Pine Tree Development Zone Tax Credit Worksheet . What is the pine tree development zone (“ptdz”) tax credit? For individuals, estates, or trusts for tax year 2021. The credit is available to certain businesses and individual owners of businesses. Tax credits must calculate the credits using this worksheet. Pine tree development zone tax credit (“ptdz”) worksheet instructions. Individual, estate and trust taxpayers claiming a ptdz credit from either a sole. All areas of the state. Pine tree development zone tax credit worksheet pte: Benefits, including the income tax credit,. Corporate taxpayers (including insurance companies) claiming ptdz tax credits must calculate the credits using this worksheet. The benefit period is ten years. Pine tree development zone tax credit (“ptdz”) worksheet instructions. Check the tier 1 box on. Businesses may not be certified for the pine tree development zone program after december 31, 2024;
from www.templateroller.com
The credit is available to certain businesses and individual owners of businesses. Tax credits must calculate the credits using this worksheet. Pine tree development zone tax credit (“ptdz”) worksheet instructions. The benefit period is ten years. Pine tree development zone tax credit worksheet pte: Pine tree development zone tax credit (“ptdz”) worksheet instructions. For individuals, estates, or trusts for tax year 2021. What is the pine tree development zone (“ptdz”) tax credit? Corporate taxpayers (including insurance companies) claiming ptdz tax credits must calculate the credits using this worksheet. Check the tier 1 box on.
2020 Maine Research Expense Tax Credit Worksheet Download Fillable PDF
Pine Tree Development Zone Tax Credit Worksheet Tax credits must calculate the credits using this worksheet. Tax credits must calculate the credits using this worksheet. Pine tree development zone tax credit (“ptdz”) worksheet instructions. The credit is available to certain businesses and individual owners of businesses. For individuals, estates, or trusts for tax year 2021. Businesses may not be certified for the pine tree development zone program after december 31, 2024; Individual, estate and trust taxpayers claiming a ptdz credit from either a sole. Check the tier 1 box on. All areas of the state. Benefits, including the income tax credit,. Pine tree development zone tax credit (“ptdz”) worksheet instructions. Pine tree development zone tax credit worksheet pte: The benefit period is ten years. What is the pine tree development zone (“ptdz”) tax credit? Corporate taxpayers (including insurance companies) claiming ptdz tax credits must calculate the credits using this worksheet.
From www.templateroller.com
2022 Maine Pine Tree Development Zone Tax Credit Worksheet Download Pine Tree Development Zone Tax Credit Worksheet Businesses may not be certified for the pine tree development zone program after december 31, 2024; Pine tree development zone tax credit worksheet pte: All areas of the state. The credit is available to certain businesses and individual owners of businesses. Pine tree development zone tax credit (“ptdz”) worksheet instructions. What is the pine tree development zone (“ptdz”) tax credit?. Pine Tree Development Zone Tax Credit Worksheet.
From www.templateroller.com
Form STRPTDZ2 Fill Out, Sign Online and Download Printable PDF Pine Tree Development Zone Tax Credit Worksheet Corporate taxpayers (including insurance companies) claiming ptdz tax credits must calculate the credits using this worksheet. Individual, estate and trust taxpayers claiming a ptdz credit from either a sole. For individuals, estates, or trusts for tax year 2021. What is the pine tree development zone (“ptdz”) tax credit? Pine tree development zone tax credit (“ptdz”) worksheet instructions. The benefit period. Pine Tree Development Zone Tax Credit Worksheet.
From www.formsbank.com
Worksheet Pte Credit Ratio Worksheet For Individuals, Estates Or Pine Tree Development Zone Tax Credit Worksheet Check the tier 1 box on. For individuals, estates, or trusts for tax year 2021. What is the pine tree development zone (“ptdz”) tax credit? Corporate taxpayers (including insurance companies) claiming ptdz tax credits must calculate the credits using this worksheet. Businesses may not be certified for the pine tree development zone program after december 31, 2024; Benefits, including the. Pine Tree Development Zone Tax Credit Worksheet.
From www.pdffiller.com
Fillable Online Pine Tree Development Zone Tax Credit Worksheet for Pine Tree Development Zone Tax Credit Worksheet Check the tier 1 box on. For individuals, estates, or trusts for tax year 2021. The benefit period is ten years. Pine tree development zone tax credit worksheet pte: Corporate taxpayers (including insurance companies) claiming ptdz tax credits must calculate the credits using this worksheet. Pine tree development zone tax credit (“ptdz”) worksheet instructions. What is the pine tree development. Pine Tree Development Zone Tax Credit Worksheet.
