How Long Does It Take To Make A Painting . Many people wonder how long it takes an artist to paint a masterpiece. In this article, we will take a closer look at some of these factors. How long does it take to make a painting? “how long did that painting take to complete?” there is no short simple answer to this question. If the artist is connected and in flow then a creation might be born in a snap. An artist’s work of art is similar to the delivering of a. While i was working on this one, which is 3 x. Maybe the answer is that it takes what it takes. From leonardo da vinci’s mona lisa, which took 16 years, to paintings done in a matter of hours, there is no set amount of time. Depends on the medium, style, and size. Watercolor and gouache usually take hours, acrylics a bit longer, oils can take days or weeks. People often ask me how long it takes me to make a painting. It depends on many things.
from klaioycfw.blob.core.windows.net
In this article, we will take a closer look at some of these factors. If the artist is connected and in flow then a creation might be born in a snap. An artist’s work of art is similar to the delivering of a. Depends on the medium, style, and size. While i was working on this one, which is 3 x. How long does it take to make a painting? “how long did that painting take to complete?” there is no short simple answer to this question. Maybe the answer is that it takes what it takes. Watercolor and gouache usually take hours, acrylics a bit longer, oils can take days or weeks. It depends on many things.
Can I Put Hair Conditioner On My Eyelashes at Julie Spann blog
How Long Does It Take To Make A Painting Many people wonder how long it takes an artist to paint a masterpiece. From leonardo da vinci’s mona lisa, which took 16 years, to paintings done in a matter of hours, there is no set amount of time. Watercolor and gouache usually take hours, acrylics a bit longer, oils can take days or weeks. Maybe the answer is that it takes what it takes. “how long did that painting take to complete?” there is no short simple answer to this question. If the artist is connected and in flow then a creation might be born in a snap. In this article, we will take a closer look at some of these factors. An artist’s work of art is similar to the delivering of a. People often ask me how long it takes me to make a painting. It depends on many things. Depends on the medium, style, and size. While i was working on this one, which is 3 x. Many people wonder how long it takes an artist to paint a masterpiece. How long does it take to make a painting?
From fyosbyqui.blob.core.windows.net
How Long Does It Take To Get Used To Talking With Braces at Irene Smith How Long Does It Take To Make A Painting How long does it take to make a painting? In this article, we will take a closer look at some of these factors. From leonardo da vinci’s mona lisa, which took 16 years, to paintings done in a matter of hours, there is no set amount of time. Depends on the medium, style, and size. If the artist is connected. How Long Does It Take To Make A Painting.
From www.birdnature.com
Blue Tit Nesting Facts, Habits, and Images (Full Guide) Bird Nature How Long Does It Take To Make A Painting While i was working on this one, which is 3 x. Maybe the answer is that it takes what it takes. Watercolor and gouache usually take hours, acrylics a bit longer, oils can take days or weeks. Many people wonder how long it takes an artist to paint a masterpiece. People often ask me how long it takes me to. How Long Does It Take To Make A Painting.
From cedvxuxm.blob.core.windows.net
Why Do We Put Salt In Water While Boiling Eggs at Robert Cline blog How Long Does It Take To Make A Painting Maybe the answer is that it takes what it takes. An artist’s work of art is similar to the delivering of a. Watercolor and gouache usually take hours, acrylics a bit longer, oils can take days or weeks. If the artist is connected and in flow then a creation might be born in a snap. Many people wonder how long. How Long Does It Take To Make A Painting.
From sawyerhitylo85.blogspot.com
How Long Does It Take For Your Hair To Grow Back Sawyer Hitylo85 How Long Does It Take To Make A Painting Many people wonder how long it takes an artist to paint a masterpiece. In this article, we will take a closer look at some of these factors. If the artist is connected and in flow then a creation might be born in a snap. It depends on many things. Maybe the answer is that it takes what it takes. How. How Long Does It Take To Make A Painting.
From www.rusticaly.com
How To Ski Blue Runs? Everything You Need To Know How Long Does It Take To Make A Painting Many people wonder how long it takes an artist to paint a masterpiece. Depends on the medium, style, and size. People often ask me how long it takes me to make a painting. Watercolor and gouache usually take hours, acrylics a bit longer, oils can take days or weeks. “how long did that painting take to complete?” there is no. How Long Does It Take To Make A Painting.
