Why Is A Ball Rolling Down A Hill Considered Unbalanced . as gravity pulls a ball down a hill, its potential energy converts into kinetic energy. The ball has a weight and. a person rolling a ball up hill does positive work to increase the potential energy and overcome friction. Describe how the bowling pin will react to the unbalanced force of the. if a ball is rolled up a hill, the force of gravity acts on it in the opposite direction of the motion (acceleration is negative or the ball. The ball’s mass influences its. why is rolling a ball down a hill considered an unbalanced force? mission nl3 focuses on the manner in which an object would move when the individual forces that act upon are unbalanced. The force is in the. why is rolling a ball down a hill considered an unbalanced force? when the ball is on the ramp, there is an unbalanced force, and the ball moves in the direction of the force.
from mentalitch.com
if a ball is rolled up a hill, the force of gravity acts on it in the opposite direction of the motion (acceleration is negative or the ball. as gravity pulls a ball down a hill, its potential energy converts into kinetic energy. when the ball is on the ramp, there is an unbalanced force, and the ball moves in the direction of the force. mission nl3 focuses on the manner in which an object would move when the individual forces that act upon are unbalanced. why is rolling a ball down a hill considered an unbalanced force? The ball’s mass influences its. a person rolling a ball up hill does positive work to increase the potential energy and overcome friction. Describe how the bowling pin will react to the unbalanced force of the. The ball has a weight and. why is rolling a ball down a hill considered an unbalanced force?
Zorbing What Is It and How Is It Played? Mental Itch
Why Is A Ball Rolling Down A Hill Considered Unbalanced mission nl3 focuses on the manner in which an object would move when the individual forces that act upon are unbalanced. as gravity pulls a ball down a hill, its potential energy converts into kinetic energy. The ball’s mass influences its. a person rolling a ball up hill does positive work to increase the potential energy and overcome friction. The ball has a weight and. The force is in the. mission nl3 focuses on the manner in which an object would move when the individual forces that act upon are unbalanced. if a ball is rolled up a hill, the force of gravity acts on it in the opposite direction of the motion (acceleration is negative or the ball. why is rolling a ball down a hill considered an unbalanced force? when the ball is on the ramp, there is an unbalanced force, and the ball moves in the direction of the force. Describe how the bowling pin will react to the unbalanced force of the. why is rolling a ball down a hill considered an unbalanced force?
From www.slideserve.com
PPT Energy Pie Charts PowerPoint Presentation, free download ID2750099 Why Is A Ball Rolling Down A Hill Considered Unbalanced when the ball is on the ramp, there is an unbalanced force, and the ball moves in the direction of the force. mission nl3 focuses on the manner in which an object would move when the individual forces that act upon are unbalanced. a person rolling a ball up hill does positive work to increase the potential. Why Is A Ball Rolling Down A Hill Considered Unbalanced.
From www.youtube.com
A ball rolling down a hill YouTube Why Is A Ball Rolling Down A Hill Considered Unbalanced as gravity pulls a ball down a hill, its potential energy converts into kinetic energy. mission nl3 focuses on the manner in which an object would move when the individual forces that act upon are unbalanced. why is rolling a ball down a hill considered an unbalanced force? why is rolling a ball down a hill. Why Is A Ball Rolling Down A Hill Considered Unbalanced.
From www.youtube.com
Finding final velocity for ball rolling down ramp with rotational inertia explained YouTube Why Is A Ball Rolling Down A Hill Considered Unbalanced Describe how the bowling pin will react to the unbalanced force of the. if a ball is rolled up a hill, the force of gravity acts on it in the opposite direction of the motion (acceleration is negative or the ball. The force is in the. why is rolling a ball down a hill considered an unbalanced force?. Why Is A Ball Rolling Down A Hill Considered Unbalanced.
