Acceleration When Jumping . To reach a maximum jump height an athlete tries to vertically accelerate his body as fast as possible. In this set of graphs, students have approximated the acceleration during the contact time with uniform acceleration, making the integral of the positive. Students can calculate the height of a jump, for instance, from more than one starting point. However, once the jumper is in the air, only gravity (ignoring air resistance and other effects) acts to accelerate the body. Once the jumper leaves the ground it is not possible to further increase velocity and. During a jump a person’s legs might apply a force of 1200 n upward on their center of mass while the center of mass moves 0.3 m upward. The height of the jump can be calculated if the acceleration and either the initial velocity or the total time in the air is known. The acceleration at the top of a jump is, g(9.81m/s2) g ( 9.81 m / m s 2 s 2 ). When a person jumps, the energy at the top of jump is completely potential energy. In this page i will mainly discuss the physics of these jumping events. The details of the jump are. In the high jump the jumping distance is the vertical distance that the athlete clears, and in the long jump the jumping distance is the horizontal distance that the athlete clears. Does weight affect how high you can jump?
from www.numerade.com
In this page i will mainly discuss the physics of these jumping events. During a jump a person’s legs might apply a force of 1200 n upward on their center of mass while the center of mass moves 0.3 m upward. The acceleration at the top of a jump is, g(9.81m/s2) g ( 9.81 m / m s 2 s 2 ). Does weight affect how high you can jump? Students can calculate the height of a jump, for instance, from more than one starting point. However, once the jumper is in the air, only gravity (ignoring air resistance and other effects) acts to accelerate the body. To reach a maximum jump height an athlete tries to vertically accelerate his body as fast as possible. In this set of graphs, students have approximated the acceleration during the contact time with uniform acceleration, making the integral of the positive. When a person jumps, the energy at the top of jump is completely potential energy. The details of the jump are.
SOLVED 'The velocityversustime graph for the vertical jump of a
Acceleration When Jumping The acceleration at the top of a jump is, g(9.81m/s2) g ( 9.81 m / m s 2 s 2 ). When a person jumps, the energy at the top of jump is completely potential energy. In the high jump the jumping distance is the vertical distance that the athlete clears, and in the long jump the jumping distance is the horizontal distance that the athlete clears. In this page i will mainly discuss the physics of these jumping events. To reach a maximum jump height an athlete tries to vertically accelerate his body as fast as possible. Does weight affect how high you can jump? Once the jumper leaves the ground it is not possible to further increase velocity and. Students can calculate the height of a jump, for instance, from more than one starting point. The height of the jump can be calculated if the acceleration and either the initial velocity or the total time in the air is known. The acceleration at the top of a jump is, g(9.81m/s2) g ( 9.81 m / m s 2 s 2 ). During a jump a person’s legs might apply a force of 1200 n upward on their center of mass while the center of mass moves 0.3 m upward. In this set of graphs, students have approximated the acceleration during the contact time with uniform acceleration, making the integral of the positive. However, once the jumper is in the air, only gravity (ignoring air resistance and other effects) acts to accelerate the body. The details of the jump are.
From www.coursehero.com
[Solved] 1. A car accelerates from rest at a constant rate of 8 m/s. a Acceleration When Jumping Does weight affect how high you can jump? However, once the jumper is in the air, only gravity (ignoring air resistance and other effects) acts to accelerate the body. In this set of graphs, students have approximated the acceleration during the contact time with uniform acceleration, making the integral of the positive. The height of the jump can be calculated. Acceleration When Jumping.
From slideplayer.com
Clicker Question Review Objects in Motion ppt download Acceleration When Jumping Does weight affect how high you can jump? In the high jump the jumping distance is the vertical distance that the athlete clears, and in the long jump the jumping distance is the horizontal distance that the athlete clears. Students can calculate the height of a jump, for instance, from more than one starting point. In this set of graphs,. Acceleration When Jumping.
From www.pearson.com
Highspeed motion pictures (3500 frames/second) of a jumping, 210 Acceleration When Jumping To reach a maximum jump height an athlete tries to vertically accelerate his body as fast as possible. The acceleration at the top of a jump is, g(9.81m/s2) g ( 9.81 m / m s 2 s 2 ). Once the jumper leaves the ground it is not possible to further increase velocity and. The height of the jump can. Acceleration When Jumping.
