How Does Eviction Work In Nevada . nevada allows a landlord to terminate a tenancy early and evict a tenant for a number of reasons, including not. Unless a tenant has surrendered possession of the rental premises to the landlord or. overview of the eviction process. When a landlord is evicting a tenant for not paying their rent, the landlord will be required. how do eviction notices work for nonpayment of rent? summary eviction is a very fast eviction process where the tenant must file a tenant’s affidavit in court to contest an. in nevada, the legal framework for evictions is designed to facilitate a fair and quick resolution of disputes between.
from www.youtube.com
summary eviction is a very fast eviction process where the tenant must file a tenant’s affidavit in court to contest an. Unless a tenant has surrendered possession of the rental premises to the landlord or. in nevada, the legal framework for evictions is designed to facilitate a fair and quick resolution of disputes between. overview of the eviction process. how do eviction notices work for nonpayment of rent? When a landlord is evicting a tenant for not paying their rent, the landlord will be required. nevada allows a landlord to terminate a tenancy early and evict a tenant for a number of reasons, including not.
Evictions in Nevada YouTube
How Does Eviction Work In Nevada When a landlord is evicting a tenant for not paying their rent, the landlord will be required. nevada allows a landlord to terminate a tenancy early and evict a tenant for a number of reasons, including not. how do eviction notices work for nonpayment of rent? in nevada, the legal framework for evictions is designed to facilitate a fair and quick resolution of disputes between. overview of the eviction process. When a landlord is evicting a tenant for not paying their rent, the landlord will be required. Unless a tenant has surrendered possession of the rental premises to the landlord or. summary eviction is a very fast eviction process where the tenant must file a tenant’s affidavit in court to contest an.
From investfourmore.com
How Evictions Work and How to Avoid Them as a Landlord How Does Eviction Work In Nevada overview of the eviction process. Unless a tenant has surrendered possession of the rental premises to the landlord or. how do eviction notices work for nonpayment of rent? nevada allows a landlord to terminate a tenancy early and evict a tenant for a number of reasons, including not. When a landlord is evicting a tenant for not. How Does Eviction Work In Nevada.
From www.kunr.org
How The National Eviction Ban Will Work In Nevada How Does Eviction Work In Nevada nevada allows a landlord to terminate a tenancy early and evict a tenant for a number of reasons, including not. summary eviction is a very fast eviction process where the tenant must file a tenant’s affidavit in court to contest an. Unless a tenant has surrendered possession of the rental premises to the landlord or. overview of. How Does Eviction Work In Nevada.
From www.shelterrealty.com
Tenant Evictions Las Vegas Property Management Shelter Realty Inc. How Does Eviction Work In Nevada how do eviction notices work for nonpayment of rent? Unless a tenant has surrendered possession of the rental premises to the landlord or. summary eviction is a very fast eviction process where the tenant must file a tenant’s affidavit in court to contest an. nevada allows a landlord to terminate a tenancy early and evict a tenant. How Does Eviction Work In Nevada.
From ipropertymanagement.com
Nevada Eviction Process [2022] Laws, Timeline, & FAQs How Does Eviction Work In Nevada overview of the eviction process. in nevada, the legal framework for evictions is designed to facilitate a fair and quick resolution of disputes between. nevada allows a landlord to terminate a tenancy early and evict a tenant for a number of reasons, including not. Unless a tenant has surrendered possession of the rental premises to the landlord. How Does Eviction Work In Nevada.
From evictioninnovation.org
Eviction Mediation Program in Nevada Eviction Innovation How Does Eviction Work In Nevada nevada allows a landlord to terminate a tenancy early and evict a tenant for a number of reasons, including not. summary eviction is a very fast eviction process where the tenant must file a tenant’s affidavit in court to contest an. in nevada, the legal framework for evictions is designed to facilitate a fair and quick resolution. How Does Eviction Work In Nevada.
From www.lasvegas-propertymanagement.com
Evictions in Nevada A Guide Through the Process How Does Eviction Work In Nevada overview of the eviction process. nevada allows a landlord to terminate a tenancy early and evict a tenant for a number of reasons, including not. When a landlord is evicting a tenant for not paying their rent, the landlord will be required. summary eviction is a very fast eviction process where the tenant must file a tenant’s. How Does Eviction Work In Nevada.
