Standard Error Of B0 Formula . the first step in both tests is to calculate the mean square error (mse), which provides an estimate of the variance of the error. Recall that the regression line. normal error regression model yi= β0 + β1xi+ εi,εi∼ iidn(0,σ2) •the random error term is assumed to be independent nor. — the standard deviation of the distribution of the parameter estimates is called the standard error of the. Hundreds of regression analysis articles. Sbk, the standard error of. — the standard error of the estimate is a measure of the accuracy of predictions. Because of sampling variability, this estimate may be too high or too low. Recall that bk is a point estimate of βk. The mean square error (mse) in the anova table, we end up with your expression for. — the standard error of a regression slope is a way to measure the “uncertainty” in the estimate of a regression slope.
from kandadata.com
Hundreds of regression analysis articles. normal error regression model yi= β0 + β1xi+ εi,εi∼ iidn(0,σ2) •the random error term is assumed to be independent nor. the first step in both tests is to calculate the mean square error (mse), which provides an estimate of the variance of the error. — the standard error of the estimate is a measure of the accuracy of predictions. — the standard deviation of the distribution of the parameter estimates is called the standard error of the. — the standard error of a regression slope is a way to measure the “uncertainty” in the estimate of a regression slope. Recall that the regression line. Sbk, the standard error of. Because of sampling variability, this estimate may be too high or too low. The mean square error (mse) in the anova table, we end up with your expression for.
How to Calculate Variance, Standard Error, and TValue in Multiple
Standard Error Of B0 Formula Sbk, the standard error of. — the standard deviation of the distribution of the parameter estimates is called the standard error of the. Hundreds of regression analysis articles. Because of sampling variability, this estimate may be too high or too low. — the standard error of the estimate is a measure of the accuracy of predictions. normal error regression model yi= β0 + β1xi+ εi,εi∼ iidn(0,σ2) •the random error term is assumed to be independent nor. The mean square error (mse) in the anova table, we end up with your expression for. Recall that bk is a point estimate of βk. — the standard error of a regression slope is a way to measure the “uncertainty” in the estimate of a regression slope. Recall that the regression line. Sbk, the standard error of. the first step in both tests is to calculate the mean square error (mse), which provides an estimate of the variance of the error.
From ar.inspiredpencil.com
Confidence Interval Formula With Standard Error Standard Error Of B0 Formula Recall that the regression line. normal error regression model yi= β0 + β1xi+ εi,εi∼ iidn(0,σ2) •the random error term is assumed to be independent nor. — the standard deviation of the distribution of the parameter estimates is called the standard error of the. — the standard error of the estimate is a measure of the accuracy of. Standard Error Of B0 Formula.
From www.slideserve.com
PPT 103 Regression PowerPoint Presentation, free download ID2928954 Standard Error Of B0 Formula Recall that bk is a point estimate of βk. the first step in both tests is to calculate the mean square error (mse), which provides an estimate of the variance of the error. — the standard error of the estimate is a measure of the accuracy of predictions. Hundreds of regression analysis articles. — the standard deviation. Standard Error Of B0 Formula.
From slideplayer.com
Chapter 10 Correlation and Regression ppt download Standard Error Of B0 Formula Recall that bk is a point estimate of βk. normal error regression model yi= β0 + β1xi+ εi,εi∼ iidn(0,σ2) •the random error term is assumed to be independent nor. Recall that the regression line. — the standard deviation of the distribution of the parameter estimates is called the standard error of the. — the standard error of. Standard Error Of B0 Formula.
From animalia-life.club
Standard Error Equation Standard Error Of B0 Formula — the standard error of a regression slope is a way to measure the “uncertainty” in the estimate of a regression slope. Recall that bk is a point estimate of βk. Recall that the regression line. — the standard error of the estimate is a measure of the accuracy of predictions. Because of sampling variability, this estimate may. Standard Error Of B0 Formula.
From slideplayer.com
Linear Regression and Correlation ppt download Standard Error Of B0 Formula Because of sampling variability, this estimate may be too high or too low. Hundreds of regression analysis articles. The mean square error (mse) in the anova table, we end up with your expression for. Recall that the regression line. normal error regression model yi= β0 + β1xi+ εi,εi∼ iidn(0,σ2) •the random error term is assumed to be independent nor.. Standard Error Of B0 Formula.