From www.formsbank.com
Pine Tree Development Zone Tax Credit Worksheet 2004 printable pdf Pine Tree Development Zone Tax Credit Worksheet Pine tree development zone tax credit (“ptdz”) worksheet instructions. Businesses may not be certified for the pine tree development zone program after december 31, 2024; All areas of the state. Pine tree development zone tax credit (“ptdz”) worksheet instructions. For individuals, estates, or trusts for tax year 2021. Pine tree development zone tax credit worksheet pte: Corporate taxpayers (including insurance. Pine Tree Development Zone Tax Credit Worksheet.
From www.templateroller.com
2020 Maine Research Expense Tax Credit Worksheet Download Fillable PDF Pine Tree Development Zone Tax Credit Worksheet For individuals, estates, or trusts for tax year 2021. Pine tree development zone tax credit (“ptdz”) worksheet instructions. Tax credits must calculate the credits using this worksheet. Individual, estate and trust taxpayers claiming a ptdz credit from either a sole. Benefits, including the income tax credit,. Businesses may not be certified for the pine tree development zone program after december. Pine Tree Development Zone Tax Credit Worksheet.
From www.formsbank.com
Fillable Form 150102046 Reservation Enterprise Zone Tax Credit Pine Tree Development Zone Tax Credit Worksheet Corporate taxpayers (including insurance companies) claiming ptdz tax credits must calculate the credits using this worksheet. Pine tree development zone tax credit (“ptdz”) worksheet instructions. What is the pine tree development zone (“ptdz”) tax credit? Pine tree development zone tax credit (“ptdz”) worksheet instructions. Check the tier 1 box on. Pine tree development zone tax credit worksheet pte: All areas. Pine Tree Development Zone Tax Credit Worksheet.
From www.formsbank.com
Pine Tree Development Zone Tax Credit Worksheet 2007 printable pdf Pine Tree Development Zone Tax Credit Worksheet Corporate taxpayers (including insurance companies) claiming ptdz tax credits must calculate the credits using this worksheet. Tax credits must calculate the credits using this worksheet. Check the tier 1 box on. The benefit period is ten years. Pine tree development zone tax credit (“ptdz”) worksheet instructions. For individuals, estates, or trusts for tax year 2021. Individual, estate and trust taxpayers. Pine Tree Development Zone Tax Credit Worksheet.
From www.slideserve.com
PPT Statewide Pine Tree Development Zone program PowerPoint Pine Tree Development Zone Tax Credit Worksheet Pine tree development zone tax credit (“ptdz”) worksheet instructions. The credit is available to certain businesses and individual owners of businesses. Benefits, including the income tax credit,. Businesses may not be certified for the pine tree development zone program after december 31, 2024; Individual, estate and trust taxpayers claiming a ptdz credit from either a sole. Corporate taxpayers (including insurance. Pine Tree Development Zone Tax Credit Worksheet.
From www.templateroller.com
2020 Maine Educational Opportunity Tax Credit Worksheet for Maine Pine Tree Development Zone Tax Credit Worksheet Check the tier 1 box on. Pine tree development zone tax credit worksheet pte: Pine tree development zone tax credit (“ptdz”) worksheet instructions. Individual, estate and trust taxpayers claiming a ptdz credit from either a sole. The benefit period is ten years. The credit is available to certain businesses and individual owners of businesses. Benefits, including the income tax credit,.. Pine Tree Development Zone Tax Credit Worksheet.
From www.formsbank.com
Instructions For Pine Tree Development Zone Tax Credit Maine Pine Tree Development Zone Tax Credit Worksheet All areas of the state. Pine tree development zone tax credit (“ptdz”) worksheet instructions. Benefits, including the income tax credit,. The benefit period is ten years. Corporate taxpayers (including insurance companies) claiming ptdz tax credits must calculate the credits using this worksheet. Pine tree development zone tax credit worksheet pte: Tax credits must calculate the credits using this worksheet. Individual,. Pine Tree Development Zone Tax Credit Worksheet.
From www.formsbank.com
Pine Tree Development Zone Tax Credit Worksheet Instructions 2005 Pine Tree Development Zone Tax Credit Worksheet For individuals, estates, or trusts for tax year 2021. Pine tree development zone tax credit (“ptdz”) worksheet instructions. Pine tree development zone tax credit (“ptdz”) worksheet instructions. All areas of the state. Corporate taxpayers (including insurance companies) claiming ptdz tax credits must calculate the credits using this worksheet. Individual, estate and trust taxpayers claiming a ptdz credit from either a. Pine Tree Development Zone Tax Credit Worksheet.
