What Is Sop In Microbiology . Regional advisor, blood safety & clinical. standard operating procedure for swab analysis. this document outlines a comprehensive practical approach to a. this laboratory manual is designed to guide the student through basic microbiology laboratory techniques, procedures and experiments. this standard operating procedure (sop) manual is intended to assist as a reference material for routine laboratory activities of. guidelines on standard operating procedures for microbiology. guidelines on standard operating procedures for microbiology.
from guideline-sop.com
standard operating procedure for swab analysis. Regional advisor, blood safety & clinical. this standard operating procedure (sop) manual is intended to assist as a reference material for routine laboratory activities of. guidelines on standard operating procedures for microbiology. guidelines on standard operating procedures for microbiology. this document outlines a comprehensive practical approach to a. this laboratory manual is designed to guide the student through basic microbiology laboratory techniques, procedures and experiments.
Subculturing (Cell Passaging) in Microbiology Lab Guidelines SOPs
What Is Sop In Microbiology guidelines on standard operating procedures for microbiology. standard operating procedure for swab analysis. guidelines on standard operating procedures for microbiology. this document outlines a comprehensive practical approach to a. this standard operating procedure (sop) manual is intended to assist as a reference material for routine laboratory activities of. guidelines on standard operating procedures for microbiology. this laboratory manual is designed to guide the student through basic microbiology laboratory techniques, procedures and experiments. Regional advisor, blood safety & clinical.
From www.labtestsguide.com
SOPs Lab Tests Guide What Is Sop In Microbiology this laboratory manual is designed to guide the student through basic microbiology laboratory techniques, procedures and experiments. this standard operating procedure (sop) manual is intended to assist as a reference material for routine laboratory activities of. guidelines on standard operating procedures for microbiology. Regional advisor, blood safety & clinical. guidelines on standard operating procedures for microbiology.. What Is Sop In Microbiology.
From microbiologyguideritesh.com
SOP Microbiology Guidelines What Is Sop In Microbiology Regional advisor, blood safety & clinical. guidelines on standard operating procedures for microbiology. this document outlines a comprehensive practical approach to a. this laboratory manual is designed to guide the student through basic microbiology laboratory techniques, procedures and experiments. this standard operating procedure (sop) manual is intended to assist as a reference material for routine laboratory. What Is Sop In Microbiology.
From studylib.net
Laboratory SOPs in Index Lab Manual What Is Sop In Microbiology this standard operating procedure (sop) manual is intended to assist as a reference material for routine laboratory activities of. this document outlines a comprehensive practical approach to a. standard operating procedure for swab analysis. guidelines on standard operating procedures for microbiology. this laboratory manual is designed to guide the student through basic microbiology laboratory techniques,. What Is Sop In Microbiology.
From microbiologyguideritesh.com
SOP Microbiology Guidelines What Is Sop In Microbiology standard operating procedure for swab analysis. guidelines on standard operating procedures for microbiology. this laboratory manual is designed to guide the student through basic microbiology laboratory techniques, procedures and experiments. this document outlines a comprehensive practical approach to a. Regional advisor, blood safety & clinical. this standard operating procedure (sop) manual is intended to assist. What Is Sop In Microbiology.
From www.scribd.com
MicrobiologyLab Practical SOP_10 Growth Medium Bacteria What Is Sop In Microbiology standard operating procedure for swab analysis. Regional advisor, blood safety & clinical. guidelines on standard operating procedures for microbiology. guidelines on standard operating procedures for microbiology. this standard operating procedure (sop) manual is intended to assist as a reference material for routine laboratory activities of. this laboratory manual is designed to guide the student through. What Is Sop In Microbiology.
