How To Make A Basketball On Desmos . Intro to desmos art youtube playlist; The red function is given. In this activity, students predict whether various basketball shots will go through the hoop, and then model these shots with parabolas to check. 1 draw a graph of the motion of a basketball. Desmos 3d allows you to extend your intuition from 2d to 3d. 2 use the sliders to find an equation for the path the basketball will travel. Interested in learning more techniques to create art? Starting with a 2d equation, you can check the ‘extend to 3d’ box to watch your curve animate into a 3d. The desmos geometry tool is a powerful and interactive workspace that allows you to visualize and explore plane geometry through construction, measurement, transformations,. Graph functions, plot points, visualize algebraic equations, add sliders, animate graphs, and more. Graph functions, plot points, visualize algebraic equations, add sliders, animate graphs, and more. As a challenge extension, compare. Use quadratics in vertex form or standard form to write an equation describing the motion of a basketball.
        
         
         
        from puzzlesandfigures.blogspot.com 
     
        
        Use quadratics in vertex form or standard form to write an equation describing the motion of a basketball. The red function is given. Starting with a 2d equation, you can check the ‘extend to 3d’ box to watch your curve animate into a 3d. The desmos geometry tool is a powerful and interactive workspace that allows you to visualize and explore plane geometry through construction, measurement, transformations,. Graph functions, plot points, visualize algebraic equations, add sliders, animate graphs, and more. In this activity, students predict whether various basketball shots will go through the hoop, and then model these shots with parabolas to check. Interested in learning more techniques to create art? 1 draw a graph of the motion of a basketball. Intro to desmos art youtube playlist; Graph functions, plot points, visualize algebraic equations, add sliders, animate graphs, and more.
    
    	
            
	
		 
	 
         
    Puzzles and Figures Math Pics 5 Desmos Art Project 
    How To Make A Basketball On Desmos  Use quadratics in vertex form or standard form to write an equation describing the motion of a basketball. Graph functions, plot points, visualize algebraic equations, add sliders, animate graphs, and more. As a challenge extension, compare. Desmos 3d allows you to extend your intuition from 2d to 3d. Starting with a 2d equation, you can check the ‘extend to 3d’ box to watch your curve animate into a 3d. The red function is given. Interested in learning more techniques to create art? 1 draw a graph of the motion of a basketball. The desmos geometry tool is a powerful and interactive workspace that allows you to visualize and explore plane geometry through construction, measurement, transformations,. 2 use the sliders to find an equation for the path the basketball will travel. Use quadratics in vertex form or standard form to write an equation describing the motion of a basketball. Graph functions, plot points, visualize algebraic equations, add sliders, animate graphs, and more. Intro to desmos art youtube playlist; In this activity, students predict whether various basketball shots will go through the hoop, and then model these shots with parabolas to check.
            
	
		 
	 
         
 
    
         
        From sambrunacini.com 
                    Collection of Desmos Graphs Part 4 How To Make A Basketball On Desmos  Starting with a 2d equation, you can check the ‘extend to 3d’ box to watch your curve animate into a 3d. 1 draw a graph of the motion of a basketball. The red function is given. 2 use the sliders to find an equation for the path the basketball will travel. Intro to desmos art youtube playlist; The desmos geometry. How To Make A Basketball On Desmos.
     
    
         
        From www.youtube.com 
                    Tutorial How to Create Basketball YouTube How To Make A Basketball On Desmos  Interested in learning more techniques to create art? The desmos geometry tool is a powerful and interactive workspace that allows you to visualize and explore plane geometry through construction, measurement, transformations,. In this activity, students predict whether various basketball shots will go through the hoop, and then model these shots with parabolas to check. Starting with a 2d equation, you. How To Make A Basketball On Desmos.
     
    
         
        From tupuy.com 
                    How To Make A Vertical Line Segment In Desmos Printable Online How To Make A Basketball On Desmos  1 draw a graph of the motion of a basketball. Intro to desmos art youtube playlist; The desmos geometry tool is a powerful and interactive workspace that allows you to visualize and explore plane geometry through construction, measurement, transformations,. Graph functions, plot points, visualize algebraic equations, add sliders, animate graphs, and more. Interested in learning more techniques to create art?. How To Make A Basketball On Desmos.
     
    
         
        From www.youtube.com 
                    DIY Basketball Hoop Easy to Make for Beginners YouTube How To Make A Basketball On Desmos  The red function is given. Intro to desmos art youtube playlist; In this activity, students predict whether various basketball shots will go through the hoop, and then model these shots with parabolas to check. 1 draw a graph of the motion of a basketball. As a challenge extension, compare. Graph functions, plot points, visualize algebraic equations, add sliders, animate graphs,. How To Make A Basketball On Desmos.
     
