What Is Chattel Mortgage Agreement . In a chattel mortgage, the property serves as collateral to back the loan. With a goods loan (chattel. What is a chattel mortgage? A chattel mortgage is a formal term that refers to a finance agreement that provides funds to purchase an asset and the finance provider accepts that financed asset as the security. A goods loan (chattel mortgage) is a popular type of finance when buying a vehicle or equipment for business use. A chattel mortgage is a loan arrangement where the borrower offers personal property (chattel) as collateral to secure the. Chattel is a term for movable personal property, such as a mobile home, car, or houseboat. A chattel mortgage is commonly used to purchase manufactured and mobile homes, since residents may either own or lease the land on which they’ll place the property secured by. A chattel mortgage is a specific type of loan agreement used to finance the purchase of.
from www.academia.edu
In a chattel mortgage, the property serves as collateral to back the loan. A chattel mortgage is a specific type of loan agreement used to finance the purchase of. With a goods loan (chattel. A chattel mortgage is a loan arrangement where the borrower offers personal property (chattel) as collateral to secure the. A chattel mortgage is commonly used to purchase manufactured and mobile homes, since residents may either own or lease the land on which they’ll place the property secured by. What is a chattel mortgage? Chattel is a term for movable personal property, such as a mobile home, car, or houseboat. A goods loan (chattel mortgage) is a popular type of finance when buying a vehicle or equipment for business use. A chattel mortgage is a formal term that refers to a finance agreement that provides funds to purchase an asset and the finance provider accepts that financed asset as the security.
(DOC) CHATTEL MORTGAGE With AFFIDAVIT OF GOOD FAITH Know all men by
What Is Chattel Mortgage Agreement A chattel mortgage is a formal term that refers to a finance agreement that provides funds to purchase an asset and the finance provider accepts that financed asset as the security. A chattel mortgage is a formal term that refers to a finance agreement that provides funds to purchase an asset and the finance provider accepts that financed asset as the security. A chattel mortgage is commonly used to purchase manufactured and mobile homes, since residents may either own or lease the land on which they’ll place the property secured by. A goods loan (chattel mortgage) is a popular type of finance when buying a vehicle or equipment for business use. What is a chattel mortgage? A chattel mortgage is a specific type of loan agreement used to finance the purchase of. With a goods loan (chattel. In a chattel mortgage, the property serves as collateral to back the loan. A chattel mortgage is a loan arrangement where the borrower offers personal property (chattel) as collateral to secure the. Chattel is a term for movable personal property, such as a mobile home, car, or houseboat.
From www.legaltree.ph
Mortgaging your property? Use a "Chattel Mortgage" agreement What Is Chattel Mortgage Agreement A chattel mortgage is a formal term that refers to a finance agreement that provides funds to purchase an asset and the finance provider accepts that financed asset as the security. A chattel mortgage is a specific type of loan agreement used to finance the purchase of. A chattel mortgage is a loan arrangement where the borrower offers personal property. What Is Chattel Mortgage Agreement.
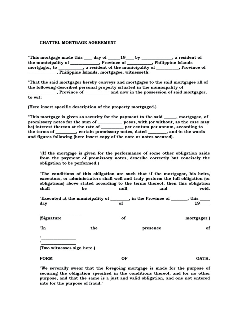
From www.scribd.com
Chattel Mortgage Mortgage Law Philippines What Is Chattel Mortgage Agreement Chattel is a term for movable personal property, such as a mobile home, car, or houseboat. A chattel mortgage is a loan arrangement where the borrower offers personal property (chattel) as collateral to secure the. A goods loan (chattel mortgage) is a popular type of finance when buying a vehicle or equipment for business use. A chattel mortgage is commonly. What Is Chattel Mortgage Agreement.
From www.dochub.com
Chattel mortgage Fill out & sign online DocHub What Is Chattel Mortgage Agreement With a goods loan (chattel. Chattel is a term for movable personal property, such as a mobile home, car, or houseboat. A chattel mortgage is a specific type of loan agreement used to finance the purchase of. What is a chattel mortgage? In a chattel mortgage, the property serves as collateral to back the loan. A chattel mortgage is a. What Is Chattel Mortgage Agreement.
From www.scribd.com
Loan Agreement w Chattel Mortgage.docx Loans Mortgage Loan What Is Chattel Mortgage Agreement In a chattel mortgage, the property serves as collateral to back the loan. A chattel mortgage is a specific type of loan agreement used to finance the purchase of. A goods loan (chattel mortgage) is a popular type of finance when buying a vehicle or equipment for business use. A chattel mortgage is a formal term that refers to a. What Is Chattel Mortgage Agreement.