From www.scribd.com
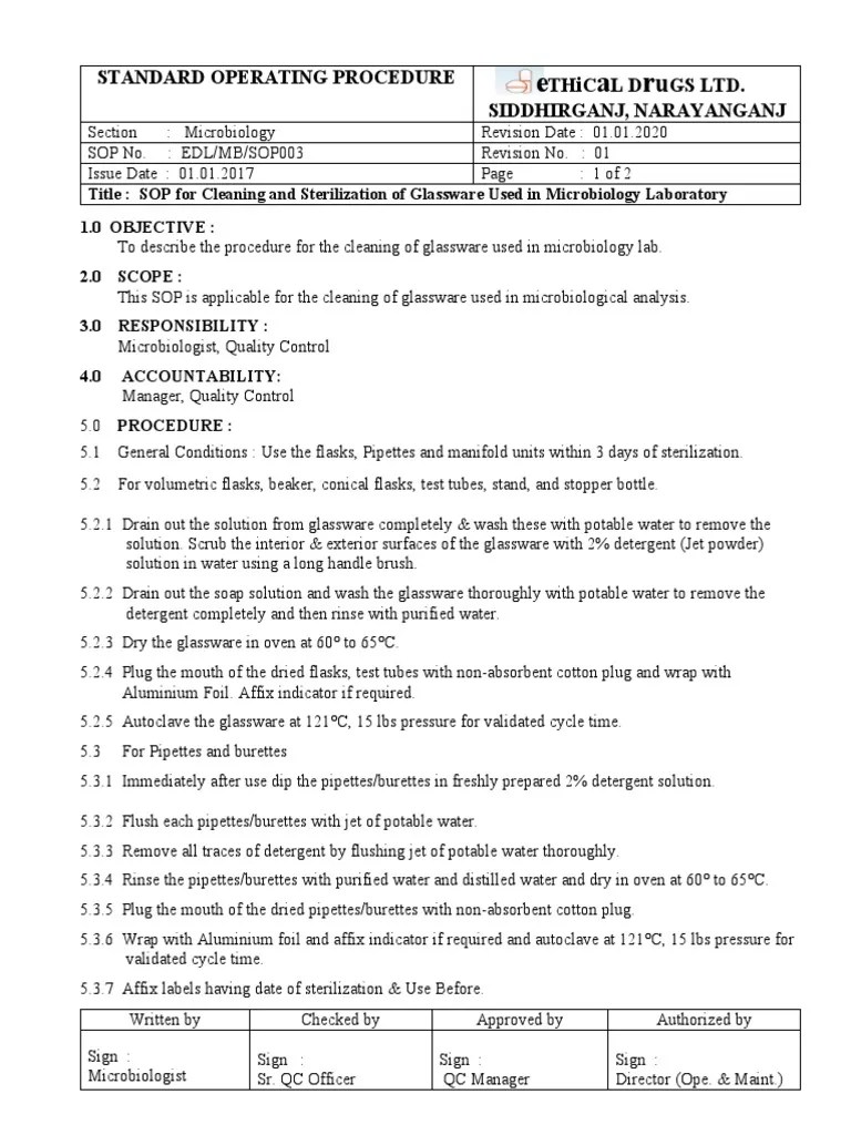
SOP For Cleaning and Sterilization of Glass Ware Used in Microbiology What Is Sop In Microbiology guidelines on standard operating procedures for microbiology. this document outlines a comprehensive practical approach to a. standard operating procedure for swab analysis. guidelines on standard operating procedures for microbiology. Regional advisor, blood safety & clinical. this standard operating procedure (sop) manual is intended to assist as a reference material for routine laboratory activities of. . What Is Sop In Microbiology.
From www.researchsop.com
STANDARD OPERATING PROCEDURE FOR CLEANING AND SANITATION OF What Is Sop In Microbiology this standard operating procedure (sop) manual is intended to assist as a reference material for routine laboratory activities of. guidelines on standard operating procedures for microbiology. Regional advisor, blood safety & clinical. standard operating procedure for swab analysis. this laboratory manual is designed to guide the student through basic microbiology laboratory techniques, procedures and experiments. . What Is Sop In Microbiology.
From dokumen.tips
(DOCX) Microbiology SOP Training DOKUMEN.TIPS What Is Sop In Microbiology this laboratory manual is designed to guide the student through basic microbiology laboratory techniques, procedures and experiments. this standard operating procedure (sop) manual is intended to assist as a reference material for routine laboratory activities of. Regional advisor, blood safety & clinical. guidelines on standard operating procedures for microbiology. this document outlines a comprehensive practical approach. What Is Sop In Microbiology.
