Temperature Cycling Testing Coffin-Manson Equation . Af = calculated acceleration factor (on a cycle. Projection to other temperature cycling ranges. This paper investigates the statistical analysis of grouped accelerated temperature cycling test data when the product. The acceleration factor resulting from the temperature cycle test is the ratio of the product life at normal operating conditions to. Temperature cycle testing is included in almost all cases where blr testing is performed. Mechanical tests, on the other hand, are more.
from www.researchgate.net
Projection to other temperature cycling ranges. Af = calculated acceleration factor (on a cycle. This paper investigates the statistical analysis of grouped accelerated temperature cycling test data when the product. Mechanical tests, on the other hand, are more. Temperature cycle testing is included in almost all cases where blr testing is performed. The acceleration factor resulting from the temperature cycle test is the ratio of the product life at normal operating conditions to.
The Coffin Manson equation at different testing temperatures
Temperature Cycling Testing Coffin-Manson Equation Af = calculated acceleration factor (on a cycle. Projection to other temperature cycling ranges. Temperature cycle testing is included in almost all cases where blr testing is performed. Mechanical tests, on the other hand, are more. This paper investigates the statistical analysis of grouped accelerated temperature cycling test data when the product. Af = calculated acceleration factor (on a cycle. The acceleration factor resulting from the temperature cycle test is the ratio of the product life at normal operating conditions to.
From www.slideshare.net
overview of reliability engineering Temperature Cycling Testing Coffin-Manson Equation This paper investigates the statistical analysis of grouped accelerated temperature cycling test data when the product. Af = calculated acceleration factor (on a cycle. Mechanical tests, on the other hand, are more. The acceleration factor resulting from the temperature cycle test is the ratio of the product life at normal operating conditions to. Temperature cycle testing is included in almost. Temperature Cycling Testing Coffin-Manson Equation.
From www.researchgate.net
CoffinManson plot of data from eighteen lowcycle fatigue tests and Temperature Cycling Testing Coffin-Manson Equation The acceleration factor resulting from the temperature cycle test is the ratio of the product life at normal operating conditions to. Temperature cycle testing is included in almost all cases where blr testing is performed. Af = calculated acceleration factor (on a cycle. This paper investigates the statistical analysis of grouped accelerated temperature cycling test data when the product. Mechanical. Temperature Cycling Testing Coffin-Manson Equation.
From www.researchgate.net
[22] Engelmaier's CoffinManson plot showing contributions of strains Temperature Cycling Testing Coffin-Manson Equation The acceleration factor resulting from the temperature cycle test is the ratio of the product life at normal operating conditions to. Af = calculated acceleration factor (on a cycle. Mechanical tests, on the other hand, are more. Temperature cycle testing is included in almost all cases where blr testing is performed. This paper investigates the statistical analysis of grouped accelerated. Temperature Cycling Testing Coffin-Manson Equation.
From www.researchgate.net
Parameters of CoffinManson equation 9Cr steel at RT and 630 Temperature Cycling Testing Coffin-Manson Equation The acceleration factor resulting from the temperature cycle test is the ratio of the product life at normal operating conditions to. Af = calculated acceleration factor (on a cycle. Temperature cycle testing is included in almost all cases where blr testing is performed. Mechanical tests, on the other hand, are more. This paper investigates the statistical analysis of grouped accelerated. Temperature Cycling Testing Coffin-Manson Equation.
From www.desolutions.com
Temperature Cycling Testing CoffinManson Equation Delserro Temperature Cycling Testing Coffin-Manson Equation Projection to other temperature cycling ranges. Mechanical tests, on the other hand, are more. Af = calculated acceleration factor (on a cycle. The acceleration factor resulting from the temperature cycle test is the ratio of the product life at normal operating conditions to. This paper investigates the statistical analysis of grouped accelerated temperature cycling test data when the product. Temperature. Temperature Cycling Testing Coffin-Manson Equation.