From www.scribd.com
Chattel Mortgage Agreement PDF What Is Chattel Mortgage Agreement What is a chattel mortgage? A chattel mortgage is a loan arrangement where the borrower offers personal property (chattel) as collateral to secure the. A chattel mortgage is a specific type of loan agreement used to finance the purchase of. With a goods loan (chattel. In a chattel mortgage, the property serves as collateral to back the loan. A chattel. What Is Chattel Mortgage Agreement.
From pdfsimpli.com
Mortgage Deed What Is Chattel Mortgage Agreement Chattel is a term for movable personal property, such as a mobile home, car, or houseboat. What is a chattel mortgage? In a chattel mortgage, the property serves as collateral to back the loan. A chattel mortgage is commonly used to purchase manufactured and mobile homes, since residents may either own or lease the land on which they’ll place the. What Is Chattel Mortgage Agreement.
From www.formsbank.com
Security Agreement Chattel Mortgage printable pdf download What Is Chattel Mortgage Agreement A chattel mortgage is a loan arrangement where the borrower offers personal property (chattel) as collateral to secure the. A chattel mortgage is commonly used to purchase manufactured and mobile homes, since residents may either own or lease the land on which they’ll place the property secured by. A goods loan (chattel mortgage) is a popular type of finance when. What Is Chattel Mortgage Agreement.
From www.scribd.com
Chattel Mortgage Sample Form Mortgage Law Natural Resources Law What Is Chattel Mortgage Agreement A chattel mortgage is commonly used to purchase manufactured and mobile homes, since residents may either own or lease the land on which they’ll place the property secured by. In a chattel mortgage, the property serves as collateral to back the loan. A chattel mortgage is a formal term that refers to a finance agreement that provides funds to purchase. What Is Chattel Mortgage Agreement.
From www.scribd.com
Chattel Mortgage Form PDF Mortgage Law Real Property Law What Is Chattel Mortgage Agreement A goods loan (chattel mortgage) is a popular type of finance when buying a vehicle or equipment for business use. A chattel mortgage is a specific type of loan agreement used to finance the purchase of. A chattel mortgage is a loan arrangement where the borrower offers personal property (chattel) as collateral to secure the. In a chattel mortgage, the. What Is Chattel Mortgage Agreement.
From texashistory.unt.edu
[Copy of a Chattel Mortgage Agreement Between W. H. Bonnell and Charles What Is Chattel Mortgage Agreement With a goods loan (chattel. A chattel mortgage is a specific type of loan agreement used to finance the purchase of. What is a chattel mortgage? A goods loan (chattel mortgage) is a popular type of finance when buying a vehicle or equipment for business use. In a chattel mortgage, the property serves as collateral to back the loan. A. What Is Chattel Mortgage Agreement.
From www.scribd.com
Chattel Mortgage Security Agreement PDF Security Interest What Is Chattel Mortgage Agreement In a chattel mortgage, the property serves as collateral to back the loan. A chattel mortgage is a formal term that refers to a finance agreement that provides funds to purchase an asset and the finance provider accepts that financed asset as the security. A goods loan (chattel mortgage) is a popular type of finance when buying a vehicle or. What Is Chattel Mortgage Agreement.
From www.scribd.com
Chattel Mortgage Mortgage Law Philippines What Is Chattel Mortgage Agreement A chattel mortgage is commonly used to purchase manufactured and mobile homes, since residents may either own or lease the land on which they’ll place the property secured by. In a chattel mortgage, the property serves as collateral to back the loan. A goods loan (chattel mortgage) is a popular type of finance when buying a vehicle or equipment for. What Is Chattel Mortgage Agreement.
From www.uslegalforms.com
Oklahoma Chattel Mortgage Chattel Agreement US Legal Forms What Is Chattel Mortgage Agreement Chattel is a term for movable personal property, such as a mobile home, car, or houseboat. A chattel mortgage is a loan arrangement where the borrower offers personal property (chattel) as collateral to secure the. A goods loan (chattel mortgage) is a popular type of finance when buying a vehicle or equipment for business use. A chattel mortgage is commonly. What Is Chattel Mortgage Agreement.
From www.studocu.com
28347455 Notes on Chattel Mortgage Law Cost Accounting and Control What Is Chattel Mortgage Agreement A chattel mortgage is commonly used to purchase manufactured and mobile homes, since residents may either own or lease the land on which they’ll place the property secured by. With a goods loan (chattel. In a chattel mortgage, the property serves as collateral to back the loan. A chattel mortgage is a loan arrangement where the borrower offers personal property. What Is Chattel Mortgage Agreement.
From www.sampletemplates.com
11+ Mortgage Agreement Templates Sample Templates What Is Chattel Mortgage Agreement What is a chattel mortgage? A chattel mortgage is a loan arrangement where the borrower offers personal property (chattel) as collateral to secure the. A goods loan (chattel mortgage) is a popular type of finance when buying a vehicle or equipment for business use. In a chattel mortgage, the property serves as collateral to back the loan. A chattel mortgage. What Is Chattel Mortgage Agreement.
