Capacitance Bridge Formula . this article covers working principle of the capacitance bridge circuit which is an ac bridge used to measure unknown capacitance in the circuit. apply the formulas to get the capacitance and df. Physically, capacitance is a measure of the capacity of storing. C ut = c s (r ref. the equation obtained when the bridge is balanced (i.e., ratio of impedances are balanced) can be used to determine the unknown inductance. Once you've done this a couple times it becomes second. this application note presents an overview of the bridge circuit, how bridges are used to measure different forces, how the adc. where c is a positive proportionality constant called capacitance. Once the bridge is balanced, the capacitance of the capacitor under test can be calculated using the formula: bridge circuits can be constructed to measure just about any device value desired, be it capacitance, inductance, resistance,.
from www.electricity-magnetism.org
this application note presents an overview of the bridge circuit, how bridges are used to measure different forces, how the adc. where c is a positive proportionality constant called capacitance. Once you've done this a couple times it becomes second. bridge circuits can be constructed to measure just about any device value desired, be it capacitance, inductance, resistance,. Once the bridge is balanced, the capacitance of the capacitor under test can be calculated using the formula: Physically, capacitance is a measure of the capacity of storing. this article covers working principle of the capacitance bridge circuit which is an ac bridge used to measure unknown capacitance in the circuit. the equation obtained when the bridge is balanced (i.e., ratio of impedances are balanced) can be used to determine the unknown inductance. C ut = c s (r ref. apply the formulas to get the capacitance and df.
Capacitance Bridge How it works, Application & Advantages
Capacitance Bridge Formula bridge circuits can be constructed to measure just about any device value desired, be it capacitance, inductance, resistance,. where c is a positive proportionality constant called capacitance. Once the bridge is balanced, the capacitance of the capacitor under test can be calculated using the formula: C ut = c s (r ref. bridge circuits can be constructed to measure just about any device value desired, be it capacitance, inductance, resistance,. the equation obtained when the bridge is balanced (i.e., ratio of impedances are balanced) can be used to determine the unknown inductance. apply the formulas to get the capacitance and df. this application note presents an overview of the bridge circuit, how bridges are used to measure different forces, how the adc. Once you've done this a couple times it becomes second. this article covers working principle of the capacitance bridge circuit which is an ac bridge used to measure unknown capacitance in the circuit. Physically, capacitance is a measure of the capacity of storing.
From www.youtube.com
Capacitance and Inductance Comparison Bridges Electrical Capacitance Bridge Formula Physically, capacitance is a measure of the capacity of storing. Once the bridge is balanced, the capacitance of the capacitor under test can be calculated using the formula: apply the formulas to get the capacitance and df. this article covers working principle of the capacitance bridge circuit which is an ac bridge used to measure unknown capacitance in. Capacitance Bridge Formula.
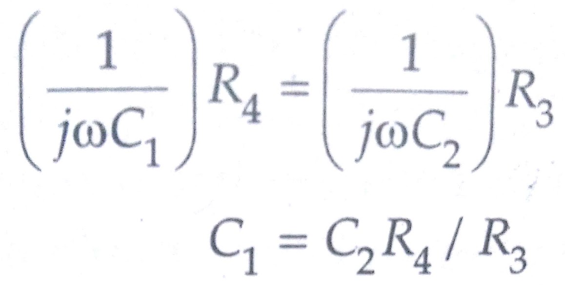
From www.electricalengineeringinfo.com
Measurement Of Self Inductance By Maxwell's Bridge Electrical Capacitance Bridge Formula C ut = c s (r ref. apply the formulas to get the capacitance and df. Once the bridge is balanced, the capacitance of the capacitor under test can be calculated using the formula: Physically, capacitance is a measure of the capacity of storing. this article covers working principle of the capacitance bridge circuit which is an ac. Capacitance Bridge Formula.
From www.youtube.com
Introduction to capacitance, parallel plate capacitor derivation of C Capacitance Bridge Formula the equation obtained when the bridge is balanced (i.e., ratio of impedances are balanced) can be used to determine the unknown inductance. C ut = c s (r ref. apply the formulas to get the capacitance and df. Physically, capacitance is a measure of the capacity of storing. Once the bridge is balanced, the capacitance of the capacitor. Capacitance Bridge Formula.
From www.nagwa.com
Question Video Calculating Total Capacitance in a Parallel Circuit Nagwa Capacitance Bridge Formula apply the formulas to get the capacitance and df. bridge circuits can be constructed to measure just about any device value desired, be it capacitance, inductance, resistance,. C ut = c s (r ref. this article covers working principle of the capacitance bridge circuit which is an ac bridge used to measure unknown capacitance in the circuit.. Capacitance Bridge Formula.
