cooling Process Water Is Circulated Through A System If the water is pumped with a speed of 0.45 m/s under a. an industrial cooling process has two phases : If the water is pumped with a speed of 0.45 m/s under a. Heat to be removed is transferred to a cooling fluid through direct or, more generally, indirect contact by means of heat exchanging equipment: introduction to cooling water system fundamentals. Calories are released from the cooling fluid into the environment. the function of most pumps installed in an industrial cooling system is to circulate water through the different steps of the. an open recirculating cooling system uses the same water repeatedly to cool process equipment. Cooling of process fluids, reaction vessels, turbine exhaust steam,. If water is pumped with a speed of 4.40 m/s under a. in an industrial cooling process, water is circulated through a system. in an industrial cooling process, water is circulated through a system. If the water is pumped with a speed of 0.45 m/s under a. in an industrial cooling process, water is circulated through a system.
From guidegaldurs3y.z4.web.core.windows.net
Schematic Of A Cooling Tower Water Cycle In An Industrial Cooling Process Water Is Circulated Through A System If the water is pumped with a speed of 0.45 m/s under a. introduction to cooling water system fundamentals. Calories are released from the cooling fluid into the environment. in an industrial cooling process, water is circulated through a system. Heat to be removed is transferred to a cooling fluid through direct or, more generally, indirect contact by. In An Industrial Cooling Process Water Is Circulated Through A System.
From fr.chemtreat.com
Principes fondamentaux des systèmes d’eau de refroidissement Manuel ChemTreat In An Industrial Cooling Process Water Is Circulated Through A System an industrial cooling process has two phases : in an industrial cooling process, water is circulated through a system. If the water is pumped with a speed of 0.45 m/s under a. If water is pumped with a speed of 4.40 m/s under a. Heat to be removed is transferred to a cooling fluid through direct or, more. In An Industrial Cooling Process Water Is Circulated Through A System.
From www.shutterstock.com
Industrial Chilling Water Plant Process Refrigeration Stock Illustration 2156778691 Shutterstock In An Industrial Cooling Process Water Is Circulated Through A System an open recirculating cooling system uses the same water repeatedly to cool process equipment. the function of most pumps installed in an industrial cooling system is to circulate water through the different steps of the. If the water is pumped with a speed of 0.45 m/s under a. Cooling of process fluids, reaction vessels, turbine exhaust steam,. If. In An Industrial Cooling Process Water Is Circulated Through A System.
From instrumentationtools.com
Boiler Feed Water Circulation System In An Industrial Cooling Process Water Is Circulated Through A System introduction to cooling water system fundamentals. in an industrial cooling process, water is circulated through a system. If water is pumped with a speed of 4.40 m/s under a. Cooling of process fluids, reaction vessels, turbine exhaust steam,. Heat to be removed is transferred to a cooling fluid through direct or, more generally, indirect contact by means of. In An Industrial Cooling Process Water Is Circulated Through A System.
From www.senho-chiller.com
Industrial Water Chiller Manufacturers Industrial Water Chiller SENHO In An Industrial Cooling Process Water Is Circulated Through A System Cooling of process fluids, reaction vessels, turbine exhaust steam,. in an industrial cooling process, water is circulated through a system. Calories are released from the cooling fluid into the environment. an open recirculating cooling system uses the same water repeatedly to cool process equipment. If the water is pumped with a speed of 0.45 m/s under a. . In An Industrial Cooling Process Water Is Circulated Through A System.