From www.scribd.com
Temperature Cycling Testing CoffinManson Equation PDF Temperature Cycling Testing Coffin-Manson Equation Af = calculated acceleration factor (on a cycle. The acceleration factor resulting from the temperature cycle test is the ratio of the product life at normal operating conditions to. Mechanical tests, on the other hand, are more. This paper investigates the statistical analysis of grouped accelerated temperature cycling test data when the product. Temperature cycle testing is included in almost. Temperature Cycling Testing Coffin-Manson Equation.
From www.researchgate.net
The Coffin Manson equation at different testing temperatures Temperature Cycling Testing Coffin-Manson Equation The acceleration factor resulting from the temperature cycle test is the ratio of the product life at normal operating conditions to. Mechanical tests, on the other hand, are more. This paper investigates the statistical analysis of grouped accelerated temperature cycling test data when the product. Projection to other temperature cycling ranges. Af = calculated acceleration factor (on a cycle. Temperature. Temperature Cycling Testing Coffin-Manson Equation.
From www.semanticscholar.org
Figure 2 from Accelerated temperature cycle test and CoffinManson Temperature Cycling Testing Coffin-Manson Equation Mechanical tests, on the other hand, are more. Temperature cycle testing is included in almost all cases where blr testing is performed. This paper investigates the statistical analysis of grouped accelerated temperature cycling test data when the product. Af = calculated acceleration factor (on a cycle. Projection to other temperature cycling ranges. The acceleration factor resulting from the temperature cycle. Temperature Cycling Testing Coffin-Manson Equation.
From www.researchgate.net
10 Determination of the CoffinManson fatigue model constants using Temperature Cycling Testing Coffin-Manson Equation Projection to other temperature cycling ranges. Af = calculated acceleration factor (on a cycle. Mechanical tests, on the other hand, are more. The acceleration factor resulting from the temperature cycle test is the ratio of the product life at normal operating conditions to. This paper investigates the statistical analysis of grouped accelerated temperature cycling test data when the product. Temperature. Temperature Cycling Testing Coffin-Manson Equation.
From www.semanticscholar.org
A CoffinManson model to predict the TRIAC solder joints fatigue during Temperature Cycling Testing Coffin-Manson Equation Af = calculated acceleration factor (on a cycle. Temperature cycle testing is included in almost all cases where blr testing is performed. The acceleration factor resulting from the temperature cycle test is the ratio of the product life at normal operating conditions to. Projection to other temperature cycling ranges. Mechanical tests, on the other hand, are more. This paper investigates. Temperature Cycling Testing Coffin-Manson Equation.
From www.semanticscholar.org
Table 1 from ON THE USE OF THE MODIFIED MANSONCOFFIN CURVES TO PREDICT Temperature Cycling Testing Coffin-Manson Equation Temperature cycle testing is included in almost all cases where blr testing is performed. The acceleration factor resulting from the temperature cycle test is the ratio of the product life at normal operating conditions to. Af = calculated acceleration factor (on a cycle. Projection to other temperature cycling ranges. This paper investigates the statistical analysis of grouped accelerated temperature cycling. Temperature Cycling Testing Coffin-Manson Equation.
From www.researchgate.net
(a) MansonCoffin strainlife curve from regression analysis, with Temperature Cycling Testing Coffin-Manson Equation The acceleration factor resulting from the temperature cycle test is the ratio of the product life at normal operating conditions to. Temperature cycle testing is included in almost all cases where blr testing is performed. Mechanical tests, on the other hand, are more. Projection to other temperature cycling ranges. Af = calculated acceleration factor (on a cycle. This paper investigates. Temperature Cycling Testing Coffin-Manson Equation.
From slideplayer.com
Specifying Warranty Must Understand Reliability of Product ppt download Temperature Cycling Testing Coffin-Manson Equation The acceleration factor resulting from the temperature cycle test is the ratio of the product life at normal operating conditions to. Temperature cycle testing is included in almost all cases where blr testing is performed. Mechanical tests, on the other hand, are more. Projection to other temperature cycling ranges. Af = calculated acceleration factor (on a cycle. This paper investigates. Temperature Cycling Testing Coffin-Manson Equation.