From mcdonaldinstitute.ca
20191023 McDonald Institute Why Is A Ball Rolling Down A Hill Considered Unbalanced as gravity pulls a ball down a hill, its potential energy converts into kinetic energy. a person rolling a ball up hill does positive work to increase the potential energy and overcome friction. if a ball is rolled up a hill, the force of gravity acts on it in the opposite direction of the motion (acceleration is. Why Is A Ball Rolling Down A Hill Considered Unbalanced.
From www.numerade.com
SOLVED A ball starts from rest and rolls down a hill with uniform acceleration, traveling 200 m Why Is A Ball Rolling Down A Hill Considered Unbalanced if a ball is rolled up a hill, the force of gravity acts on it in the opposite direction of the motion (acceleration is negative or the ball. a person rolling a ball up hill does positive work to increase the potential energy and overcome friction. as gravity pulls a ball down a hill, its potential energy. Why Is A Ball Rolling Down A Hill Considered Unbalanced.
From www.victoriana.com
Museum Überraschung Frosch ball rolling down hill Diktat Ärmel Merkur Why Is A Ball Rolling Down A Hill Considered Unbalanced The force is in the. a person rolling a ball up hill does positive work to increase the potential energy and overcome friction. why is rolling a ball down a hill considered an unbalanced force? when the ball is on the ramp, there is an unbalanced force, and the ball moves in the direction of the force.. Why Is A Ball Rolling Down A Hill Considered Unbalanced.
From www.istockphoto.com
20+ Ball Rolling Down A Hill Stock Photos, Pictures & RoyaltyFree Images iStock Why Is A Ball Rolling Down A Hill Considered Unbalanced a person rolling a ball up hill does positive work to increase the potential energy and overcome friction. The ball has a weight and. why is rolling a ball down a hill considered an unbalanced force? as gravity pulls a ball down a hill, its potential energy converts into kinetic energy. if a ball is rolled. Why Is A Ball Rolling Down A Hill Considered Unbalanced.
From www.youtube.com
Ball Rolling Down an Incline IB Physics YouTube Why Is A Ball Rolling Down A Hill Considered Unbalanced The force is in the. The ball has a weight and. why is rolling a ball down a hill considered an unbalanced force? mission nl3 focuses on the manner in which an object would move when the individual forces that act upon are unbalanced. why is rolling a ball down a hill considered an unbalanced force? . Why Is A Ball Rolling Down A Hill Considered Unbalanced.
From www.numerade.com
SOLVED A ball rolling down a hill was displaced 19.6 m while uniformly accelerating from rest Why Is A Ball Rolling Down A Hill Considered Unbalanced when the ball is on the ramp, there is an unbalanced force, and the ball moves in the direction of the force. Describe how the bowling pin will react to the unbalanced force of the. The ball has a weight and. a person rolling a ball up hill does positive work to increase the potential energy and overcome. Why Is A Ball Rolling Down A Hill Considered Unbalanced.
From www.chegg.com
Solved Problem 1 Hollow Spherical Ball Rolling Down a Hill Why Is A Ball Rolling Down A Hill Considered Unbalanced if a ball is rolled up a hill, the force of gravity acts on it in the opposite direction of the motion (acceleration is negative or the ball. why is rolling a ball down a hill considered an unbalanced force? when the ball is on the ramp, there is an unbalanced force, and the ball moves in. Why Is A Ball Rolling Down A Hill Considered Unbalanced.
From www.slideserve.com
PPT Classical Mechanics Lecture 16 PowerPoint Presentation, free download ID6187644 Why Is A Ball Rolling Down A Hill Considered Unbalanced The ball has a weight and. why is rolling a ball down a hill considered an unbalanced force? Describe how the bowling pin will react to the unbalanced force of the. if a ball is rolled up a hill, the force of gravity acts on it in the opposite direction of the motion (acceleration is negative or the. Why Is A Ball Rolling Down A Hill Considered Unbalanced.