From www.proplegal.in
Mortgage Deed Registration Proplegal What Is Chattel Mortgage Agreement With a goods loan (chattel. In a chattel mortgage, the property serves as collateral to back the loan. Chattel is a term for movable personal property, such as a mobile home, car, or houseboat. A chattel mortgage is a loan arrangement where the borrower offers personal property (chattel) as collateral to secure the. What is a chattel mortgage? A chattel. What Is Chattel Mortgage Agreement.
From www.academia.edu
(DOC) CHATTEL MORTGAGE With AFFIDAVIT OF GOOD FAITH Know all men by What Is Chattel Mortgage Agreement A chattel mortgage is a formal term that refers to a finance agreement that provides funds to purchase an asset and the finance provider accepts that financed asset as the security. A chattel mortgage is a specific type of loan agreement used to finance the purchase of. With a goods loan (chattel. A chattel mortgage is commonly used to purchase. What Is Chattel Mortgage Agreement.
From www.pdffiller.com
Security Agreement Rbc Fill Online, Printable, Fillable, Blank What Is Chattel Mortgage Agreement A chattel mortgage is a loan arrangement where the borrower offers personal property (chattel) as collateral to secure the. What is a chattel mortgage? A goods loan (chattel mortgage) is a popular type of finance when buying a vehicle or equipment for business use. A chattel mortgage is a formal term that refers to a finance agreement that provides funds. What Is Chattel Mortgage Agreement.
From marketbusinessnews.com
10 Reasons Why Chattel Mortgage Is A Good Option What Is Chattel Mortgage Agreement A chattel mortgage is a specific type of loan agreement used to finance the purchase of. In a chattel mortgage, the property serves as collateral to back the loan. A chattel mortgage is a loan arrangement where the borrower offers personal property (chattel) as collateral to secure the. A goods loan (chattel mortgage) is a popular type of finance when. What Is Chattel Mortgage Agreement.
From nevadalegalforms.com
CHATTEL MORTGAGE Nevada Legal Forms & Services What Is Chattel Mortgage Agreement A chattel mortgage is a formal term that refers to a finance agreement that provides funds to purchase an asset and the finance provider accepts that financed asset as the security. A chattel mortgage is commonly used to purchase manufactured and mobile homes, since residents may either own or lease the land on which they’ll place the property secured by.. What Is Chattel Mortgage Agreement.
From www.academia.edu
(DOC) Notes on Pledge Mortgage Chattel Mortgage and Antichresis What Is Chattel Mortgage Agreement In a chattel mortgage, the property serves as collateral to back the loan. A chattel mortgage is a specific type of loan agreement used to finance the purchase of. A chattel mortgage is a loan arrangement where the borrower offers personal property (chattel) as collateral to secure the. A chattel mortgage is commonly used to purchase manufactured and mobile homes,. What Is Chattel Mortgage Agreement.
From saylordotorg.github.io
Uses, History, and Creation of Mortgages What Is Chattel Mortgage Agreement In a chattel mortgage, the property serves as collateral to back the loan. A chattel mortgage is commonly used to purchase manufactured and mobile homes, since residents may either own or lease the land on which they’ll place the property secured by. With a goods loan (chattel. Chattel is a term for movable personal property, such as a mobile home,. What Is Chattel Mortgage Agreement.
From loan-faqs.com
A "chattel Mortgage" Is A Loan Which Is Secured By What Is Chattel Mortgage Agreement In a chattel mortgage, the property serves as collateral to back the loan. A chattel mortgage is a formal term that refers to a finance agreement that provides funds to purchase an asset and the finance provider accepts that financed asset as the security. What is a chattel mortgage? Chattel is a term for movable personal property, such as a. What Is Chattel Mortgage Agreement.
From www.scribd.com
Chattel Mortgage Mortgage Law Property Law What Is Chattel Mortgage Agreement What is a chattel mortgage? A goods loan (chattel mortgage) is a popular type of finance when buying a vehicle or equipment for business use. A chattel mortgage is a loan arrangement where the borrower offers personal property (chattel) as collateral to secure the. A chattel mortgage is a specific type of loan agreement used to finance the purchase of.. What Is Chattel Mortgage Agreement.
From www.scribd.com
Chattel Mortgage sample What Is Chattel Mortgage Agreement A chattel mortgage is a loan arrangement where the borrower offers personal property (chattel) as collateral to secure the. A chattel mortgage is commonly used to purchase manufactured and mobile homes, since residents may either own or lease the land on which they’ll place the property secured by. In a chattel mortgage, the property serves as collateral to back the. What Is Chattel Mortgage Agreement.