From www.numerade.com
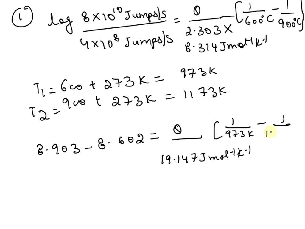
SOLVED Problem 3 CoffinManson is an extension of the Arrhenius Temperature Cycling Testing Coffin-Manson Equation Mechanical tests, on the other hand, are more. Af = calculated acceleration factor (on a cycle. This paper investigates the statistical analysis of grouped accelerated temperature cycling test data when the product. Temperature cycle testing is included in almost all cases where blr testing is performed. The acceleration factor resulting from the temperature cycle test is the ratio of the. Temperature Cycling Testing Coffin-Manson Equation.
From www.researchgate.net
CoffinManson equation plots of (a) the BM and (b) the WJ. Download Temperature Cycling Testing Coffin-Manson Equation Af = calculated acceleration factor (on a cycle. The acceleration factor resulting from the temperature cycle test is the ratio of the product life at normal operating conditions to. This paper investigates the statistical analysis of grouped accelerated temperature cycling test data when the product. Temperature cycle testing is included in almost all cases where blr testing is performed. Projection. Temperature Cycling Testing Coffin-Manson Equation.
From www.researchgate.net
CoffinManson universal slopes comparison to measured fatigue data and Temperature Cycling Testing Coffin-Manson Equation The acceleration factor resulting from the temperature cycle test is the ratio of the product life at normal operating conditions to. Temperature cycle testing is included in almost all cases where blr testing is performed. Mechanical tests, on the other hand, are more. This paper investigates the statistical analysis of grouped accelerated temperature cycling test data when the product. Projection. Temperature Cycling Testing Coffin-Manson Equation.
From ieeexplore.ieee.org
Accelerated temperature cycle test and CoffinManson model for Temperature Cycling Testing Coffin-Manson Equation This paper investigates the statistical analysis of grouped accelerated temperature cycling test data when the product. Temperature cycle testing is included in almost all cases where blr testing is performed. Af = calculated acceleration factor (on a cycle. Mechanical tests, on the other hand, are more. Projection to other temperature cycling ranges. The acceleration factor resulting from the temperature cycle. Temperature Cycling Testing Coffin-Manson Equation.
From www.scribd.com
Temperature Cycling Testing CoffinManson Equation Delserro Temperature Cycling Testing Coffin-Manson Equation Projection to other temperature cycling ranges. This paper investigates the statistical analysis of grouped accelerated temperature cycling test data when the product. Temperature cycle testing is included in almost all cases where blr testing is performed. The acceleration factor resulting from the temperature cycle test is the ratio of the product life at normal operating conditions to. Af = calculated. Temperature Cycling Testing Coffin-Manson Equation.
From www.slideshare.net
Probabilistic design for reliability (pdfr) in electronics part1of2 Temperature Cycling Testing Coffin-Manson Equation Temperature cycle testing is included in almost all cases where blr testing is performed. The acceleration factor resulting from the temperature cycle test is the ratio of the product life at normal operating conditions to. Mechanical tests, on the other hand, are more. Projection to other temperature cycling ranges. This paper investigates the statistical analysis of grouped accelerated temperature cycling. Temperature Cycling Testing Coffin-Manson Equation.
From www.researchgate.net
Parameters of CoffinManson equation 9Cr steel at RT and 630 Temperature Cycling Testing Coffin-Manson Equation Mechanical tests, on the other hand, are more. Af = calculated acceleration factor (on a cycle. Projection to other temperature cycling ranges. Temperature cycle testing is included in almost all cases where blr testing is performed. This paper investigates the statistical analysis of grouped accelerated temperature cycling test data when the product. The acceleration factor resulting from the temperature cycle. Temperature Cycling Testing Coffin-Manson Equation.