From ar.inspiredpencil.com
How To Calculate Standard Error Standard Error Of B0 Formula Sbk, the standard error of. The mean square error (mse) in the anova table, we end up with your expression for. the first step in both tests is to calculate the mean square error (mse), which provides an estimate of the variance of the error. Because of sampling variability, this estimate may be too high or too low. . Standard Error Of B0 Formula.
From articles.outlier.org
What Is Standard Error? Statistics Calculation and Overview Outlier Standard Error Of B0 Formula Recall that the regression line. — the standard error of the estimate is a measure of the accuracy of predictions. normal error regression model yi= β0 + β1xi+ εi,εi∼ iidn(0,σ2) •the random error term is assumed to be independent nor. — the standard error of a regression slope is a way to measure the “uncertainty” in the. Standard Error Of B0 Formula.
From medium.com
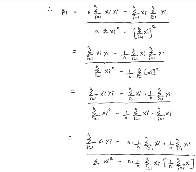
How to derive B0 and B1 in Linear Regression by Induraj Medium Standard Error Of B0 Formula Because of sampling variability, this estimate may be too high or too low. — the standard error of a regression slope is a way to measure the “uncertainty” in the estimate of a regression slope. the first step in both tests is to calculate the mean square error (mse), which provides an estimate of the variance of the. Standard Error Of B0 Formula.
From lessonlibwavenumber.z21.web.core.windows.net
Linear Regression Linear Algebra Standard Error Of B0 Formula — the standard error of the estimate is a measure of the accuracy of predictions. — the standard error of a regression slope is a way to measure the “uncertainty” in the estimate of a regression slope. the first step in both tests is to calculate the mean square error (mse), which provides an estimate of the. Standard Error Of B0 Formula.
From animalia-life.club
Standard Error Equation Standard Error Of B0 Formula — the standard deviation of the distribution of the parameter estimates is called the standard error of the. — the standard error of the estimate is a measure of the accuracy of predictions. normal error regression model yi= β0 + β1xi+ εi,εi∼ iidn(0,σ2) •the random error term is assumed to be independent nor. the first step. Standard Error Of B0 Formula.
From solutionpharmacy.in
Standard Error of Mean (SEM) Solution Parmacy Standard Error Of B0 Formula Because of sampling variability, this estimate may be too high or too low. — the standard deviation of the distribution of the parameter estimates is called the standard error of the. normal error regression model yi= β0 + β1xi+ εi,εi∼ iidn(0,σ2) •the random error term is assumed to be independent nor. the first step in both tests. Standard Error Of B0 Formula.
From pilotjump.weebly.com
How to calculate standard error equation pilotjump Standard Error Of B0 Formula normal error regression model yi= β0 + β1xi+ εi,εi∼ iidn(0,σ2) •the random error term is assumed to be independent nor. — the standard deviation of the distribution of the parameter estimates is called the standard error of the. — the standard error of a regression slope is a way to measure the “uncertainty” in the estimate of. Standard Error Of B0 Formula.
From kandadata.com
Calculating Variance, Standard Error, and TStatistics in Simple Linear Standard Error Of B0 Formula Recall that bk is a point estimate of βk. normal error regression model yi= β0 + β1xi+ εi,εi∼ iidn(0,σ2) •the random error term is assumed to be independent nor. The mean square error (mse) in the anova table, we end up with your expression for. Recall that the regression line. — the standard error of a regression slope. Standard Error Of B0 Formula.
From stats.stackexchange.com
Standard error in multiple regression Cross Validated Standard Error Of B0 Formula — the standard error of the estimate is a measure of the accuracy of predictions. The mean square error (mse) in the anova table, we end up with your expression for. normal error regression model yi= β0 + β1xi+ εi,εi∼ iidn(0,σ2) •the random error term is assumed to be independent nor. — the standard deviation of the. Standard Error Of B0 Formula.
From www.inchcalculator.com
Standard Error Calculator Inch Calculator Standard Error Of B0 Formula Because of sampling variability, this estimate may be too high or too low. Recall that the regression line. Sbk, the standard error of. — the standard error of the estimate is a measure of the accuracy of predictions. — the standard error of a regression slope is a way to measure the “uncertainty” in the estimate of a. Standard Error Of B0 Formula.