From cesmapfv.blob.core.windows.net
How Long Do Hard Boiled Eggs Last In The Shell at Gladys Dahl blog How Long Does It Take To Make A Painting Depends on the medium, style, and size. Maybe the answer is that it takes what it takes. “how long did that painting take to complete?” there is no short simple answer to this question. People often ask me how long it takes me to make a painting. It depends on many things. While i was working on this one, which. How Long Does It Take To Make A Painting.
From ironcoating.blogspot.com
ironcoating How Long Does It Take To Make A Painting In this article, we will take a closer look at some of these factors. Watercolor and gouache usually take hours, acrylics a bit longer, oils can take days or weeks. Many people wonder how long it takes an artist to paint a masterpiece. Depends on the medium, style, and size. An artist’s work of art is similar to the delivering. How Long Does It Take To Make A Painting.
From graphixly.com
CSP Featured Artist Chuck Pavoni How Long Does It Take To Make A Painting Watercolor and gouache usually take hours, acrylics a bit longer, oils can take days or weeks. Maybe the answer is that it takes what it takes. While i was working on this one, which is 3 x. People often ask me how long it takes me to make a painting. Depends on the medium, style, and size. From leonardo da. How Long Does It Take To Make A Painting.
From www.coursehero.com
[Solved] . A spaceship is in orbit above the Earth's surface. The mass How Long Does It Take To Make A Painting From leonardo da vinci’s mona lisa, which took 16 years, to paintings done in a matter of hours, there is no set amount of time. An artist’s work of art is similar to the delivering of a. In this article, we will take a closer look at some of these factors. While i was working on this one, which is. How Long Does It Take To Make A Painting.
From fyohyaoef.blob.core.windows.net
How Long For Hair To Grow Back After Bad Haircut at Brian Tillery blog How Long Does It Take To Make A Painting While i was working on this one, which is 3 x. If the artist is connected and in flow then a creation might be born in a snap. Many people wonder how long it takes an artist to paint a masterpiece. How long does it take to make a painting? From leonardo da vinci’s mona lisa, which took 16 years,. How Long Does It Take To Make A Painting.
From uk.pinterest.com
Can You Use Oil Paint on Plastic? Painting plastic, Oil painting, Oils How Long Does It Take To Make A Painting Watercolor and gouache usually take hours, acrylics a bit longer, oils can take days or weeks. Depends on the medium, style, and size. In this article, we will take a closer look at some of these factors. It depends on many things. While i was working on this one, which is 3 x. People often ask me how long it. How Long Does It Take To Make A Painting.
From fyojgvbig.blob.core.windows.net
How Long Should Your Nails Be To Paint Them at Carmine Reynolds blog How Long Does It Take To Make A Painting If the artist is connected and in flow then a creation might be born in a snap. Maybe the answer is that it takes what it takes. How long does it take to make a painting? An artist’s work of art is similar to the delivering of a. While i was working on this one, which is 3 x. It. How Long Does It Take To Make A Painting.
From giohigoqj.blob.core.windows.net
How To Boil Potatoes Without Pressure Cooker at Stuart Thomas blog How Long Does It Take To Make A Painting How long does it take to make a painting? Maybe the answer is that it takes what it takes. Watercolor and gouache usually take hours, acrylics a bit longer, oils can take days or weeks. An artist’s work of art is similar to the delivering of a. In this article, we will take a closer look at some of these. How Long Does It Take To Make A Painting.
From exozzfrsb.blob.core.windows.net
How Long Does Plastic Bags Take To at Scott Hickson blog How Long Does It Take To Make A Painting People often ask me how long it takes me to make a painting. Maybe the answer is that it takes what it takes. “how long did that painting take to complete?” there is no short simple answer to this question. Many people wonder how long it takes an artist to paint a masterpiece. Depends on the medium, style, and size.. How Long Does It Take To Make A Painting.
From cekmsbva.blob.core.windows.net
How Long Do Perfume Tattoo Last at Freddie Serrano blog How Long Does It Take To Make A Painting It depends on many things. An artist’s work of art is similar to the delivering of a. How long does it take to make a painting? If the artist is connected and in flow then a creation might be born in a snap. While i was working on this one, which is 3 x. From leonardo da vinci’s mona lisa,. How Long Does It Take To Make A Painting.
From dxoixddly.blob.core.windows.net
How To Make Your Apartment Look Bigger at John Quade blog How Long Does It Take To Make A Painting Maybe the answer is that it takes what it takes. While i was working on this one, which is 3 x. Depends on the medium, style, and size. If the artist is connected and in flow then a creation might be born in a snap. In this article, we will take a closer look at some of these factors. How. How Long Does It Take To Make A Painting.