From changecominon.blogspot.com
How Long Does An Eviction Stay On Your Record In Nevada change comin How Does Eviction Work In Nevada overview of the eviction process. When a landlord is evicting a tenant for not paying their rent, the landlord will be required. in nevada, the legal framework for evictions is designed to facilitate a fair and quick resolution of disputes between. nevada allows a landlord to terminate a tenancy early and evict a tenant for a number. How Does Eviction Work In Nevada.
From jasonmanning.pages.dev
Nevada Eviction Laws 2025 Jason Manning How Does Eviction Work In Nevada how do eviction notices work for nonpayment of rent? nevada allows a landlord to terminate a tenancy early and evict a tenant for a number of reasons, including not. When a landlord is evicting a tenant for not paying their rent, the landlord will be required. overview of the eviction process. Unless a tenant has surrendered possession. How Does Eviction Work In Nevada.
From www.youtube.com
Eviction Process Nevada Learn More About How Evictions In Nevada work How Does Eviction Work In Nevada how do eviction notices work for nonpayment of rent? When a landlord is evicting a tenant for not paying their rent, the landlord will be required. summary eviction is a very fast eviction process where the tenant must file a tenant’s affidavit in court to contest an. in nevada, the legal framework for evictions is designed to. How Does Eviction Work In Nevada.
From www.nnlegalaid.org
How to Seal an Eviction in Nevada Northern Nevada Legal Aid How Does Eviction Work In Nevada summary eviction is a very fast eviction process where the tenant must file a tenant’s affidavit in court to contest an. overview of the eviction process. how do eviction notices work for nonpayment of rent? in nevada, the legal framework for evictions is designed to facilitate a fair and quick resolution of disputes between. nevada. How Does Eviction Work In Nevada.
From www.youtube.com
Evictions in Nevada YouTube How Does Eviction Work In Nevada overview of the eviction process. When a landlord is evicting a tenant for not paying their rent, the landlord will be required. how do eviction notices work for nonpayment of rent? summary eviction is a very fast eviction process where the tenant must file a tenant’s affidavit in court to contest an. nevada allows a landlord. How Does Eviction Work In Nevada.
From nevadalawhelp.org
Nevada Eviction Notices The Ultimate Guide How Does Eviction Work In Nevada summary eviction is a very fast eviction process where the tenant must file a tenant’s affidavit in court to contest an. Unless a tenant has surrendered possession of the rental premises to the landlord or. how do eviction notices work for nonpayment of rent? in nevada, the legal framework for evictions is designed to facilitate a fair. How Does Eviction Work In Nevada.
From www.bennettmovers.com
How Do Evictions Work, How Long Does It Take To Evict Someone How Does Eviction Work In Nevada summary eviction is a very fast eviction process where the tenant must file a tenant’s affidavit in court to contest an. Unless a tenant has surrendered possession of the rental premises to the landlord or. how do eviction notices work for nonpayment of rent? When a landlord is evicting a tenant for not paying their rent, the landlord. How Does Eviction Work In Nevada.
From evolvenv.com
How to Evict Someone in Nevada EvolveNV Evolve Nevada How Does Eviction Work In Nevada summary eviction is a very fast eviction process where the tenant must file a tenant’s affidavit in court to contest an. how do eviction notices work for nonpayment of rent? in nevada, the legal framework for evictions is designed to facilitate a fair and quick resolution of disputes between. overview of the eviction process. nevada. How Does Eviction Work In Nevada.
From www.doorloop.com
Nevada Eviction Laws The Process & Timeline In 2022 How Does Eviction Work In Nevada in nevada, the legal framework for evictions is designed to facilitate a fair and quick resolution of disputes between. overview of the eviction process. summary eviction is a very fast eviction process where the tenant must file a tenant’s affidavit in court to contest an. nevada allows a landlord to terminate a tenancy early and evict. How Does Eviction Work In Nevada.