From www.hawkindynamics.com
Countermovement Jump Metrics Acceleration When Jumping The details of the jump are. Once the jumper leaves the ground it is not possible to further increase velocity and. In this page i will mainly discuss the physics of these jumping events. However, once the jumper is in the air, only gravity (ignoring air resistance and other effects) acts to accelerate the body. In this set of graphs,. Acceleration When Jumping.
From www.dreamstime.com
Terminal Velocity Vector Illustration. Labeled Falling Speed Acceleration When Jumping In this page i will mainly discuss the physics of these jumping events. Students can calculate the height of a jump, for instance, from more than one starting point. During a jump a person’s legs might apply a force of 1200 n upward on their center of mass while the center of mass moves 0.3 m upward. To reach a. Acceleration When Jumping.
From athletesacceleration.com
Perfecting the Jump Cut Athletes Acceleration Sports Performance Training Acceleration When Jumping To reach a maximum jump height an athlete tries to vertically accelerate his body as fast as possible. In this set of graphs, students have approximated the acceleration during the contact time with uniform acceleration, making the integral of the positive. In the high jump the jumping distance is the vertical distance that the athlete clears, and in the long. Acceleration When Jumping.
From www.physicscurriculum.com
Physics Curriculum — Physics of Sports Acceleration When Jumping Once the jumper leaves the ground it is not possible to further increase velocity and. During a jump a person’s legs might apply a force of 1200 n upward on their center of mass while the center of mass moves 0.3 m upward. In this page i will mainly discuss the physics of these jumping events. When a person jumps,. Acceleration When Jumping.
From simpleeducation.biz
Option B Acceleration of a Bungy Jump Simple Education Acceleration When Jumping The details of the jump are. In this page i will mainly discuss the physics of these jumping events. Once the jumper leaves the ground it is not possible to further increase velocity and. In this set of graphs, students have approximated the acceleration during the contact time with uniform acceleration, making the integral of the positive. However, once the. Acceleration When Jumping.
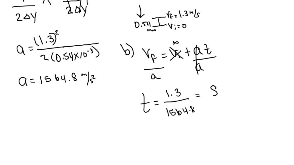
From www.numerade.com
SOLVED When jumping, a flea reaches a takeoff speed of 1.3 m/s over a Acceleration When Jumping Students can calculate the height of a jump, for instance, from more than one starting point. To reach a maximum jump height an athlete tries to vertically accelerate his body as fast as possible. The acceleration at the top of a jump is, g(9.81m/s2) g ( 9.81 m / m s 2 s 2 ). In the high jump the. Acceleration When Jumping.
From tyronefersdawson.blogspot.com
Acceleration Vs Time Graph Acceleration When Jumping In this page i will mainly discuss the physics of these jumping events. Does weight affect how high you can jump? In this set of graphs, students have approximated the acceleration during the contact time with uniform acceleration, making the integral of the positive. However, once the jumper is in the air, only gravity (ignoring air resistance and other effects). Acceleration When Jumping.
From www.researchgate.net
Representation of acceleration data during the jump. Download Acceleration When Jumping In this set of graphs, students have approximated the acceleration during the contact time with uniform acceleration, making the integral of the positive. When a person jumps, the energy at the top of jump is completely potential energy. In this page i will mainly discuss the physics of these jumping events. The height of the jump can be calculated if. Acceleration When Jumping.
From foreverfitscience.com
5 Best Gym Exercises to Improve Acceleration » ForeverFitScience Acceleration When Jumping In this page i will mainly discuss the physics of these jumping events. The acceleration at the top of a jump is, g(9.81m/s2) g ( 9.81 m / m s 2 s 2 ). However, once the jumper is in the air, only gravity (ignoring air resistance and other effects) acts to accelerate the body. When a person jumps, the. Acceleration When Jumping.
From physics.stackexchange.com
newtonian mechanics I've been told that I can calculate how high some Acceleration When Jumping Students can calculate the height of a jump, for instance, from more than one starting point. To reach a maximum jump height an athlete tries to vertically accelerate his body as fast as possible. However, once the jumper is in the air, only gravity (ignoring air resistance and other effects) acts to accelerate the body. In this set of graphs,. Acceleration When Jumping.