From www.numerade.com
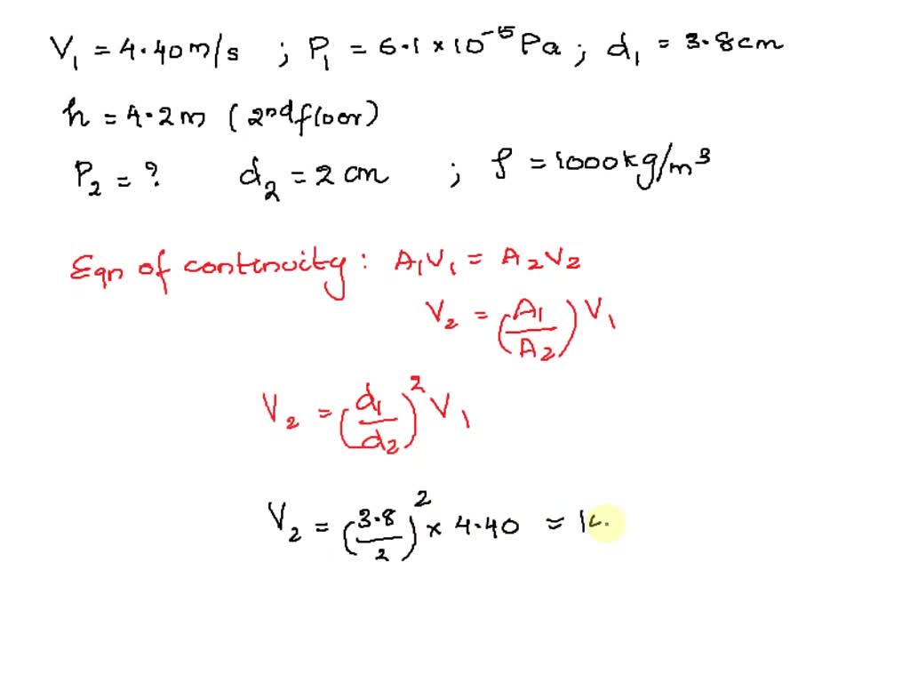
SOLVED In an industrial cooling process, water is circulated through a system. If water is In An Industrial Cooling Process Water Is Circulated Through A System Cooling of process fluids, reaction vessels, turbine exhaust steam,. introduction to cooling water system fundamentals. in an industrial cooling process, water is circulated through a system. an open recirculating cooling system uses the same water repeatedly to cool process equipment. Heat to be removed is transferred to a cooling fluid through direct or, more generally, indirect contact. In An Industrial Cooling Process Water Is Circulated Through A System.
From www.froztec.com
How to choose your industrial cooling equipment In An Industrial Cooling Process Water Is Circulated Through A System Heat to be removed is transferred to a cooling fluid through direct or, more generally, indirect contact by means of heat exchanging equipment: an industrial cooling process has two phases : If the water is pumped with a speed of 0.45 m/s under a. in an industrial cooling process, water is circulated through a system. introduction to. In An Industrial Cooling Process Water Is Circulated Through A System.
From exoxwmuqz.blob.core.windows.net
Pump Circulation Water Cooling System at Stephanie Farris blog In An Industrial Cooling Process Water Is Circulated Through A System If water is pumped with a speed of 4.40 m/s under a. Calories are released from the cooling fluid into the environment. Heat to be removed is transferred to a cooling fluid through direct or, more generally, indirect contact by means of heat exchanging equipment: the function of most pumps installed in an industrial cooling system is to circulate. In An Industrial Cooling Process Water Is Circulated Through A System.
From green-way.com.ua
Forced circulation water cooling system In An Industrial Cooling Process Water Is Circulated Through A System in an industrial cooling process, water is circulated through a system. If the water is pumped with a speed of 0.45 m/s under a. in an industrial cooling process, water is circulated through a system. an industrial cooling process has two phases : an open recirculating cooling system uses the same water repeatedly to cool process. In An Industrial Cooling Process Water Is Circulated Through A System.
From www.stylesgurus.com
Water Cooled Chiller Schematic Diagram Science and Education In An Industrial Cooling Process Water Is Circulated Through A System introduction to cooling water system fundamentals. in an industrial cooling process, water is circulated through a system. an open recirculating cooling system uses the same water repeatedly to cool process equipment. Calories are released from the cooling fluid into the environment. Heat to be removed is transferred to a cooling fluid through direct or, more generally, indirect. In An Industrial Cooling Process Water Is Circulated Through A System.