From siliconvalleygazette.com
Tips for Correcting Standard Errors Indicating Regression Silicon Standard Error Of B0 Formula Because of sampling variability, this estimate may be too high or too low. Recall that the regression line. the first step in both tests is to calculate the mean square error (mse), which provides an estimate of the variance of the error. — the standard deviation of the distribution of the parameter estimates is called the standard error. Standard Error Of B0 Formula.
From www.wikihow.com
How to Calculate Mean, Standard Deviation, and Standard Error (with Standard Error Of B0 Formula Recall that bk is a point estimate of βk. Recall that the regression line. the first step in both tests is to calculate the mean square error (mse), which provides an estimate of the variance of the error. Because of sampling variability, this estimate may be too high or too low. — the standard error of a regression. Standard Error Of B0 Formula.
From stashokgplus.weebly.com
How to calculate standard error of the sample mean stashokgplus Standard Error Of B0 Formula Recall that bk is a point estimate of βk. Hundreds of regression analysis articles. The mean square error (mse) in the anova table, we end up with your expression for. Recall that the regression line. normal error regression model yi= β0 + β1xi+ εi,εi∼ iidn(0,σ2) •the random error term is assumed to be independent nor. — the standard. Standard Error Of B0 Formula.
From es.wikihow.com
Cómo calcular el error estándar 12 Pasos (con imágenes) Standard Error Of B0 Formula the first step in both tests is to calculate the mean square error (mse), which provides an estimate of the variance of the error. Because of sampling variability, this estimate may be too high or too low. Hundreds of regression analysis articles. Recall that the regression line. — the standard error of a regression slope is a way. Standard Error Of B0 Formula.
From articles.outlier.org
What Is Standard Error? Statistics Calculation and Overview Outlier Standard Error Of B0 Formula Hundreds of regression analysis articles. — the standard error of a regression slope is a way to measure the “uncertainty” in the estimate of a regression slope. normal error regression model yi= β0 + β1xi+ εi,εi∼ iidn(0,σ2) •the random error term is assumed to be independent nor. the first step in both tests is to calculate the. Standard Error Of B0 Formula.
From kandadata.com
How to Calculate Variance, Standard Error, and TValue in Multiple Standard Error Of B0 Formula The mean square error (mse) in the anova table, we end up with your expression for. Sbk, the standard error of. the first step in both tests is to calculate the mean square error (mse), which provides an estimate of the variance of the error. — the standard deviation of the distribution of the parameter estimates is called. Standard Error Of B0 Formula.
From www.scribbr.com
What Is Standard Error? How to Calculate (Guide with Examples) Standard Error Of B0 Formula — the standard error of the estimate is a measure of the accuracy of predictions. The mean square error (mse) in the anova table, we end up with your expression for. Because of sampling variability, this estimate may be too high or too low. Hundreds of regression analysis articles. Recall that bk is a point estimate of βk. Sbk,. Standard Error Of B0 Formula.
From exoydjlii.blob.core.windows.net
Standard Error Formula Derivation at Rose Dempsey blog Standard Error Of B0 Formula Sbk, the standard error of. Because of sampling variability, this estimate may be too high or too low. — the standard deviation of the distribution of the parameter estimates is called the standard error of the. Hundreds of regression analysis articles. normal error regression model yi= β0 + β1xi+ εi,εi∼ iidn(0,σ2) •the random error term is assumed to. Standard Error Of B0 Formula.
From nattukunqnews.blogspot.com
Standard Error Equation / What is the Standard Error of the Estimate Standard Error Of B0 Formula normal error regression model yi= β0 + β1xi+ εi,εi∼ iidn(0,σ2) •the random error term is assumed to be independent nor. — the standard error of the estimate is a measure of the accuracy of predictions. The mean square error (mse) in the anova table, we end up with your expression for. Because of sampling variability, this estimate may. Standard Error Of B0 Formula.
From www.statology.org
Understanding the Standard Error of a Regression Slope Standard Error Of B0 Formula Sbk, the standard error of. the first step in both tests is to calculate the mean square error (mse), which provides an estimate of the variance of the error. — the standard error of a regression slope is a way to measure the “uncertainty” in the estimate of a regression slope. The mean square error (mse) in the. Standard Error Of B0 Formula.