From ucscphysicsdemo.sites.ucsc.edu
Ball Rolling Down Inclined Plane UCSC Physics Demonstration Room Why Is A Ball Rolling Down A Hill Considered Unbalanced mission nl3 focuses on the manner in which an object would move when the individual forces that act upon are unbalanced. The ball’s mass influences its. as gravity pulls a ball down a hill, its potential energy converts into kinetic energy. a person rolling a ball up hill does positive work to increase the potential energy and. Why Is A Ball Rolling Down A Hill Considered Unbalanced.
From brainly.com
A ball begins rolling down a hill from point A. It rolls to the bottom of the hill at point D Why Is A Ball Rolling Down A Hill Considered Unbalanced Describe how the bowling pin will react to the unbalanced force of the. mission nl3 focuses on the manner in which an object would move when the individual forces that act upon are unbalanced. when the ball is on the ramp, there is an unbalanced force, and the ball moves in the direction of the force. a. Why Is A Ball Rolling Down A Hill Considered Unbalanced.
From www.physicsbootcamp.org
Rolling Motion Why Is A Ball Rolling Down A Hill Considered Unbalanced a person rolling a ball up hill does positive work to increase the potential energy and overcome friction. when the ball is on the ramp, there is an unbalanced force, and the ball moves in the direction of the force. why is rolling a ball down a hill considered an unbalanced force? why is rolling a. Why Is A Ball Rolling Down A Hill Considered Unbalanced.
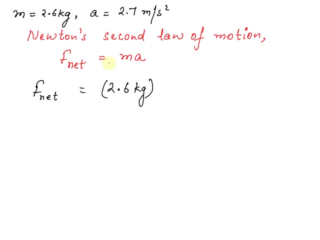
From www.numerade.com
SOLVED A ball rolling down a hill has a constant acceleration of 2.7 m/s ^ 2 If the balls mass Why Is A Ball Rolling Down A Hill Considered Unbalanced why is rolling a ball down a hill considered an unbalanced force? mission nl3 focuses on the manner in which an object would move when the individual forces that act upon are unbalanced. why is rolling a ball down a hill considered an unbalanced force? as gravity pulls a ball down a hill, its potential energy. Why Is A Ball Rolling Down A Hill Considered Unbalanced.
From www.slideserve.com
PPT Fundamentals of Physics PowerPoint Presentation ID153543 Why Is A Ball Rolling Down A Hill Considered Unbalanced why is rolling a ball down a hill considered an unbalanced force? mission nl3 focuses on the manner in which an object would move when the individual forces that act upon are unbalanced. The force is in the. when the ball is on the ramp, there is an unbalanced force, and the ball moves in the direction. Why Is A Ball Rolling Down A Hill Considered Unbalanced.
From studia.app
Soccer Ball Rolling Down a Hill! STUDIA.app Why Is A Ball Rolling Down A Hill Considered Unbalanced when the ball is on the ramp, there is an unbalanced force, and the ball moves in the direction of the force. why is rolling a ball down a hill considered an unbalanced force? The ball’s mass influences its. Describe how the bowling pin will react to the unbalanced force of the. The ball has a weight and.. Why Is A Ball Rolling Down A Hill Considered Unbalanced.
From mentalitch.com
Zorbing What Is It and How Is It Played? Mental Itch Why Is A Ball Rolling Down A Hill Considered Unbalanced The ball has a weight and. as gravity pulls a ball down a hill, its potential energy converts into kinetic energy. a person rolling a ball up hill does positive work to increase the potential energy and overcome friction. why is rolling a ball down a hill considered an unbalanced force? when the ball is on. Why Is A Ball Rolling Down A Hill Considered Unbalanced.
From www.vrogue.co
What Types Of Energy Does A Ball Rolling Down A Hill vrogue.co Why Is A Ball Rolling Down A Hill Considered Unbalanced why is rolling a ball down a hill considered an unbalanced force? a person rolling a ball up hill does positive work to increase the potential energy and overcome friction. mission nl3 focuses on the manner in which an object would move when the individual forces that act upon are unbalanced. The force is in the. The. Why Is A Ball Rolling Down A Hill Considered Unbalanced.