From klaioycfw.blob.core.windows.net
Can I Put Hair Conditioner On My Eyelashes at Julie Spann blog How Long Does It Take To Make A Painting Depends on the medium, style, and size. If the artist is connected and in flow then a creation might be born in a snap. From leonardo da vinci’s mona lisa, which took 16 years, to paintings done in a matter of hours, there is no set amount of time. Maybe the answer is that it takes what it takes. “how. How Long Does It Take To Make A Painting.
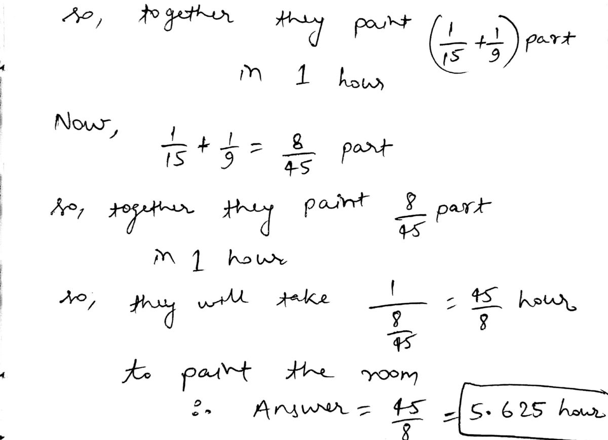
From www.bartleby.com
Answered Hannah can paint a room in 15 hours.… bartleby How Long Does It Take To Make A Painting Depends on the medium, style, and size. “how long did that painting take to complete?” there is no short simple answer to this question. In this article, we will take a closer look at some of these factors. It depends on many things. While i was working on this one, which is 3 x. An artist’s work of art is. How Long Does It Take To Make A Painting.
From klayjwchl.blob.core.windows.net
How Long Do Photo Paper Last at Shirley Simmons blog How Long Does It Take To Make A Painting People often ask me how long it takes me to make a painting. Maybe the answer is that it takes what it takes. How long does it take to make a painting? If the artist is connected and in flow then a creation might be born in a snap. “how long did that painting take to complete?” there is no. How Long Does It Take To Make A Painting.
From www.mayaspainting.com
How Long Does Paint Take to Dry? Tips to Get Lasting Results How Long Does It Take To Make A Painting Depends on the medium, style, and size. From leonardo da vinci’s mona lisa, which took 16 years, to paintings done in a matter of hours, there is no set amount of time. If the artist is connected and in flow then a creation might be born in a snap. It depends on many things. Many people wonder how long it. How Long Does It Take To Make A Painting.
From joikhqbag.blob.core.windows.net
How Long Does One Drink Last In Your System at Chelsea Andrews blog How Long Does It Take To Make A Painting In this article, we will take a closer look at some of these factors. An artist’s work of art is similar to the delivering of a. It depends on many things. Depends on the medium, style, and size. Many people wonder how long it takes an artist to paint a masterpiece. From leonardo da vinci’s mona lisa, which took 16. How Long Does It Take To Make A Painting.
From www.pinterest.es
Visit How Can You Grow Longer Hair Easily? . Here we How Long Does It Take To Make A Painting If the artist is connected and in flow then a creation might be born in a snap. Depends on the medium, style, and size. How long does it take to make a painting? Watercolor and gouache usually take hours, acrylics a bit longer, oils can take days or weeks. Many people wonder how long it takes an artist to paint. How Long Does It Take To Make A Painting.
From www.picxsexy.com
How To Convert Axis In Ggplot2 To Percentage Scale Statology Porn Sex How Long Does It Take To Make A Painting Maybe the answer is that it takes what it takes. It depends on many things. Depends on the medium, style, and size. In this article, we will take a closer look at some of these factors. Watercolor and gouache usually take hours, acrylics a bit longer, oils can take days or weeks. People often ask me how long it takes. How Long Does It Take To Make A Painting.
From cartoondealer.com
How Long Does A Plastic Bag In Nature. Stop Plastic Soiling How Long Does It Take To Make A Painting How long does it take to make a painting? In this article, we will take a closer look at some of these factors. It depends on many things. Many people wonder how long it takes an artist to paint a masterpiece. If the artist is connected and in flow then a creation might be born in a snap. While i. How Long Does It Take To Make A Painting.