From studylib.net
SECURITY AGREEMENT (Chattel Mortgage) What Is Chattel Mortgage Agreement A goods loan (chattel mortgage) is a popular type of finance when buying a vehicle or equipment for business use. With a goods loan (chattel. What is a chattel mortgage? A chattel mortgage is a specific type of loan agreement used to finance the purchase of. A chattel mortgage is a formal term that refers to a finance agreement that. What Is Chattel Mortgage Agreement.
From www.scribd.com
Example of Chattel Mortgage Mortgage Law Philippines What Is Chattel Mortgage Agreement A chattel mortgage is a formal term that refers to a finance agreement that provides funds to purchase an asset and the finance provider accepts that financed asset as the security. What is a chattel mortgage? A chattel mortgage is a specific type of loan agreement used to finance the purchase of. A chattel mortgage is commonly used to purchase. What Is Chattel Mortgage Agreement.
From nevadalegalforms.com
CHATTEL MORTGAGE Nevada Legal Forms & Services What Is Chattel Mortgage Agreement In a chattel mortgage, the property serves as collateral to back the loan. A chattel mortgage is commonly used to purchase manufactured and mobile homes, since residents may either own or lease the land on which they’ll place the property secured by. A chattel mortgage is a loan arrangement where the borrower offers personal property (chattel) as collateral to secure. What Is Chattel Mortgage Agreement.
From www.scribd.com
Car Loan Agreement With Chattel Mortgage PDF Mortgage Law What Is Chattel Mortgage Agreement A chattel mortgage is a formal term that refers to a finance agreement that provides funds to purchase an asset and the finance provider accepts that financed asset as the security. Chattel is a term for movable personal property, such as a mobile home, car, or houseboat. What is a chattel mortgage? With a goods loan (chattel. In a chattel. What Is Chattel Mortgage Agreement.
From www.scribd.com
Chattel Mortgage Mortgage Law Loans What Is Chattel Mortgage Agreement In a chattel mortgage, the property serves as collateral to back the loan. Chattel is a term for movable personal property, such as a mobile home, car, or houseboat. With a goods loan (chattel. A chattel mortgage is a specific type of loan agreement used to finance the purchase of. What is a chattel mortgage? A chattel mortgage is a. What Is Chattel Mortgage Agreement.
From www.pinterest.com
(PDF) Chattel Mortgage With Affidavit of Good Faith (Autosaved What Is Chattel Mortgage Agreement Chattel is a term for movable personal property, such as a mobile home, car, or houseboat. A chattel mortgage is commonly used to purchase manufactured and mobile homes, since residents may either own or lease the land on which they’ll place the property secured by. With a goods loan (chattel. A goods loan (chattel mortgage) is a popular type of. What Is Chattel Mortgage Agreement.
From www.scribd.com
CHATTEL MORTGAGE SAMPLE Mortgage Law Civil Law (Legal System) What Is Chattel Mortgage Agreement With a goods loan (chattel. A chattel mortgage is commonly used to purchase manufactured and mobile homes, since residents may either own or lease the land on which they’ll place the property secured by. A chattel mortgage is a loan arrangement where the borrower offers personal property (chattel) as collateral to secure the. A chattel mortgage is a specific type. What Is Chattel Mortgage Agreement.
From www.rocketlawyer.com
Free Mortgage Agreement Template & FAQs Rocket Lawyer What Is Chattel Mortgage Agreement A goods loan (chattel mortgage) is a popular type of finance when buying a vehicle or equipment for business use. A chattel mortgage is a formal term that refers to a finance agreement that provides funds to purchase an asset and the finance provider accepts that financed asset as the security. A chattel mortgage is commonly used to purchase manufactured. What Is Chattel Mortgage Agreement.
From texashistory.unt.edu
[Chattel Mortgage Agreement Between W. H. Bonnell and Charles Schreiner What Is Chattel Mortgage Agreement A chattel mortgage is commonly used to purchase manufactured and mobile homes, since residents may either own or lease the land on which they’ll place the property secured by. A chattel mortgage is a loan arrangement where the borrower offers personal property (chattel) as collateral to secure the. In a chattel mortgage, the property serves as collateral to back the. What Is Chattel Mortgage Agreement.
From texashistory.unt.edu
[Chattel Mortgage Agreement Between W. H. Bonnell and Charles Schreiner What Is Chattel Mortgage Agreement Chattel is a term for movable personal property, such as a mobile home, car, or houseboat. A chattel mortgage is a loan arrangement where the borrower offers personal property (chattel) as collateral to secure the. With a goods loan (chattel. In a chattel mortgage, the property serves as collateral to back the loan. A goods loan (chattel mortgage) is a. What Is Chattel Mortgage Agreement.