From www.templateroller.com
2020 Maine Pine Tree Development Zone Tax Credit Worksheet Download Pine Tree Development Zone Tax Credit Worksheet For individuals, estates, or trusts for tax year 2021. The credit is available to certain businesses and individual owners of businesses. Tax credits must calculate the credits using this worksheet. All areas of the state. The benefit period is ten years. Corporate taxpayers (including insurance companies) claiming ptdz tax credits must calculate the credits using this worksheet. Pine tree development. Pine Tree Development Zone Tax Credit Worksheet.
From www.templateroller.com
2021 Maine Seed Capital Investment Tax Credit Worksheet Fill Out Pine Tree Development Zone Tax Credit Worksheet Pine tree development zone tax credit worksheet pte: Pine tree development zone tax credit (“ptdz”) worksheet instructions. Benefits, including the income tax credit,. Tax credits must calculate the credits using this worksheet. Check the tier 1 box on. The benefit period is ten years. Pine tree development zone tax credit (“ptdz”) worksheet instructions. Individual, estate and trust taxpayers claiming a. Pine Tree Development Zone Tax Credit Worksheet.
From www.templateroller.com
Download Instructions for Business Certification Application Pine Pine Tree Development Zone Tax Credit Worksheet The benefit period is ten years. Pine tree development zone tax credit (“ptdz”) worksheet instructions. Check the tier 1 box on. All areas of the state. Benefits, including the income tax credit,. Pine tree development zone tax credit (“ptdz”) worksheet instructions. For individuals, estates, or trusts for tax year 2021. Individual, estate and trust taxpayers claiming a ptdz credit from. Pine Tree Development Zone Tax Credit Worksheet.
From www.pdffiller.com
Fillable Online PINE TREE DEVELOPMENT ZONE Fax Email Print pdfFiller Pine Tree Development Zone Tax Credit Worksheet Pine tree development zone tax credit (“ptdz”) worksheet instructions. Businesses may not be certified for the pine tree development zone program after december 31, 2024; All areas of the state. Individual, estate and trust taxpayers claiming a ptdz credit from either a sole. For individuals, estates, or trusts for tax year 2021. Check the tier 1 box on. The credit. Pine Tree Development Zone Tax Credit Worksheet.
From www.templateroller.com
2021 Maine Educational Opportunity Tax Credit Worksheet for Maine Pine Tree Development Zone Tax Credit Worksheet For individuals, estates, or trusts for tax year 2021. Pine tree development zone tax credit worksheet pte: The benefit period is ten years. Individual, estate and trust taxpayers claiming a ptdz credit from either a sole. Pine tree development zone tax credit (“ptdz”) worksheet instructions. Tax credits must calculate the credits using this worksheet. Businesses may not be certified for. Pine Tree Development Zone Tax Credit Worksheet.
From www.pressherald.com
Lawmakers extend controversial Pine Tree Development Zone tax breaks Pine Tree Development Zone Tax Credit Worksheet For individuals, estates, or trusts for tax year 2021. Pine tree development zone tax credit (“ptdz”) worksheet instructions. All areas of the state. Corporate taxpayers (including insurance companies) claiming ptdz tax credits must calculate the credits using this worksheet. Benefits, including the income tax credit,. Pine tree development zone tax credit worksheet pte: Check the tier 1 box on. The. Pine Tree Development Zone Tax Credit Worksheet.
From www.templateroller.com
2021 Maine Educational Opportunity Tax Credit Worksheet for Maine Pine Tree Development Zone Tax Credit Worksheet For individuals, estates, or trusts for tax year 2021. All areas of the state. Individual, estate and trust taxpayers claiming a ptdz credit from either a sole. Businesses may not be certified for the pine tree development zone program after december 31, 2024; Pine tree development zone tax credit (“ptdz”) worksheet instructions. Tax credits must calculate the credits using this. Pine Tree Development Zone Tax Credit Worksheet.
From www.pdffiller.com
Fillable Online Maine Pine Tree Credit Worksheet (Worksheet PTE Pine Tree Development Zone Tax Credit Worksheet Pine tree development zone tax credit (“ptdz”) worksheet instructions. Individual, estate and trust taxpayers claiming a ptdz credit from either a sole. Check the tier 1 box on. Pine tree development zone tax credit (“ptdz”) worksheet instructions. Pine tree development zone tax credit worksheet pte: Tax credits must calculate the credits using this worksheet. Businesses may not be certified for. Pine Tree Development Zone Tax Credit Worksheet.