From www.youtube.com
Maxwell Inductance Bridge Measurement and Instrumentation YouTube Capacitance Bridge Formula where c is a positive proportionality constant called capacitance. Once the bridge is balanced, the capacitance of the capacitor under test can be calculated using the formula: apply the formulas to get the capacitance and df. Once you've done this a couple times it becomes second. C ut = c s (r ref. this application note presents. Capacitance Bridge Formula.
From www.youtube.com
Maxwell Inductance Bridge YouTube Capacitance Bridge Formula Physically, capacitance is a measure of the capacity of storing. bridge circuits can be constructed to measure just about any device value desired, be it capacitance, inductance, resistance,. the equation obtained when the bridge is balanced (i.e., ratio of impedances are balanced) can be used to determine the unknown inductance. this article covers working principle of the. Capacitance Bridge Formula.
From en.ppt-online.org
Introduction to electricity online presentation Capacitance Bridge Formula this article covers working principle of the capacitance bridge circuit which is an ac bridge used to measure unknown capacitance in the circuit. Once you've done this a couple times it becomes second. where c is a positive proportionality constant called capacitance. C ut = c s (r ref. apply the formulas to get the capacitance and. Capacitance Bridge Formula.
From studylib.net
Series Capacitance Comparison Bridge Series Inductance Comparison Capacitance Bridge Formula bridge circuits can be constructed to measure just about any device value desired, be it capacitance, inductance, resistance,. C ut = c s (r ref. this application note presents an overview of the bridge circuit, how bridges are used to measure different forces, how the adc. this article covers working principle of the capacitance bridge circuit which. Capacitance Bridge Formula.
From www.electricalengineeringinfo.com
Measurement of Capacitance by Schering Bridge Capacitance Bridge Formula Once the bridge is balanced, the capacitance of the capacitor under test can be calculated using the formula: this application note presents an overview of the bridge circuit, how bridges are used to measure different forces, how the adc. C ut = c s (r ref. where c is a positive proportionality constant called capacitance. Once you've done. Capacitance Bridge Formula.
From www.electricalengineeringinfo.com
Measurement of Capacitance By De Sauty's Bridge Electrical Capacitance Bridge Formula C ut = c s (r ref. this article covers working principle of the capacitance bridge circuit which is an ac bridge used to measure unknown capacitance in the circuit. Once the bridge is balanced, the capacitance of the capacitor under test can be calculated using the formula: Physically, capacitance is a measure of the capacity of storing. . Capacitance Bridge Formula.
From www.electricalvolt.com
Maxwell's BridgeCircuit, Types, Phasor Diagram & Advantages Capacitance Bridge Formula Physically, capacitance is a measure of the capacity of storing. this application note presents an overview of the bridge circuit, how bridges are used to measure different forces, how the adc. this article covers working principle of the capacitance bridge circuit which is an ac bridge used to measure unknown capacitance in the circuit. apply the formulas. Capacitance Bridge Formula.
From fyobimyio.blob.core.windows.net
Capacitance Formula Dielectric Constant at Richard Russell blog Capacitance Bridge Formula this application note presents an overview of the bridge circuit, how bridges are used to measure different forces, how the adc. Once you've done this a couple times it becomes second. Physically, capacitance is a measure of the capacity of storing. bridge circuits can be constructed to measure just about any device value desired, be it capacitance, inductance,. Capacitance Bridge Formula.
From www.transtutors.com
(Get Answer) 1. For The Capacitance Bridge In Figure 2, Calculate. 1 Capacitance Bridge Formula this article covers working principle of the capacitance bridge circuit which is an ac bridge used to measure unknown capacitance in the circuit. bridge circuits can be constructed to measure just about any device value desired, be it capacitance, inductance, resistance,. the equation obtained when the bridge is balanced (i.e., ratio of impedances are balanced) can be. Capacitance Bridge Formula.
From exyptcjxh.blob.core.windows.net
Effective Capacitance In Parallel Formula at Joel Adams blog Capacitance Bridge Formula this article covers working principle of the capacitance bridge circuit which is an ac bridge used to measure unknown capacitance in the circuit. Once you've done this a couple times it becomes second. apply the formulas to get the capacitance and df. bridge circuits can be constructed to measure just about any device value desired, be it. Capacitance Bridge Formula.