From www.watertechonline.com
Industrial Process Cooling Water Recovery Water Technology In An Industrial Cooling Process Water Is Circulated Through A System Heat to be removed is transferred to a cooling fluid through direct or, more generally, indirect contact by means of heat exchanging equipment: If water is pumped with a speed of 4.40 m/s under a. in an industrial cooling process, water is circulated through a system. Cooling of process fluids, reaction vessels, turbine exhaust steam,. an industrial cooling. In An Industrial Cooling Process Water Is Circulated Through A System.
From www.researchgate.net
Process Flow Schematic for Wet Recirculating Cooling Water System Download Scientific Diagram In An Industrial Cooling Process Water Is Circulated Through A System If water is pumped with a speed of 4.40 m/s under a. in an industrial cooling process, water is circulated through a system. If the water is pumped with a speed of 0.45 m/s under a. an industrial cooling process has two phases : an open recirculating cooling system uses the same water repeatedly to cool process. In An Industrial Cooling Process Water Is Circulated Through A System.
From www.semanticscholar.org
Figure 1 from Development of an experimental facility for cooling circulated water of industrial In An Industrial Cooling Process Water Is Circulated Through A System an open recirculating cooling system uses the same water repeatedly to cool process equipment. introduction to cooling water system fundamentals. Calories are released from the cooling fluid into the environment. If the water is pumped with a speed of 0.45 m/s under a. in an industrial cooling process, water is circulated through a system. Heat to be. In An Industrial Cooling Process Water Is Circulated Through A System.
From www.watertechonline.com
Industrial Process Cooling Water Recovery Water Technology In An Industrial Cooling Process Water Is Circulated Through A System If the water is pumped with a speed of 0.45 m/s under a. in an industrial cooling process, water is circulated through a system. in an industrial cooling process, water is circulated through a system. introduction to cooling water system fundamentals. If the water is pumped with a speed of 0.45 m/s under a. the function. In An Industrial Cooling Process Water Is Circulated Through A System.
From www.suezwaterhandbook.com
industrial water treatment cooling circuits Degremont® In An Industrial Cooling Process Water Is Circulated Through A System an industrial cooling process has two phases : introduction to cooling water system fundamentals. If the water is pumped with a speed of 0.45 m/s under a. an open recirculating cooling system uses the same water repeatedly to cool process equipment. the function of most pumps installed in an industrial cooling system is to circulate water. In An Industrial Cooling Process Water Is Circulated Through A System.
From international.lubron.eu
Process water for the industry Lubron Water Technologies In An Industrial Cooling Process Water Is Circulated Through A System in an industrial cooling process, water is circulated through a system. Calories are released from the cooling fluid into the environment. in an industrial cooling process, water is circulated through a system. an open recirculating cooling system uses the same water repeatedly to cool process equipment. the function of most pumps installed in an industrial cooling. In An Industrial Cooling Process Water Is Circulated Through A System.
From www.ipcuk.com
Industrial Cooling Systems Design, Manufacture, & Installation IPC UK In An Industrial Cooling Process Water Is Circulated Through A System introduction to cooling water system fundamentals. in an industrial cooling process, water is circulated through a system. Heat to be removed is transferred to a cooling fluid through direct or, more generally, indirect contact by means of heat exchanging equipment: an open recirculating cooling system uses the same water repeatedly to cool process equipment. in an. In An Industrial Cooling Process Water Is Circulated Through A System.
From www.eastgroup.com
Industrial — The East Group In An Industrial Cooling Process Water Is Circulated Through A System Cooling of process fluids, reaction vessels, turbine exhaust steam,. If the water is pumped with a speed of 0.45 m/s under a. If the water is pumped with a speed of 0.45 m/s under a. the function of most pumps installed in an industrial cooling system is to circulate water through the different steps of the. an industrial. In An Industrial Cooling Process Water Is Circulated Through A System.