From cezuibmg.blob.core.windows.net
How To Do Your Eyelashes Without Mascara at Gwyn Weisinger blog How Long Does It Take To Make A Painting If the artist is connected and in flow then a creation might be born in a snap. It depends on many things. How long does it take to make a painting? In this article, we will take a closer look at some of these factors. Maybe the answer is that it takes what it takes. “how long did that painting. How Long Does It Take To Make A Painting.
From gioeaztda.blob.core.windows.net
How To Grow Your Eyelashes Back Fast Naturally at Martha Lemmon blog How Long Does It Take To Make A Painting If the artist is connected and in flow then a creation might be born in a snap. People often ask me how long it takes me to make a painting. How long does it take to make a painting? Watercolor and gouache usually take hours, acrylics a bit longer, oils can take days or weeks. In this article, we will. How Long Does It Take To Make A Painting.
From menhaircut.github.io
How To Grow Fine Hair Long Reddit A Comprehensive Guide Best Simple How Long Does It Take To Make A Painting “how long did that painting take to complete?” there is no short simple answer to this question. An artist’s work of art is similar to the delivering of a. It depends on many things. Maybe the answer is that it takes what it takes. People often ask me how long it takes me to make a painting. Many people wonder. How Long Does It Take To Make A Painting.
From gioteaefz.blob.core.windows.net
Nail Growth Symptoms at Vincent Quinones blog How Long Does It Take To Make A Painting Watercolor and gouache usually take hours, acrylics a bit longer, oils can take days or weeks. An artist’s work of art is similar to the delivering of a. People often ask me how long it takes me to make a painting. Many people wonder how long it takes an artist to paint a masterpiece. It depends on many things. How. How Long Does It Take To Make A Painting.
From ar.inspiredpencil.com
Growing Dreads Process How Long Does It Take To Make A Painting People often ask me how long it takes me to make a painting. “how long did that painting take to complete?” there is no short simple answer to this question. While i was working on this one, which is 3 x. In this article, we will take a closer look at some of these factors. Watercolor and gouache usually take. How Long Does It Take To Make A Painting.
From usefulzone1.netlify.app
13+ How much does it cost to paint a truck ideas usefulzone1 How Long Does It Take To Make A Painting From leonardo da vinci’s mona lisa, which took 16 years, to paintings done in a matter of hours, there is no set amount of time. How long does it take to make a painting? People often ask me how long it takes me to make a painting. Many people wonder how long it takes an artist to paint a masterpiece.. How Long Does It Take To Make A Painting.
From eng.obozrevatel.com
Vitor Raposo How a Portuguese sand artist creates masterpieces about How Long Does It Take To Make A Painting In this article, we will take a closer look at some of these factors. If the artist is connected and in flow then a creation might be born in a snap. Depends on the medium, style, and size. “how long did that painting take to complete?” there is no short simple answer to this question. From leonardo da vinci’s mona. How Long Does It Take To Make A Painting.
From www.reddit.com
Projects in Reading the pattern r/casualknitting How Long Does It Take To Make A Painting Depends on the medium, style, and size. “how long did that painting take to complete?” there is no short simple answer to this question. If the artist is connected and in flow then a creation might be born in a snap. Many people wonder how long it takes an artist to paint a masterpiece. From leonardo da vinci’s mona lisa,. How Long Does It Take To Make A Painting.
From fyotdabyr.blob.core.windows.net
Can You Paint Over Formica Walls at Arthur Gainey blog How Long Does It Take To Make A Painting Many people wonder how long it takes an artist to paint a masterpiece. In this article, we will take a closer look at some of these factors. People often ask me how long it takes me to make a painting. How long does it take to make a painting? Watercolor and gouache usually take hours, acrylics a bit longer, oils. How Long Does It Take To Make A Painting.
From exoiwyhrn.blob.core.windows.net
How Long Can Weed Seeds Be Stored For at Quincy Wilhelm blog How Long Does It Take To Make A Painting It depends on many things. From leonardo da vinci’s mona lisa, which took 16 years, to paintings done in a matter of hours, there is no set amount of time. In this article, we will take a closer look at some of these factors. Many people wonder how long it takes an artist to paint a masterpiece. Watercolor and gouache. How Long Does It Take To Make A Painting.
From carcarely.com
How Long Does Paint Correction Take Car Carely How Long Does It Take To Make A Painting In this article, we will take a closer look at some of these factors. From leonardo da vinci’s mona lisa, which took 16 years, to paintings done in a matter of hours, there is no set amount of time. “how long did that painting take to complete?” there is no short simple answer to this question. Maybe the answer is. How Long Does It Take To Make A Painting.