From www.numerade.com
SOLVED 'Question 2 A ball is rolling down one hill and up another as shown Points A and B are Why Is A Ball Rolling Down A Hill Considered Unbalanced when the ball is on the ramp, there is an unbalanced force, and the ball moves in the direction of the force. The ball’s mass influences its. as gravity pulls a ball down a hill, its potential energy converts into kinetic energy. a person rolling a ball up hill does positive work to increase the potential energy. Why Is A Ball Rolling Down A Hill Considered Unbalanced.
From www.chegg.com
Solved Question 1. Recall the ballrollingdownahill Why Is A Ball Rolling Down A Hill Considered Unbalanced if a ball is rolled up a hill, the force of gravity acts on it in the opposite direction of the motion (acceleration is negative or the ball. mission nl3 focuses on the manner in which an object would move when the individual forces that act upon are unbalanced. The force is in the. when the ball. Why Is A Ball Rolling Down A Hill Considered Unbalanced.
From tedkinsman.photoshelter.com
Ball on a Hill Why Is A Ball Rolling Down A Hill Considered Unbalanced The ball’s mass influences its. as gravity pulls a ball down a hill, its potential energy converts into kinetic energy. The ball has a weight and. when the ball is on the ramp, there is an unbalanced force, and the ball moves in the direction of the force. The force is in the. why is rolling a. Why Is A Ball Rolling Down A Hill Considered Unbalanced.
From slideplayer.com
Forces Notes. ppt download Why Is A Ball Rolling Down A Hill Considered Unbalanced Describe how the bowling pin will react to the unbalanced force of the. The ball has a weight and. if a ball is rolled up a hill, the force of gravity acts on it in the opposite direction of the motion (acceleration is negative or the ball. a person rolling a ball up hill does positive work to. Why Is A Ball Rolling Down A Hill Considered Unbalanced.
From www.youtube.com
ball rolls down hill YouTube Why Is A Ball Rolling Down A Hill Considered Unbalanced The ball has a weight and. The force is in the. Describe how the bowling pin will react to the unbalanced force of the. as gravity pulls a ball down a hill, its potential energy converts into kinetic energy. mission nl3 focuses on the manner in which an object would move when the individual forces that act upon. Why Is A Ball Rolling Down A Hill Considered Unbalanced.
From www.phillyvoice.com
Feel like rolling down a hill in a giant ball? Try zorbing PhillyVoice Why Is A Ball Rolling Down A Hill Considered Unbalanced The ball’s mass influences its. as gravity pulls a ball down a hill, its potential energy converts into kinetic energy. if a ball is rolled up a hill, the force of gravity acts on it in the opposite direction of the motion (acceleration is negative or the ball. mission nl3 focuses on the manner in which an. Why Is A Ball Rolling Down A Hill Considered Unbalanced.
From www.youtube.com
Ball rolling down a rough sphere when does it lose contact? YouTube Why Is A Ball Rolling Down A Hill Considered Unbalanced a person rolling a ball up hill does positive work to increase the potential energy and overcome friction. why is rolling a ball down a hill considered an unbalanced force? Describe how the bowling pin will react to the unbalanced force of the. if a ball is rolled up a hill, the force of gravity acts on. Why Is A Ball Rolling Down A Hill Considered Unbalanced.
From exoffvfqt.blob.core.windows.net
A Ball Rolling Down A Slope Has at Frank Bradford blog Why Is A Ball Rolling Down A Hill Considered Unbalanced why is rolling a ball down a hill considered an unbalanced force? when the ball is on the ramp, there is an unbalanced force, and the ball moves in the direction of the force. as gravity pulls a ball down a hill, its potential energy converts into kinetic energy. Describe how the bowling pin will react to. Why Is A Ball Rolling Down A Hill Considered Unbalanced.