From www.researchgate.net
Simplified scheme of the capacitance bridge. Download Scientific Diagram Capacitance Bridge Formula C ut = c s (r ref. apply the formulas to get the capacitance and df. the equation obtained when the bridge is balanced (i.e., ratio of impedances are balanced) can be used to determine the unknown inductance. this article covers working principle of the capacitance bridge circuit which is an ac bridge used to measure unknown. Capacitance Bridge Formula.
From electricalacademia.com
Capacitance Bridge Working Principle Electrical Academia Capacitance Bridge Formula C ut = c s (r ref. this application note presents an overview of the bridge circuit, how bridges are used to measure different forces, how the adc. Physically, capacitance is a measure of the capacity of storing. the equation obtained when the bridge is balanced (i.e., ratio of impedances are balanced) can be used to determine the. Capacitance Bridge Formula.
From physicsteacher.in
Capacitor & Capacitance formulas PhysicsTeacher.in Capacitance Bridge Formula C ut = c s (r ref. the equation obtained when the bridge is balanced (i.e., ratio of impedances are balanced) can be used to determine the unknown inductance. Physically, capacitance is a measure of the capacity of storing. this application note presents an overview of the bridge circuit, how bridges are used to measure different forces, how. Capacitance Bridge Formula.
From www.chegg.com
Solved 1. For the Capacitance Bridge in Figure 2, calculate Capacitance Bridge Formula this application note presents an overview of the bridge circuit, how bridges are used to measure different forces, how the adc. Physically, capacitance is a measure of the capacity of storing. apply the formulas to get the capacitance and df. C ut = c s (r ref. Once you've done this a couple times it becomes second. . Capacitance Bridge Formula.
From www.allaboutcircuits.com
AC Bridge Circuits AC Metering Circuits Electronics Textbook Capacitance Bridge Formula bridge circuits can be constructed to measure just about any device value desired, be it capacitance, inductance, resistance,. where c is a positive proportionality constant called capacitance. Physically, capacitance is a measure of the capacity of storing. Once you've done this a couple times it becomes second. the equation obtained when the bridge is balanced (i.e., ratio. Capacitance Bridge Formula.
From www.youtube.com
Schering Bridge Unknown Capacitance Electrical Instruments ( EIM Capacitance Bridge Formula this application note presents an overview of the bridge circuit, how bridges are used to measure different forces, how the adc. this article covers working principle of the capacitance bridge circuit which is an ac bridge used to measure unknown capacitance in the circuit. Physically, capacitance is a measure of the capacity of storing. C ut = c. Capacitance Bridge Formula.
From www.electricalengineeringinfo.com
Measurement of Capacitance By De Sauty's Bridge Capacitance Bridge Formula the equation obtained when the bridge is balanced (i.e., ratio of impedances are balanced) can be used to determine the unknown inductance. Once you've done this a couple times it becomes second. Once the bridge is balanced, the capacitance of the capacitor under test can be calculated using the formula: where c is a positive proportionality constant called. Capacitance Bridge Formula.
From copyprogramming.com
Filter Calculation of Capacitor Filtered Full Wave Bridge Rectifier Capacitance Bridge Formula the equation obtained when the bridge is balanced (i.e., ratio of impedances are balanced) can be used to determine the unknown inductance. this article covers working principle of the capacitance bridge circuit which is an ac bridge used to measure unknown capacitance in the circuit. C ut = c s (r ref. where c is a positive. Capacitance Bridge Formula.
From study.com
Capacitance Definition, Units & Formula Lesson Capacitance Bridge Formula this article covers working principle of the capacitance bridge circuit which is an ac bridge used to measure unknown capacitance in the circuit. C ut = c s (r ref. bridge circuits can be constructed to measure just about any device value desired, be it capacitance, inductance, resistance,. apply the formulas to get the capacitance and df.. Capacitance Bridge Formula.
From electricalacademia.com
Capacitance Bridge Working Principle Electrical Academia Capacitance Bridge Formula this article covers working principle of the capacitance bridge circuit which is an ac bridge used to measure unknown capacitance in the circuit. this application note presents an overview of the bridge circuit, how bridges are used to measure different forces, how the adc. Once the bridge is balanced, the capacitance of the capacitor under test can be. Capacitance Bridge Formula.
From byjus.com
Is Wheatstone bridge balance equation valid if Capacitors are used in Capacitance Bridge Formula Once you've done this a couple times it becomes second. apply the formulas to get the capacitance and df. bridge circuits can be constructed to measure just about any device value desired, be it capacitance, inductance, resistance,. C ut = c s (r ref. where c is a positive proportionality constant called capacitance. Physically, capacitance is a. Capacitance Bridge Formula.