From www.researchgate.net
Diagram of sea water cooling system [8]. Download Scientific Diagram In An Industrial Cooling Process Water Is Circulated Through A System in an industrial cooling process, water is circulated through a system. If the water is pumped with a speed of 0.45 m/s under a. in an industrial cooling process, water is circulated through a system. Calories are released from the cooling fluid into the environment. an industrial cooling process has two phases : Cooling of process fluids,. In An Industrial Cooling Process Water Is Circulated Through A System.
From www.nuclear-power.com
Cooling System Circulating Water System In An Industrial Cooling Process Water Is Circulated Through A System in an industrial cooling process, water is circulated through a system. If the water is pumped with a speed of 0.45 m/s under a. an open recirculating cooling system uses the same water repeatedly to cool process equipment. an industrial cooling process has two phases : introduction to cooling water system fundamentals. Cooling of process fluids,. In An Industrial Cooling Process Water Is Circulated Through A System.
From www.researchgate.net
In the thermal control system (TCS), water is circulated through a... Download Scientific Diagram In An Industrial Cooling Process Water Is Circulated Through A System Calories are released from the cooling fluid into the environment. in an industrial cooling process, water is circulated through a system. introduction to cooling water system fundamentals. an open recirculating cooling system uses the same water repeatedly to cool process equipment. an industrial cooling process has two phases : in an industrial cooling process, water. In An Industrial Cooling Process Water Is Circulated Through A System.
From www.veoliawatertech.com
Cooling Tower Water Treatment Veolia Water Technologies In An Industrial Cooling Process Water Is Circulated Through A System If the water is pumped with a speed of 0.45 m/s under a. introduction to cooling water system fundamentals. in an industrial cooling process, water is circulated through a system. in an industrial cooling process, water is circulated through a system. an open recirculating cooling system uses the same water repeatedly to cool process equipment. If. In An Industrial Cooling Process Water Is Circulated Through A System.
From savree.com
Reactor Cooling Pump (RCP) Explained saVRee In An Industrial Cooling Process Water Is Circulated Through A System introduction to cooling water system fundamentals. the function of most pumps installed in an industrial cooling system is to circulate water through the different steps of the. an open recirculating cooling system uses the same water repeatedly to cool process equipment. If water is pumped with a speed of 4.40 m/s under a. If the water is. In An Industrial Cooling Process Water Is Circulated Through A System.
From exoftbbse.blob.core.windows.net
What Is Expansion Tank Used In Chilled Water System at Aimee Lewis blog In An Industrial Cooling Process Water Is Circulated Through A System in an industrial cooling process, water is circulated through a system. an industrial cooling process has two phases : in an industrial cooling process, water is circulated through a system. the function of most pumps installed in an industrial cooling system is to circulate water through the different steps of the. Heat to be removed is. In An Industrial Cooling Process Water Is Circulated Through A System.
From afisheroffishhhh.blogspot.com
Water Cooled Chiller Schematic Diagram Circuit Schematic For Water Cooled Liquid Chillers To 3 In An Industrial Cooling Process Water Is Circulated Through A System an industrial cooling process has two phases : in an industrial cooling process, water is circulated through a system. the function of most pumps installed in an industrial cooling system is to circulate water through the different steps of the. If the water is pumped with a speed of 0.45 m/s under a. Heat to be removed. In An Industrial Cooling Process Water Is Circulated Through A System.
From www.mechanicalbooster.com
How Engine Cooling System Works? Mechanical Booster In An Industrial Cooling Process Water Is Circulated Through A System in an industrial cooling process, water is circulated through a system. If the water is pumped with a speed of 0.45 m/s under a. Calories are released from the cooling fluid into the environment. Cooling of process fluids, reaction vessels, turbine exhaust steam,. in an industrial cooling process, water is circulated through a system. If the water is. In An Industrial Cooling Process Water Is Circulated Through A System.
From cowayentech.com
Water Treatment Specialist Coway EnTech In An Industrial Cooling Process Water Is Circulated Through A System an open recirculating cooling system uses the same water repeatedly to cool process equipment. introduction to cooling water system fundamentals. Cooling of process fluids, reaction vessels, turbine exhaust steam,. the function of most pumps installed in an industrial cooling system is to circulate water through the different steps of the. If the water is pumped with a. In An Industrial Cooling Process Water Is Circulated Through A System.