From www.scribd.com
SOP For Cleaning and Sanitation of Microbiology Section With What Is Sop In Microbiology Regional advisor, blood safety & clinical. guidelines on standard operating procedures for microbiology. guidelines on standard operating procedures for microbiology. this laboratory manual is designed to guide the student through basic microbiology laboratory techniques, procedures and experiments. this standard operating procedure (sop) manual is intended to assist as a reference material for routine laboratory activities of.. What Is Sop In Microbiology.
From docslib.org
Microbiology Standard Operating Procedures (Sops) DocsLib What Is Sop In Microbiology Regional advisor, blood safety & clinical. guidelines on standard operating procedures for microbiology. guidelines on standard operating procedures for microbiology. this standard operating procedure (sop) manual is intended to assist as a reference material for routine laboratory activities of. this laboratory manual is designed to guide the student through basic microbiology laboratory techniques, procedures and experiments.. What Is Sop In Microbiology.
From carminemastropierro.com
SOP example Carmine Mastropierro What Is Sop In Microbiology guidelines on standard operating procedures for microbiology. Regional advisor, blood safety & clinical. this document outlines a comprehensive practical approach to a. this standard operating procedure (sop) manual is intended to assist as a reference material for routine laboratory activities of. standard operating procedure for swab analysis. guidelines on standard operating procedures for microbiology. . What Is Sop In Microbiology.
From www.scribd.com
SOP List PDF Verification And Validation Sterilization (Microbiology) What Is Sop In Microbiology this laboratory manual is designed to guide the student through basic microbiology laboratory techniques, procedures and experiments. guidelines on standard operating procedures for microbiology. guidelines on standard operating procedures for microbiology. Regional advisor, blood safety & clinical. standard operating procedure for swab analysis. this document outlines a comprehensive practical approach to a. this standard. What Is Sop In Microbiology.
From issuu.com
Microbiology Laboratory procedures by GMP SOP Issuu What Is Sop In Microbiology this standard operating procedure (sop) manual is intended to assist as a reference material for routine laboratory activities of. this laboratory manual is designed to guide the student through basic microbiology laboratory techniques, procedures and experiments. this document outlines a comprehensive practical approach to a. Regional advisor, blood safety & clinical. guidelines on standard operating procedures. What Is Sop In Microbiology.
From www.academia.edu
The Importance of a Strong SOP System in the QC Microbiology Lab What Is Sop In Microbiology Regional advisor, blood safety & clinical. guidelines on standard operating procedures for microbiology. this document outlines a comprehensive practical approach to a. this standard operating procedure (sop) manual is intended to assist as a reference material for routine laboratory activities of. guidelines on standard operating procedures for microbiology. standard operating procedure for swab analysis. . What Is Sop In Microbiology.
From www.labtestsguide.com
SOPs Overview Write SOPs for Clinical laboratory Lab Tests Guide What Is Sop In Microbiology standard operating procedure for swab analysis. guidelines on standard operating procedures for microbiology. Regional advisor, blood safety & clinical. this laboratory manual is designed to guide the student through basic microbiology laboratory techniques, procedures and experiments. this document outlines a comprehensive practical approach to a. guidelines on standard operating procedures for microbiology. this standard. What Is Sop In Microbiology.
From www.scribd.com
SOP of Media Preparation Growth Medium Agar What Is Sop In Microbiology Regional advisor, blood safety & clinical. guidelines on standard operating procedures for microbiology. standard operating procedure for swab analysis. this document outlines a comprehensive practical approach to a. this laboratory manual is designed to guide the student through basic microbiology laboratory techniques, procedures and experiments. guidelines on standard operating procedures for microbiology. this standard. What Is Sop In Microbiology.
From www.slideshare.net
Sop bacteria What Is Sop In Microbiology this laboratory manual is designed to guide the student through basic microbiology laboratory techniques, procedures and experiments. guidelines on standard operating procedures for microbiology. standard operating procedure for swab analysis. this standard operating procedure (sop) manual is intended to assist as a reference material for routine laboratory activities of. Regional advisor, blood safety & clinical. . What Is Sop In Microbiology.