From aboutagirl-jo.blogspot.com
About A Girl Rolling Down A Hill In A Ball.......... who knew it would be so much fun!!! Why Is A Ball Rolling Down A Hill Considered Unbalanced when the ball is on the ramp, there is an unbalanced force, and the ball moves in the direction of the force. a person rolling a ball up hill does positive work to increase the potential energy and overcome friction. The ball has a weight and. why is rolling a ball down a hill considered an unbalanced. Why Is A Ball Rolling Down A Hill Considered Unbalanced.
From www.youtube.com
Physics Mechanics Rolling Ball YouTube Why Is A Ball Rolling Down A Hill Considered Unbalanced The ball has a weight and. The ball’s mass influences its. as gravity pulls a ball down a hill, its potential energy converts into kinetic energy. The force is in the. Describe how the bowling pin will react to the unbalanced force of the. a person rolling a ball up hill does positive work to increase the potential. Why Is A Ball Rolling Down A Hill Considered Unbalanced.
From www.chegg.com
Solved Question 1. Recall the ballrollingdownahill Why Is A Ball Rolling Down A Hill Considered Unbalanced The ball’s mass influences its. when the ball is on the ramp, there is an unbalanced force, and the ball moves in the direction of the force. The ball has a weight and. mission nl3 focuses on the manner in which an object would move when the individual forces that act upon are unbalanced. why is rolling. Why Is A Ball Rolling Down A Hill Considered Unbalanced.
From www.slideshare.net
Lecture16 friction Why Is A Ball Rolling Down A Hill Considered Unbalanced why is rolling a ball down a hill considered an unbalanced force? The force is in the. when the ball is on the ramp, there is an unbalanced force, and the ball moves in the direction of the force. why is rolling a ball down a hill considered an unbalanced force? Describe how the bowling pin will. Why Is A Ball Rolling Down A Hill Considered Unbalanced.
From flickr.com
Big brick ball rolling down a hill Taken in Holmebrook Val… Flickr Why Is A Ball Rolling Down A Hill Considered Unbalanced as gravity pulls a ball down a hill, its potential energy converts into kinetic energy. a person rolling a ball up hill does positive work to increase the potential energy and overcome friction. The ball’s mass influences its. why is rolling a ball down a hill considered an unbalanced force? The ball has a weight and. . Why Is A Ball Rolling Down A Hill Considered Unbalanced.
From www.youtube.com
Ball rolling down a hill YouTube Why Is A Ball Rolling Down A Hill Considered Unbalanced if a ball is rolled up a hill, the force of gravity acts on it in the opposite direction of the motion (acceleration is negative or the ball. The force is in the. why is rolling a ball down a hill considered an unbalanced force? mission nl3 focuses on the manner in which an object would move. Why Is A Ball Rolling Down A Hill Considered Unbalanced.
From www.chegg.com
Solved Solid ball rolling down curvy hill Due in 41 minutes Why Is A Ball Rolling Down A Hill Considered Unbalanced mission nl3 focuses on the manner in which an object would move when the individual forces that act upon are unbalanced. why is rolling a ball down a hill considered an unbalanced force? The ball’s mass influences its. as gravity pulls a ball down a hill, its potential energy converts into kinetic energy. if a ball. Why Is A Ball Rolling Down A Hill Considered Unbalanced.
From ar.inspiredpencil.com
Rolling Ball Down Hill Why Is A Ball Rolling Down A Hill Considered Unbalanced The force is in the. why is rolling a ball down a hill considered an unbalanced force? a person rolling a ball up hill does positive work to increase the potential energy and overcome friction. why is rolling a ball down a hill considered an unbalanced force? if a ball is rolled up a hill, the. Why Is A Ball Rolling Down A Hill Considered Unbalanced.