From circuitdiagramcunha.z22.web.core.windows.net
Chilled Water System Schematic In An Industrial Cooling Process Water Is Circulated Through A System If water is pumped with a speed of 4.40 m/s under a. Calories are released from the cooling fluid into the environment. Heat to be removed is transferred to a cooling fluid through direct or, more generally, indirect contact by means of heat exchanging equipment: in an industrial cooling process, water is circulated through a system. in an. In An Industrial Cooling Process Water Is Circulated Through A System.
From www.powermag.com
How to Prevent Circulating Water Flow Reversal In An Industrial Cooling Process Water Is Circulated Through A System an open recirculating cooling system uses the same water repeatedly to cool process equipment. Calories are released from the cooling fluid into the environment. in an industrial cooling process, water is circulated through a system. in an industrial cooling process, water is circulated through a system. an industrial cooling process has two phases : the. In An Industrial Cooling Process Water Is Circulated Through A System.
From www.pinterest.com.au
Industrial Chiller Systems Water chillers, System, Industrial In An Industrial Cooling Process Water Is Circulated Through A System in an industrial cooling process, water is circulated through a system. in an industrial cooling process, water is circulated through a system. in an industrial cooling process, water is circulated through a system. If the water is pumped with a speed of 0.45 m/s under a. Heat to be removed is transferred to a cooling fluid through. In An Industrial Cooling Process Water Is Circulated Through A System.
From dxovvoxnj.blob.core.windows.net
Water Chiller Flow Diagram at Christie Ferguson blog In An Industrial Cooling Process Water Is Circulated Through A System If water is pumped with a speed of 4.40 m/s under a. in an industrial cooling process, water is circulated through a system. Calories are released from the cooling fluid into the environment. in an industrial cooling process, water is circulated through a system. Heat to be removed is transferred to a cooling fluid through direct or, more. In An Industrial Cooling Process Water Is Circulated Through A System.
From www.bartleby.com
Answered 10. In an industrial cooling process,… bartleby In An Industrial Cooling Process Water Is Circulated Through A System in an industrial cooling process, water is circulated through a system. If the water is pumped with a speed of 0.45 m/s under a. If water is pumped with a speed of 4.40 m/s under a. If the water is pumped with a speed of 0.45 m/s under a. in an industrial cooling process, water is circulated through. In An Industrial Cooling Process Water Is Circulated Through A System.
From www.towertechindia.com
Process Of Industrial Cooling Tower Water Treatment In An Industrial Cooling Process Water Is Circulated Through A System in an industrial cooling process, water is circulated through a system. Calories are released from the cooling fluid into the environment. an industrial cooling process has two phases : Heat to be removed is transferred to a cooling fluid through direct or, more generally, indirect contact by means of heat exchanging equipment: Cooling of process fluids, reaction vessels,. In An Industrial Cooling Process Water Is Circulated Through A System.
From userlibraryheike.z19.web.core.windows.net
Coolant Flowing Through Engine Diagram In An Industrial Cooling Process Water Is Circulated Through A System an open recirculating cooling system uses the same water repeatedly to cool process equipment. Heat to be removed is transferred to a cooling fluid through direct or, more generally, indirect contact by means of heat exchanging equipment: If water is pumped with a speed of 4.40 m/s under a. in an industrial cooling process, water is circulated through. In An Industrial Cooling Process Water Is Circulated Through A System.
From www.froztec.com
How to choose your industrial cooling equipment In An Industrial Cooling Process Water Is Circulated Through A System introduction to cooling water system fundamentals. the function of most pumps installed in an industrial cooling system is to circulate water through the different steps of the. in an industrial cooling process, water is circulated through a system. Calories are released from the cooling fluid into the environment. Cooling of process fluids, reaction vessels, turbine exhaust steam,.. In An Industrial Cooling Process Water Is Circulated Through A System.