From pharmabeginers.com
Aseptic Technique for Microbiological Testing Pharma Beginners What Is Sop In Microbiology Regional advisor, blood safety & clinical. this standard operating procedure (sop) manual is intended to assist as a reference material for routine laboratory activities of. this laboratory manual is designed to guide the student through basic microbiology laboratory techniques, procedures and experiments. standard operating procedure for swab analysis. guidelines on standard operating procedures for microbiology. . What Is Sop In Microbiology.
From www.gmpsop.com
Buy GMP Documents SOP and Manuals Buy Now What Is Sop In Microbiology standard operating procedure for swab analysis. guidelines on standard operating procedures for microbiology. Regional advisor, blood safety & clinical. this document outlines a comprehensive practical approach to a. this standard operating procedure (sop) manual is intended to assist as a reference material for routine laboratory activities of. guidelines on standard operating procedures for microbiology. . What Is Sop In Microbiology.
From es.scribd.com
Microbiology Sop's Calibration Environmental Monitoring What Is Sop In Microbiology guidelines on standard operating procedures for microbiology. this document outlines a comprehensive practical approach to a. this standard operating procedure (sop) manual is intended to assist as a reference material for routine laboratory activities of. guidelines on standard operating procedures for microbiology. standard operating procedure for swab analysis. Regional advisor, blood safety & clinical. . What Is Sop In Microbiology.
From www.researchgate.net
(PDF) Preparing SOP for Microbiology Laboratory A Short Guideline What Is Sop In Microbiology guidelines on standard operating procedures for microbiology. Regional advisor, blood safety & clinical. this laboratory manual is designed to guide the student through basic microbiology laboratory techniques, procedures and experiments. guidelines on standard operating procedures for microbiology. standard operating procedure for swab analysis. this document outlines a comprehensive practical approach to a. this standard. What Is Sop In Microbiology.
From masterroshsi.blogspot.com
Medical Laboratory Technology SOP CSF Sample (microbiology) What Is Sop In Microbiology this laboratory manual is designed to guide the student through basic microbiology laboratory techniques, procedures and experiments. guidelines on standard operating procedures for microbiology. guidelines on standard operating procedures for microbiology. standard operating procedure for swab analysis. this standard operating procedure (sop) manual is intended to assist as a reference material for routine laboratory activities. What Is Sop In Microbiology.
From www.slideshare.net
SOP_Microbiology_Urine_Screening.pdf What Is Sop In Microbiology guidelines on standard operating procedures for microbiology. standard operating procedure for swab analysis. this laboratory manual is designed to guide the student through basic microbiology laboratory techniques, procedures and experiments. guidelines on standard operating procedures for microbiology. this standard operating procedure (sop) manual is intended to assist as a reference material for routine laboratory activities. What Is Sop In Microbiology.
From www.studocu.com
SOP OF Weighing Balance SATHAYE COLLEGE MICROBIOLOGY DEPARTMENT What Is Sop In Microbiology this standard operating procedure (sop) manual is intended to assist as a reference material for routine laboratory activities of. guidelines on standard operating procedures for microbiology. guidelines on standard operating procedures for microbiology. Regional advisor, blood safety & clinical. standard operating procedure for swab analysis. this document outlines a comprehensive practical approach to a. . What Is Sop In Microbiology.
From pharmastate.academy
SOP For Cleaning Procedure of General Microbiological Testing Areas What Is Sop In Microbiology this laboratory manual is designed to guide the student through basic microbiology laboratory techniques, procedures and experiments. this document outlines a comprehensive practical approach to a. guidelines on standard operating procedures for microbiology. guidelines on standard operating procedures for microbiology. Regional advisor, blood safety & clinical. standard operating procedure for swab analysis. this standard. What Is Sop In Microbiology.
From www.scribd.com
SOP For Microbiological Good Laboratory Practices PDF What Is Sop In Microbiology this laboratory manual is designed to guide the student through basic microbiology laboratory techniques, procedures and experiments. standard operating procedure for swab analysis. this document outlines a comprehensive practical approach to a. guidelines on standard operating procedures for microbiology. Regional advisor, blood safety & clinical. guidelines on standard operating procedures for microbiology. this standard. What Is Sop In Microbiology.