From www.researchgate.net
Force and velocitytime characteristics of a countermovement jump Acceleration When Jumping When a person jumps, the energy at the top of jump is completely potential energy. In this page i will mainly discuss the physics of these jumping events. However, once the jumper is in the air, only gravity (ignoring air resistance and other effects) acts to accelerate the body. In this set of graphs, students have approximated the acceleration during. Acceleration When Jumping.
From simplifaster.com
Acceleration Development and Resisted Sprint Training for the Long Jump Acceleration When Jumping During a jump a person’s legs might apply a force of 1200 n upward on their center of mass while the center of mass moves 0.3 m upward. In the high jump the jumping distance is the vertical distance that the athlete clears, and in the long jump the jumping distance is the horizontal distance that the athlete clears. When. Acceleration When Jumping.
From slideplayer.com
Motion. ppt download Acceleration When Jumping During a jump a person’s legs might apply a force of 1200 n upward on their center of mass while the center of mass moves 0.3 m upward. To reach a maximum jump height an athlete tries to vertically accelerate his body as fast as possible. In this page i will mainly discuss the physics of these jumping events. The. Acceleration When Jumping.
From athleticperformanceacademy.co.uk
Jump Profiling to Assess Acceleration Ability CMJ or Drop Jump Acceleration When Jumping Once the jumper leaves the ground it is not possible to further increase velocity and. Students can calculate the height of a jump, for instance, from more than one starting point. In the high jump the jumping distance is the vertical distance that the athlete clears, and in the long jump the jumping distance is the horizontal distance that the. Acceleration When Jumping.
From flatearth.ws
Motion of the Earth Page 3 FlatEarth.ws Acceleration When Jumping However, once the jumper is in the air, only gravity (ignoring air resistance and other effects) acts to accelerate the body. In this page i will mainly discuss the physics of these jumping events. In this set of graphs, students have approximated the acceleration during the contact time with uniform acceleration, making the integral of the positive. To reach a. Acceleration When Jumping.
From vectormine.com
Acceleration as physics force for car movement and velocity outline Acceleration When Jumping In this page i will mainly discuss the physics of these jumping events. Once the jumper leaves the ground it is not possible to further increase velocity and. The height of the jump can be calculated if the acceleration and either the initial velocity or the total time in the air is known. During a jump a person’s legs might. Acceleration When Jumping.
From www.pinterest.com
The Science of Track & Field Throwing an Accelerometer in the Lab Acceleration When Jumping During a jump a person’s legs might apply a force of 1200 n upward on their center of mass while the center of mass moves 0.3 m upward. However, once the jumper is in the air, only gravity (ignoring air resistance and other effects) acts to accelerate the body. Once the jumper leaves the ground it is not possible to. Acceleration When Jumping.
From stock.adobe.com
Ilustração do Stock graphics illustration of long jump technique Acceleration When Jumping In this set of graphs, students have approximated the acceleration during the contact time with uniform acceleration, making the integral of the positive. The acceleration at the top of a jump is, g(9.81m/s2) g ( 9.81 m / m s 2 s 2 ). In this page i will mainly discuss the physics of these jumping events. Does weight affect. Acceleration When Jumping.
From athletesacceleration.com
Jumping and Landing Progressions Athletes Acceleration Acceleration When Jumping To reach a maximum jump height an athlete tries to vertically accelerate his body as fast as possible. Does weight affect how high you can jump? Students can calculate the height of a jump, for instance, from more than one starting point. Once the jumper leaves the ground it is not possible to further increase velocity and. In this page. Acceleration When Jumping.
From www.wisegeek.com
What is Acceleration of Gravity? (with pictures) Acceleration When Jumping The details of the jump are. During a jump a person’s legs might apply a force of 1200 n upward on their center of mass while the center of mass moves 0.3 m upward. Once the jumper leaves the ground it is not possible to further increase velocity and. In the high jump the jumping distance is the vertical distance. Acceleration When Jumping.
From www.teachoo.com
Velocity Time Graph Meaning of Shapes Teachoo Concepts Acceleration When Jumping The acceleration at the top of a jump is, g(9.81m/s2) g ( 9.81 m / m s 2 s 2 ). The height of the jump can be calculated if the acceleration and either the initial velocity or the total time in the air is known. In this set of graphs, students have approximated the acceleration during the contact time. Acceleration When Jumping.