From www.researchgate.net
CoffinManson equation plots of (a) the BM and (b) the WJ. Download Temperature Cycling Testing Coffin-Manson Equation This paper investigates the statistical analysis of grouped accelerated temperature cycling test data when the product. Temperature cycle testing is included in almost all cases where blr testing is performed. Af = calculated acceleration factor (on a cycle. Mechanical tests, on the other hand, are more. Projection to other temperature cycling ranges. The acceleration factor resulting from the temperature cycle. Temperature Cycling Testing Coffin-Manson Equation.
From www.desolutions.com
Temperature Cycling Testing CoffinManson Equation Delserro Temperature Cycling Testing Coffin-Manson Equation The acceleration factor resulting from the temperature cycle test is the ratio of the product life at normal operating conditions to. Mechanical tests, on the other hand, are more. Af = calculated acceleration factor (on a cycle. Temperature cycle testing is included in almost all cases where blr testing is performed. This paper investigates the statistical analysis of grouped accelerated. Temperature Cycling Testing Coffin-Manson Equation.
From www.researchgate.net
Comparison between theoretical prediction of Equation 5 and Temperature Cycling Testing Coffin-Manson Equation Projection to other temperature cycling ranges. Temperature cycle testing is included in almost all cases where blr testing is performed. This paper investigates the statistical analysis of grouped accelerated temperature cycling test data when the product. Af = calculated acceleration factor (on a cycle. The acceleration factor resulting from the temperature cycle test is the ratio of the product life. Temperature Cycling Testing Coffin-Manson Equation.
From www.semanticscholar.org
Accelerated temperature cycle test and CoffinManson model for Temperature Cycling Testing Coffin-Manson Equation Temperature cycle testing is included in almost all cases where blr testing is performed. Projection to other temperature cycling ranges. This paper investigates the statistical analysis of grouped accelerated temperature cycling test data when the product. The acceleration factor resulting from the temperature cycle test is the ratio of the product life at normal operating conditions to. Mechanical tests, on. Temperature Cycling Testing Coffin-Manson Equation.
From www.researchgate.net
Graph of the Coffin Manson equation. For a low number of cycles, the Temperature Cycling Testing Coffin-Manson Equation Mechanical tests, on the other hand, are more. The acceleration factor resulting from the temperature cycle test is the ratio of the product life at normal operating conditions to. Af = calculated acceleration factor (on a cycle. This paper investigates the statistical analysis of grouped accelerated temperature cycling test data when the product. Projection to other temperature cycling ranges. Temperature. Temperature Cycling Testing Coffin-Manson Equation.
From www.researchgate.net
Parameters of CoffinManson equation 9Cr steel at RT and 630 Temperature Cycling Testing Coffin-Manson Equation This paper investigates the statistical analysis of grouped accelerated temperature cycling test data when the product. Projection to other temperature cycling ranges. The acceleration factor resulting from the temperature cycle test is the ratio of the product life at normal operating conditions to. Mechanical tests, on the other hand, are more. Af = calculated acceleration factor (on a cycle. Temperature. Temperature Cycling Testing Coffin-Manson Equation.
From www.researchgate.net
2 Loglog representation of the power cycling data. The CoffinManson Temperature Cycling Testing Coffin-Manson Equation Temperature cycle testing is included in almost all cases where blr testing is performed. Af = calculated acceleration factor (on a cycle. Projection to other temperature cycling ranges. The acceleration factor resulting from the temperature cycle test is the ratio of the product life at normal operating conditions to. This paper investigates the statistical analysis of grouped accelerated temperature cycling. Temperature Cycling Testing Coffin-Manson Equation.