From kandadata.com
How to Calculate Variance, Standard Error, and TValue in Multiple Standard Error Of B0 Formula The mean square error (mse) in the anova table, we end up with your expression for. — the standard deviation of the distribution of the parameter estimates is called the standard error of the. normal error regression model yi= β0 + β1xi+ εi,εi∼ iidn(0,σ2) •the random error term is assumed to be independent nor. Because of sampling variability,. Standard Error Of B0 Formula.
From articles.outlier.org
What Is Standard Error? Statistics Calculation and Overview Outlier Standard Error Of B0 Formula the first step in both tests is to calculate the mean square error (mse), which provides an estimate of the variance of the error. Recall that bk is a point estimate of βk. Because of sampling variability, this estimate may be too high or too low. — the standard error of the estimate is a measure of the. Standard Error Of B0 Formula.
From www.chegg.com
Solved Problem 4. Let B, be the OLS estimator of B, in the Standard Error Of B0 Formula The mean square error (mse) in the anova table, we end up with your expression for. Sbk, the standard error of. — the standard deviation of the distribution of the parameter estimates is called the standard error of the. Recall that the regression line. Because of sampling variability, this estimate may be too high or too low. —. Standard Error Of B0 Formula.
From exoipcyhx.blob.core.windows.net
Standard Error Of The Mean Interpretation at John Root blog Standard Error Of B0 Formula Recall that the regression line. normal error regression model yi= β0 + β1xi+ εi,εi∼ iidn(0,σ2) •the random error term is assumed to be independent nor. Hundreds of regression analysis articles. — the standard deviation of the distribution of the parameter estimates is called the standard error of the. Because of sampling variability, this estimate may be too high. Standard Error Of B0 Formula.
From ar.inspiredpencil.com
Standard Error Formula Regression Standard Error Of B0 Formula The mean square error (mse) in the anova table, we end up with your expression for. Hundreds of regression analysis articles. Recall that the regression line. Because of sampling variability, this estimate may be too high or too low. — the standard deviation of the distribution of the parameter estimates is called the standard error of the. normal. Standard Error Of B0 Formula.
From toohha098.blogspot.com
Standard Error / Image result for pooled standard error Standard Standard Error Of B0 Formula normal error regression model yi= β0 + β1xi+ εi,εi∼ iidn(0,σ2) •the random error term is assumed to be independent nor. Recall that bk is a point estimate of βk. the first step in both tests is to calculate the mean square error (mse), which provides an estimate of the variance of the error. — the standard error. Standard Error Of B0 Formula.
From www.slideserve.com
PPT 簡單迴歸模型的基本假設 PowerPoint Presentation, free download ID5074388 Standard Error Of B0 Formula Sbk, the standard error of. — the standard error of a regression slope is a way to measure the “uncertainty” in the estimate of a regression slope. normal error regression model yi= β0 + β1xi+ εi,εi∼ iidn(0,σ2) •the random error term is assumed to be independent nor. the first step in both tests is to calculate the. Standard Error Of B0 Formula.
From slideplayer.com
Unit 6 Inferences with 2 Predictors ppt download Standard Error Of B0 Formula — the standard deviation of the distribution of the parameter estimates is called the standard error of the. Hundreds of regression analysis articles. — the standard error of a regression slope is a way to measure the “uncertainty” in the estimate of a regression slope. Recall that bk is a point estimate of βk. the first step. Standard Error Of B0 Formula.
From ar.inspiredpencil.com
Standard Error Standard Error Of B0 Formula Recall that bk is a point estimate of βk. the first step in both tests is to calculate the mean square error (mse), which provides an estimate of the variance of the error. — the standard deviation of the distribution of the parameter estimates is called the standard error of the. Sbk, the standard error of. normal. Standard Error Of B0 Formula.
From articles.outlier.org
What Is Standard Error? Statistics Calculation and Overview Outlier Standard Error Of B0 Formula — the standard error of a regression slope is a way to measure the “uncertainty” in the estimate of a regression slope. Because of sampling variability, this estimate may be too high or too low. Recall that the regression line. The mean square error (mse) in the anova table, we end up with your expression for. — the. Standard Error Of B0 Formula.