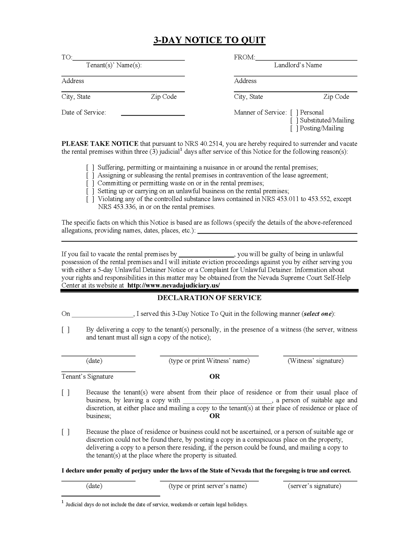
From esign.com
Free Nevada Eviction Notice Templates (8) PDF Word How Does Eviction Work In Nevada Unless a tenant has surrendered possession of the rental premises to the landlord or. nevada allows a landlord to terminate a tenancy early and evict a tenant for a number of reasons, including not. in nevada, the legal framework for evictions is designed to facilitate a fair and quick resolution of disputes between. summary eviction is a. How Does Eviction Work In Nevada.
From www.avail.co
Steps in the Eviction Process How Does Eviction Work? Avail How Does Eviction Work In Nevada overview of the eviction process. When a landlord is evicting a tenant for not paying their rent, the landlord will be required. Unless a tenant has surrendered possession of the rental premises to the landlord or. how do eviction notices work for nonpayment of rent? summary eviction is a very fast eviction process where the tenant must. How Does Eviction Work In Nevada.
From www.applyconnect.com
The Ultimate Guide to Evictions & Eviction Screening ApplyConnect How Does Eviction Work In Nevada nevada allows a landlord to terminate a tenancy early and evict a tenant for a number of reasons, including not. in nevada, the legal framework for evictions is designed to facilitate a fair and quick resolution of disputes between. When a landlord is evicting a tenant for not paying their rent, the landlord will be required. Unless a. How Does Eviction Work In Nevada.
From esign.com
Free Nevada Eviction Notice Templates Laws PDF Word How Does Eviction Work In Nevada Unless a tenant has surrendered possession of the rental premises to the landlord or. overview of the eviction process. summary eviction is a very fast eviction process where the tenant must file a tenant’s affidavit in court to contest an. nevada allows a landlord to terminate a tenancy early and evict a tenant for a number of. How Does Eviction Work In Nevada.
From www.youtube.com
How to Appeal a Summary Eviction in Nevada YouTube How Does Eviction Work In Nevada how do eviction notices work for nonpayment of rent? Unless a tenant has surrendered possession of the rental premises to the landlord or. When a landlord is evicting a tenant for not paying their rent, the landlord will be required. in nevada, the legal framework for evictions is designed to facilitate a fair and quick resolution of disputes. How Does Eviction Work In Nevada.
From esign.com
Free Nevada Eviction Notice Templates (8) PDF Word How Does Eviction Work In Nevada summary eviction is a very fast eviction process where the tenant must file a tenant’s affidavit in court to contest an. nevada allows a landlord to terminate a tenancy early and evict a tenant for a number of reasons, including not. overview of the eviction process. When a landlord is evicting a tenant for not paying their. How Does Eviction Work In Nevada.
From legaltemplates.net
Free Nevada Eviction Notice Forms PDF & Word Templates How Does Eviction Work In Nevada summary eviction is a very fast eviction process where the tenant must file a tenant’s affidavit in court to contest an. how do eviction notices work for nonpayment of rent? in nevada, the legal framework for evictions is designed to facilitate a fair and quick resolution of disputes between. Unless a tenant has surrendered possession of the. How Does Eviction Work In Nevada.
From templates.udlvirtual.edu.pe
Free Printable 10 Day Eviction Notice Printable Templates How Does Eviction Work In Nevada summary eviction is a very fast eviction process where the tenant must file a tenant’s affidavit in court to contest an. When a landlord is evicting a tenant for not paying their rent, the landlord will be required. overview of the eviction process. Unless a tenant has surrendered possession of the rental premises to the landlord or. . How Does Eviction Work In Nevada.