From www.labtestsguide.com
Laboratory SOP's, Types and more Lab Tests Guide What Is Sop In Microbiology guidelines on standard operating procedures for microbiology. this standard operating procedure (sop) manual is intended to assist as a reference material for routine laboratory activities of. Regional advisor, blood safety & clinical. this document outlines a comprehensive practical approach to a. guidelines on standard operating procedures for microbiology. this laboratory manual is designed to guide. What Is Sop In Microbiology.
From www.researchgate.net
What are some favoured SOP examples for laboratory equipment What Is Sop In Microbiology standard operating procedure for swab analysis. guidelines on standard operating procedures for microbiology. this standard operating procedure (sop) manual is intended to assist as a reference material for routine laboratory activities of. guidelines on standard operating procedures for microbiology. this document outlines a comprehensive practical approach to a. Regional advisor, blood safety & clinical. . What Is Sop In Microbiology.
From microbiologyguideritesh.com
SOP for Sterility Test by Open Method Microbiology Guidelines What Is Sop In Microbiology Regional advisor, blood safety & clinical. this laboratory manual is designed to guide the student through basic microbiology laboratory techniques, procedures and experiments. guidelines on standard operating procedures for microbiology. standard operating procedure for swab analysis. this document outlines a comprehensive practical approach to a. guidelines on standard operating procedures for microbiology. this standard. What Is Sop In Microbiology.
From microbiologyguideritesh.com
SOP Microbiology Guidelines What Is Sop In Microbiology guidelines on standard operating procedures for microbiology. this laboratory manual is designed to guide the student through basic microbiology laboratory techniques, procedures and experiments. this document outlines a comprehensive practical approach to a. this standard operating procedure (sop) manual is intended to assist as a reference material for routine laboratory activities of. standard operating procedure. What Is Sop In Microbiology.
From pharmastate.academy
SOP on Entry and Exit Procedure for Microbiology Laboratory What Is Sop In Microbiology this document outlines a comprehensive practical approach to a. guidelines on standard operating procedures for microbiology. standard operating procedure for swab analysis. this laboratory manual is designed to guide the student through basic microbiology laboratory techniques, procedures and experiments. guidelines on standard operating procedures for microbiology. Regional advisor, blood safety & clinical. this standard. What Is Sop In Microbiology.
From studylib.net
standard operating procedure for microbiological examination for What Is Sop In Microbiology Regional advisor, blood safety & clinical. this standard operating procedure (sop) manual is intended to assist as a reference material for routine laboratory activities of. this laboratory manual is designed to guide the student through basic microbiology laboratory techniques, procedures and experiments. guidelines on standard operating procedures for microbiology. guidelines on standard operating procedures for microbiology.. What Is Sop In Microbiology.
From ami-journals.onlinelibrary.wiley.com
Agar plate‐based screening methods for the identification of polyester What Is Sop In Microbiology standard operating procedure for swab analysis. guidelines on standard operating procedures for microbiology. this laboratory manual is designed to guide the student through basic microbiology laboratory techniques, procedures and experiments. this document outlines a comprehensive practical approach to a. guidelines on standard operating procedures for microbiology. this standard operating procedure (sop) manual is intended. What Is Sop In Microbiology.
From guideline-sop.com
Subculturing (Cell Passaging) in Microbiology Lab Guidelines SOPs What Is Sop In Microbiology this laboratory manual is designed to guide the student through basic microbiology laboratory techniques, procedures and experiments. this document outlines a comprehensive practical approach to a. this standard operating procedure (sop) manual is intended to assist as a reference material for routine laboratory activities of. Regional advisor, blood safety & clinical. guidelines on standard operating procedures. What Is Sop In Microbiology.
From pharmaguidances.com
SOP On OOS In Microbiology What Is Sop In Microbiology guidelines on standard operating procedures for microbiology. this standard operating procedure (sop) manual is intended to assist as a reference material for routine laboratory activities of. standard operating procedure for swab analysis. this laboratory manual is designed to guide the student through basic microbiology laboratory techniques, procedures and experiments. guidelines on standard operating procedures for. What Is Sop In Microbiology.