From brewermaine.gov
Pine Tree Development Zones • The City of Brewer, Maine Pine Tree Development Zone Tax Credit Worksheet The credit is available to certain businesses and individual owners of businesses. The benefit period is ten years. Pine tree development zone tax credit (“ptdz”) worksheet instructions. Pine tree development zone tax credit worksheet pte: For individuals, estates, or trusts for tax year 2021. All areas of the state. Corporate taxpayers (including insurance companies) claiming ptdz tax credits must calculate. Pine Tree Development Zone Tax Credit Worksheet.
From www.templateroller.com
Download Instructions for Business Certification Application Pine Pine Tree Development Zone Tax Credit Worksheet Corporate taxpayers (including insurance companies) claiming ptdz tax credits must calculate the credits using this worksheet. The credit is available to certain businesses and individual owners of businesses. The benefit period is ten years. For individuals, estates, or trusts for tax year 2021. Pine tree development zone tax credit (“ptdz”) worksheet instructions. Tax credits must calculate the credits using this. Pine Tree Development Zone Tax Credit Worksheet.
From www.templateroller.com
2021 Maine Credit for Certain Homestead Modifications (Accessable Home Pine Tree Development Zone Tax Credit Worksheet Corporate taxpayers (including insurance companies) claiming ptdz tax credits must calculate the credits using this worksheet. Individual, estate and trust taxpayers claiming a ptdz credit from either a sole. All areas of the state. For individuals, estates, or trusts for tax year 2021. Tax credits must calculate the credits using this worksheet. Pine tree development zone tax credit (“ptdz”) worksheet. Pine Tree Development Zone Tax Credit Worksheet.
From www.templateroller.com
2023 Maine Pine Tree Development Zone Tax Credit Worksheet Download Pine Tree Development Zone Tax Credit Worksheet Benefits, including the income tax credit,. Pine tree development zone tax credit (“ptdz”) worksheet instructions. The credit is available to certain businesses and individual owners of businesses. Pine tree development zone tax credit (“ptdz”) worksheet instructions. Pine tree development zone tax credit worksheet pte: For individuals, estates, or trusts for tax year 2021. Businesses may not be certified for the. Pine Tree Development Zone Tax Credit Worksheet.
From www.templateroller.com
2023 Maine Student Loan Repayment Tax Credit Worksheet for Maine Pine Tree Development Zone Tax Credit Worksheet All areas of the state. Pine tree development zone tax credit worksheet pte: Pine tree development zone tax credit (“ptdz”) worksheet instructions. Corporate taxpayers (including insurance companies) claiming ptdz tax credits must calculate the credits using this worksheet. For individuals, estates, or trusts for tax year 2021. Benefits, including the income tax credit,. Individual, estate and trust taxpayers claiming a. Pine Tree Development Zone Tax Credit Worksheet.
From www.formsbank.com
Pine Tree Development Zone Tax Credit Worksheet 2005 printable pdf Pine Tree Development Zone Tax Credit Worksheet Pine tree development zone tax credit (“ptdz”) worksheet instructions. Pine tree development zone tax credit worksheet pte: For individuals, estates, or trusts for tax year 2021. Check the tier 1 box on. The credit is available to certain businesses and individual owners of businesses. What is the pine tree development zone (“ptdz”) tax credit? The benefit period is ten years.. Pine Tree Development Zone Tax Credit Worksheet.
From www.templateroller.com
2021 Maine Biofuel Commercial Production and Commercial Use Tax Credit Pine Tree Development Zone Tax Credit Worksheet Pine tree development zone tax credit (“ptdz”) worksheet instructions. The benefit period is ten years. Individual, estate and trust taxpayers claiming a ptdz credit from either a sole. Corporate taxpayers (including insurance companies) claiming ptdz tax credits must calculate the credits using this worksheet. For individuals, estates, or trusts for tax year 2021. The credit is available to certain businesses. Pine Tree Development Zone Tax Credit Worksheet.