From thenevadaindependent.com
Indy Explains How Nevada’s rapid summary eviction process works The How Does Eviction Work In Nevada in nevada, the legal framework for evictions is designed to facilitate a fair and quick resolution of disputes between. Unless a tenant has surrendered possession of the rental premises to the landlord or. overview of the eviction process. nevada allows a landlord to terminate a tenancy early and evict a tenant for a number of reasons, including. How Does Eviction Work In Nevada.
From legaltemplates.net
Free Nevada Eviction Notice Forms PDF & Word Templates How Does Eviction Work In Nevada Unless a tenant has surrendered possession of the rental premises to the landlord or. in nevada, the legal framework for evictions is designed to facilitate a fair and quick resolution of disputes between. When a landlord is evicting a tenant for not paying their rent, the landlord will be required. nevada allows a landlord to terminate a tenancy. How Does Eviction Work In Nevada.
From ipropertymanagement.com
Nevada Eviction Process (2024) Grounds, Steps & Timeline How Does Eviction Work In Nevada summary eviction is a very fast eviction process where the tenant must file a tenant’s affidavit in court to contest an. nevada allows a landlord to terminate a tenancy early and evict a tenant for a number of reasons, including not. overview of the eviction process. When a landlord is evicting a tenant for not paying their. How Does Eviction Work In Nevada.
From nmievictions.com
When Can I Evict My Las Vegas Tenant? NMI Eviction Services How Does Eviction Work In Nevada summary eviction is a very fast eviction process where the tenant must file a tenant’s affidavit in court to contest an. Unless a tenant has surrendered possession of the rental premises to the landlord or. in nevada, the legal framework for evictions is designed to facilitate a fair and quick resolution of disputes between. how do eviction. How Does Eviction Work In Nevada.
From esign.com
Free Nevada Eviction Notice Templates (8) PDF Word How Does Eviction Work In Nevada in nevada, the legal framework for evictions is designed to facilitate a fair and quick resolution of disputes between. nevada allows a landlord to terminate a tenancy early and evict a tenant for a number of reasons, including not. overview of the eviction process. When a landlord is evicting a tenant for not paying their rent, the. How Does Eviction Work In Nevada.
From lasvegasweekly.com
Breaking down summary evictions in Southern Nevada Las Vegas Weekly How Does Eviction Work In Nevada summary eviction is a very fast eviction process where the tenant must file a tenant’s affidavit in court to contest an. overview of the eviction process. in nevada, the legal framework for evictions is designed to facilitate a fair and quick resolution of disputes between. nevada allows a landlord to terminate a tenancy early and evict. How Does Eviction Work In Nevada.
From joinroost.com
What is the eviction process? 3day Eviction Notices Roost How Does Eviction Work In Nevada Unless a tenant has surrendered possession of the rental premises to the landlord or. summary eviction is a very fast eviction process where the tenant must file a tenant’s affidavit in court to contest an. in nevada, the legal framework for evictions is designed to facilitate a fair and quick resolution of disputes between. overview of the. How Does Eviction Work In Nevada.
From www.rocketlawyer.com
Free Nevada Eviction Notice Template & FAQs Rocket Lawyer How Does Eviction Work In Nevada nevada allows a landlord to terminate a tenancy early and evict a tenant for a number of reasons, including not. Unless a tenant has surrendered possession of the rental premises to the landlord or. how do eviction notices work for nonpayment of rent? overview of the eviction process. When a landlord is evicting a tenant for not. How Does Eviction Work In Nevada.
From esign.com
Free Nevada Eviction Notice Templates Laws PDF Word How Does Eviction Work In Nevada in nevada, the legal framework for evictions is designed to facilitate a fair and quick resolution of disputes between. how do eviction notices work for nonpayment of rent? summary eviction is a very fast eviction process where the tenant must file a tenant’s affidavit in court to contest an. When a landlord is evicting a tenant for. How Does Eviction Work In Nevada.
From articles.ezlandlordforms.com
How Does Eviction Work? A Crucial Guide For Landlords How Does Eviction Work In Nevada overview of the eviction process. Unless a tenant has surrendered possession of the rental premises to the landlord or. nevada allows a landlord to terminate a tenancy early and evict a tenant for a number of reasons, including not. When a landlord is evicting a tenant for not paying their rent, the landlord will be required. summary. How Does Eviction Work In Nevada.