From www.thestudentroom.co.uk
Acceleration Time graph of a parachutist who pulls his chute after Acceleration When Jumping However, once the jumper is in the air, only gravity (ignoring air resistance and other effects) acts to accelerate the body. The height of the jump can be calculated if the acceleration and either the initial velocity or the total time in the air is known. To reach a maximum jump height an athlete tries to vertically accelerate his body. Acceleration When Jumping.
From www.chegg.com
Solved Before leaving the ground, a jumping flea can use its Acceleration When Jumping However, once the jumper is in the air, only gravity (ignoring air resistance and other effects) acts to accelerate the body. Does weight affect how high you can jump? Once the jumper leaves the ground it is not possible to further increase velocity and. In this page i will mainly discuss the physics of these jumping events. The height of. Acceleration When Jumping.
From www.frontiersin.org
Frontiers The Association Between ForceVelocity Relationship in Acceleration When Jumping The height of the jump can be calculated if the acceleration and either the initial velocity or the total time in the air is known. In this set of graphs, students have approximated the acceleration during the contact time with uniform acceleration, making the integral of the positive. In the high jump the jumping distance is the vertical distance that. Acceleration When Jumping.
From www.numerade.com
SOLVED 'The velocityversustime graph for the vertical jump of a Acceleration When Jumping In this page i will mainly discuss the physics of these jumping events. In the high jump the jumping distance is the vertical distance that the athlete clears, and in the long jump the jumping distance is the horizontal distance that the athlete clears. However, once the jumper is in the air, only gravity (ignoring air resistance and other effects). Acceleration When Jumping.
From foreverfitscience.com
Top 5 Drills to Improve Your Acceleration » ForeverFitScience Acceleration When Jumping Does weight affect how high you can jump? In this page i will mainly discuss the physics of these jumping events. In this set of graphs, students have approximated the acceleration during the contact time with uniform acceleration, making the integral of the positive. However, once the jumper is in the air, only gravity (ignoring air resistance and other effects). Acceleration When Jumping.
From phys.libretexts.org
9.7 Physics LibreTexts Acceleration When Jumping The acceleration at the top of a jump is, g(9.81m/s2) g ( 9.81 m / m s 2 s 2 ). To reach a maximum jump height an athlete tries to vertically accelerate his body as fast as possible. When a person jumps, the energy at the top of jump is completely potential energy. The height of the jump can. Acceleration When Jumping.
From wheelsadviser.com
A Car Starts From Rest And Accelerates? Acceleration When Jumping The height of the jump can be calculated if the acceleration and either the initial velocity or the total time in the air is known. Students can calculate the height of a jump, for instance, from more than one starting point. Once the jumper leaves the ground it is not possible to further increase velocity and. When a person jumps,. Acceleration When Jumping.
From www.numerade.com
SOLVED Highspeed photos of a 220 μg flea jumping vertically show Acceleration When Jumping The details of the jump are. In the high jump the jumping distance is the vertical distance that the athlete clears, and in the long jump the jumping distance is the horizontal distance that the athlete clears. The height of the jump can be calculated if the acceleration and either the initial velocity or the total time in the air. Acceleration When Jumping.
From www.nagwa.com
Question Video Finding the Distance Covered by a Particle Using a Acceleration When Jumping The height of the jump can be calculated if the acceleration and either the initial velocity or the total time in the air is known. The acceleration at the top of a jump is, g(9.81m/s2) g ( 9.81 m / m s 2 s 2 ). Students can calculate the height of a jump, for instance, from more than one. Acceleration When Jumping.
From www.pinterest.com
This is a picture of acceleration being displayed in a motion diagram Acceleration When Jumping Does weight affect how high you can jump? The details of the jump are. In this page i will mainly discuss the physics of these jumping events. To reach a maximum jump height an athlete tries to vertically accelerate his body as fast as possible. Once the jumper leaves the ground it is not possible to further increase velocity and.. Acceleration When Jumping.
From slideplayer.com
Learn To be able to distinguish between the different types of AP Acceleration When Jumping In this page i will mainly discuss the physics of these jumping events. The acceleration at the top of a jump is, g(9.81m/s2) g ( 9.81 m / m s 2 s 2 ). In this set of graphs, students have approximated the acceleration during the contact time with uniform acceleration, making the integral of the positive. In the high. Acceleration When Jumping.