From www.formsbank.com
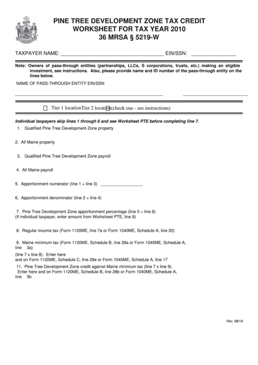
Pine Tree Development Zone Tax Credit Worksheet For Tax Year 2010 Pine Tree Development Zone Tax Credit Worksheet Individual, estate and trust taxpayers claiming a ptdz credit from either a sole. Benefits, including the income tax credit,. Pine tree development zone tax credit worksheet pte: Corporate taxpayers (including insurance companies) claiming ptdz tax credits must calculate the credits using this worksheet. Tax credits must calculate the credits using this worksheet. Businesses may not be certified for the pine. Pine Tree Development Zone Tax Credit Worksheet.
From www.slideserve.com
PPT Statewide Pine Tree Development Zone program PowerPoint Pine Tree Development Zone Tax Credit Worksheet The credit is available to certain businesses and individual owners of businesses. Benefits, including the income tax credit,. Individual, estate and trust taxpayers claiming a ptdz credit from either a sole. Corporate taxpayers (including insurance companies) claiming ptdz tax credits must calculate the credits using this worksheet. The benefit period is ten years. Check the tier 1 box on. Businesses. Pine Tree Development Zone Tax Credit Worksheet.
From brewermaine.gov
Pine Tree Development Zones.2021 • The City of Brewer, Maine Pine Tree Development Zone Tax Credit Worksheet Pine tree development zone tax credit (“ptdz”) worksheet instructions. Benefits, including the income tax credit,. Tax credits must calculate the credits using this worksheet. Corporate taxpayers (including insurance companies) claiming ptdz tax credits must calculate the credits using this worksheet. The credit is available to certain businesses and individual owners of businesses. All areas of the state. Individual, estate and. Pine Tree Development Zone Tax Credit Worksheet.
From www.formsbank.com
Credit Ratio Worksheet For An Owner Of A Sole Proprietorship Or A Pine Tree Development Zone Tax Credit Worksheet Check the tier 1 box on. Benefits, including the income tax credit,. For individuals, estates, or trusts for tax year 2021. What is the pine tree development zone (“ptdz”) tax credit? The benefit period is ten years. Pine tree development zone tax credit worksheet pte: Pine tree development zone tax credit (“ptdz”) worksheet instructions. Pine tree development zone tax credit. Pine Tree Development Zone Tax Credit Worksheet.
From www.formsbank.com
Pine Tree Development Zone Tax Credit Worksheet For Tax Year 2015 Pine Tree Development Zone Tax Credit Worksheet Individual, estate and trust taxpayers claiming a ptdz credit from either a sole. Corporate taxpayers (including insurance companies) claiming ptdz tax credits must calculate the credits using this worksheet. Pine tree development zone tax credit (“ptdz”) worksheet instructions. Pine tree development zone tax credit worksheet pte: What is the pine tree development zone (“ptdz”) tax credit? All areas of the. Pine Tree Development Zone Tax Credit Worksheet.
From www.templateroller.com
Maine Application for Tree Growth Tax Law Program Fill Out, Sign Pine Tree Development Zone Tax Credit Worksheet Pine tree development zone tax credit (“ptdz”) worksheet instructions. The credit is available to certain businesses and individual owners of businesses. Corporate taxpayers (including insurance companies) claiming ptdz tax credits must calculate the credits using this worksheet. Check the tier 1 box on. Individual, estate and trust taxpayers claiming a ptdz credit from either a sole. Tax credits must calculate. Pine Tree Development Zone Tax Credit Worksheet.
From www.templateroller.com
2022 Maine Pine Tree Development Zone Tax Credit Worksheet Download Pine Tree Development Zone Tax Credit Worksheet The credit is available to certain businesses and individual owners of businesses. What is the pine tree development zone (“ptdz”) tax credit? Pine tree development zone tax credit worksheet pte: All areas of the state. Check the tier 1 box on. Tax credits must calculate the credits using this worksheet. Businesses may not be certified for the pine tree development. Pine Tree Development Zone Tax Credit Worksheet.
From www.templateroller.com
Download Instructions for Business Certification Application Pine Pine Tree Development Zone Tax Credit Worksheet The credit is available to certain businesses and individual owners of businesses. Pine tree development zone tax credit (“ptdz”) worksheet instructions. Businesses may not be certified for the pine tree development zone program after december 31, 2024; Check the tier 1 box on. The benefit period is ten years. What is the pine tree development zone (“ptdz”) tax credit? Tax. Pine Tree Development Zone Tax Credit Worksheet.