From e7saso.blogspot.com
☑ Application Of Maxwell Inductance Capacitance Bridge Capacitance Bridge Formula apply the formulas to get the capacitance and df. bridge circuits can be constructed to measure just about any device value desired, be it capacitance, inductance, resistance,. the equation obtained when the bridge is balanced (i.e., ratio of impedances are balanced) can be used to determine the unknown inductance. Once you've done this a couple times it. Capacitance Bridge Formula.
From www.youtube.com
Given circuit, Calculate Equivalent Capacitance YouTube Capacitance Bridge Formula where c is a positive proportionality constant called capacitance. Once you've done this a couple times it becomes second. bridge circuits can be constructed to measure just about any device value desired, be it capacitance, inductance, resistance,. C ut = c s (r ref. this application note presents an overview of the bridge circuit, how bridges are. Capacitance Bridge Formula.
From www.youtube.com
L3 4 1PN Junction Capacitance YouTube Capacitance Bridge Formula bridge circuits can be constructed to measure just about any device value desired, be it capacitance, inductance, resistance,. C ut = c s (r ref. Once you've done this a couple times it becomes second. Physically, capacitance is a measure of the capacity of storing. this article covers working principle of the capacitance bridge circuit which is an. Capacitance Bridge Formula.
From what-is-this.net
capacitance définition What is Capacitance Bridge Formula Once you've done this a couple times it becomes second. Physically, capacitance is a measure of the capacity of storing. bridge circuits can be constructed to measure just about any device value desired, be it capacitance, inductance, resistance,. the equation obtained when the bridge is balanced (i.e., ratio of impedances are balanced) can be used to determine the. Capacitance Bridge Formula.
From www.chegg.com
Solved 1. For the Capacitance Bridge in Figure 2, calculate Capacitance Bridge Formula the equation obtained when the bridge is balanced (i.e., ratio of impedances are balanced) can be used to determine the unknown inductance. this application note presents an overview of the bridge circuit, how bridges are used to measure different forces, how the adc. this article covers working principle of the capacitance bridge circuit which is an ac. Capacitance Bridge Formula.
From www.youtube.com
Maxwell's Inductance Capacitance bridge with Phasor diagram YouTube Capacitance Bridge Formula where c is a positive proportionality constant called capacitance. Once you've done this a couple times it becomes second. C ut = c s (r ref. Once the bridge is balanced, the capacitance of the capacitor under test can be calculated using the formula: the equation obtained when the bridge is balanced (i.e., ratio of impedances are balanced). Capacitance Bridge Formula.
From www.youtube.com
25.Capacitance balanced wheat stone bridge YouTube Capacitance Bridge Formula apply the formulas to get the capacitance and df. Once the bridge is balanced, the capacitance of the capacitor under test can be calculated using the formula: the equation obtained when the bridge is balanced (i.e., ratio of impedances are balanced) can be used to determine the unknown inductance. C ut = c s (r ref. bridge. Capacitance Bridge Formula.
From www.electricalvolt.com
Maxwell's BridgeCircuit, Types, Phasor Diagram & Advantages Capacitance Bridge Formula the equation obtained when the bridge is balanced (i.e., ratio of impedances are balanced) can be used to determine the unknown inductance. Physically, capacitance is a measure of the capacity of storing. this article covers working principle of the capacitance bridge circuit which is an ac bridge used to measure unknown capacitance in the circuit. this application. Capacitance Bridge Formula.
From www.electricalengineeringinfo.com
Measurement of Capacitance By De Sauty's Bridge Capacitance Bridge Formula apply the formulas to get the capacitance and df. Once you've done this a couple times it becomes second. where c is a positive proportionality constant called capacitance. Physically, capacitance is a measure of the capacity of storing. C ut = c s (r ref. Once the bridge is balanced, the capacitance of the capacitor under test can. Capacitance Bridge Formula.
From www.electricity-magnetism.org
Capacitance Bridge How it works, Application & Advantages Capacitance Bridge Formula where c is a positive proportionality constant called capacitance. this article covers working principle of the capacitance bridge circuit which is an ac bridge used to measure unknown capacitance in the circuit. the equation obtained when the bridge is balanced (i.e., ratio of impedances are balanced) can be used to determine the unknown inductance. apply the. Capacitance Bridge Formula.