From www.researchgate.net
Cyclic mechanical properties and parameters in the Coffin Manson Temperature Cycling Testing Coffin-Manson Equation Projection to other temperature cycling ranges. Mechanical tests, on the other hand, are more. The acceleration factor resulting from the temperature cycle test is the ratio of the product life at normal operating conditions to. Temperature cycle testing is included in almost all cases where blr testing is performed. This paper investigates the statistical analysis of grouped accelerated temperature cycling. Temperature Cycling Testing Coffin-Manson Equation.
From www.researchgate.net
(a) Total strain fatigue life diagrams (Coffin?Manson and Basquin Temperature Cycling Testing Coffin-Manson Equation This paper investigates the statistical analysis of grouped accelerated temperature cycling test data when the product. Projection to other temperature cycling ranges. Temperature cycle testing is included in almost all cases where blr testing is performed. Af = calculated acceleration factor (on a cycle. The acceleration factor resulting from the temperature cycle test is the ratio of the product life. Temperature Cycling Testing Coffin-Manson Equation.
From www.researchgate.net
Material parameters of CoffinManson equation. Download Scientific Temperature Cycling Testing Coffin-Manson Equation Af = calculated acceleration factor (on a cycle. Mechanical tests, on the other hand, are more. This paper investigates the statistical analysis of grouped accelerated temperature cycling test data when the product. The acceleration factor resulting from the temperature cycle test is the ratio of the product life at normal operating conditions to. Temperature cycle testing is included in almost. Temperature Cycling Testing Coffin-Manson Equation.
From www.semanticscholar.org
Accelerated temperature cycle test and CoffinManson model for Temperature Cycling Testing Coffin-Manson Equation This paper investigates the statistical analysis of grouped accelerated temperature cycling test data when the product. The acceleration factor resulting from the temperature cycle test is the ratio of the product life at normal operating conditions to. Af = calculated acceleration factor (on a cycle. Projection to other temperature cycling ranges. Mechanical tests, on the other hand, are more. Temperature. Temperature Cycling Testing Coffin-Manson Equation.
From www.researchgate.net
MansonCoffin plots of fatigued copper, abrass and some ferritic Temperature Cycling Testing Coffin-Manson Equation Mechanical tests, on the other hand, are more. The acceleration factor resulting from the temperature cycle test is the ratio of the product life at normal operating conditions to. Af = calculated acceleration factor (on a cycle. Temperature cycle testing is included in almost all cases where blr testing is performed. Projection to other temperature cycling ranges. This paper investigates. Temperature Cycling Testing Coffin-Manson Equation.
From www.semanticscholar.org
Accelerated temperature cycle test and CoffinManson model for Temperature Cycling Testing Coffin-Manson Equation Temperature cycle testing is included in almost all cases where blr testing is performed. Af = calculated acceleration factor (on a cycle. The acceleration factor resulting from the temperature cycle test is the ratio of the product life at normal operating conditions to. This paper investigates the statistical analysis of grouped accelerated temperature cycling test data when the product. Mechanical. Temperature Cycling Testing Coffin-Manson Equation.
From www.researchgate.net
Parameters of CoffinManson equation 9Cr steel at RT and 630 Temperature Cycling Testing Coffin-Manson Equation The acceleration factor resulting from the temperature cycle test is the ratio of the product life at normal operating conditions to. Temperature cycle testing is included in almost all cases where blr testing is performed. Projection to other temperature cycling ranges. Af = calculated acceleration factor (on a cycle. This paper investigates the statistical analysis of grouped accelerated temperature cycling. Temperature Cycling Testing Coffin-Manson Equation.
From www.researchgate.net
(a) MansonCoffin strainlife curve from regression analysis, with Temperature Cycling Testing Coffin-Manson Equation This paper investigates the statistical analysis of grouped accelerated temperature cycling test data when the product. Temperature cycle testing is included in almost all cases where blr testing is performed. Mechanical tests, on the other hand, are more. Af = calculated acceleration factor (on a cycle. The acceleration factor resulting from the temperature cycle test is the ratio of the. Temperature Cycling Testing Coffin-Manson Equation.