    
         
        From wallpapers.com 
                    Download Basketball Iphone Court By The Sea Wallpaper How To Make A Basketball On Desmos  In this activity, students predict whether various basketball shots will go through the hoop, and then model these shots with parabolas to check. The red function is given. Use quadratics in vertex form or standard form to write an equation describing the motion of a basketball. 2 use the sliders to find an equation for the path the basketball will. How To Make A Basketball On Desmos.
     
    
         
        From www.youtube.com 
                    How to REALLY make basketball shots YouTube How To Make A Basketball On Desmos  As a challenge extension, compare. 1 draw a graph of the motion of a basketball. Starting with a 2d equation, you can check the ‘extend to 3d’ box to watch your curve animate into a 3d. Desmos 3d allows you to extend your intuition from 2d to 3d. 2 use the sliders to find an equation for the path the. How To Make A Basketball On Desmos.
     
    
         
        From twitter.com 
                    Robo🧁🍩 on Twitter "Hey NBA I have an idea for how to make basketball more interesting. 🤔🔥" How To Make A Basketball On Desmos  The red function is given. As a challenge extension, compare. In this activity, students predict whether various basketball shots will go through the hoop, and then model these shots with parabolas to check. Use quadratics in vertex form or standard form to write an equation describing the motion of a basketball. Graph functions, plot points, visualize algebraic equations, add sliders,. How To Make A Basketball On Desmos.
     
    
         
        From www.youtube.com 
                    Grade 9 Lab Guide Finding slope in Desmos YouTube How To Make A Basketball On Desmos  Starting with a 2d equation, you can check the ‘extend to 3d’ box to watch your curve animate into a 3d. 2 use the sliders to find an equation for the path the basketball will travel. Intro to desmos art youtube playlist; Graph functions, plot points, visualize algebraic equations, add sliders, animate graphs, and more. The desmos geometry tool is. How To Make A Basketball On Desmos.
     
    
         
        From www.vrogue.co 
                    Creating A Boxplot Using Desmos Youtube vrogue.co How To Make A Basketball On Desmos  In this activity, students predict whether various basketball shots will go through the hoop, and then model these shots with parabolas to check. Intro to desmos art youtube playlist; As a challenge extension, compare. Desmos 3d allows you to extend your intuition from 2d to 3d. The desmos geometry tool is a powerful and interactive workspace that allows you to. How To Make A Basketball On Desmos.
     
    
         
        From hxetnaxzq.blob.core.windows.net 
                    How To Win Basketball Arcade Game at James Nielsen blog How To Make A Basketball On Desmos  In this activity, students predict whether various basketball shots will go through the hoop, and then model these shots with parabolas to check. Graph functions, plot points, visualize algebraic equations, add sliders, animate graphs, and more. Intro to desmos art youtube playlist; The red function is given. The desmos geometry tool is a powerful and interactive workspace that allows you. How To Make A Basketball On Desmos.
     
    
         
        From www.studocu.com 
                    Linear Regression (Desmos) MTH 1W LESSON 4 Linear Regression (DESMOS) Example The basketball How To Make A Basketball On Desmos  The desmos geometry tool is a powerful and interactive workspace that allows you to visualize and explore plane geometry through construction, measurement, transformations,. Interested in learning more techniques to create art? 2 use the sliders to find an equation for the path the basketball will travel. Desmos 3d allows you to extend your intuition from 2d to 3d. Intro to. How To Make A Basketball On Desmos.
     
    
         
        From tupuy.com 
                    How To Make A Horizontal Line On Desmos Graphing Calculator Printable Online How To Make A Basketball On Desmos  In this activity, students predict whether various basketball shots will go through the hoop, and then model these shots with parabolas to check. Intro to desmos art youtube playlist; As a challenge extension, compare. 1 draw a graph of the motion of a basketball. Graph functions, plot points, visualize algebraic equations, add sliders, animate graphs, and more. The red function. How To Make A Basketball On Desmos.
     
    
         
        From streamgolf.weebly.com 
                    Basic asymmetrical desmos graph art streamgolf How To Make A Basketball On Desmos  Graph functions, plot points, visualize algebraic equations, add sliders, animate graphs, and more. Desmos 3d allows you to extend your intuition from 2d to 3d. Interested in learning more techniques to create art? Use quadratics in vertex form or standard form to write an equation describing the motion of a basketball. 1 draw a graph of the motion of a. How To Make A Basketball On Desmos.
     
    
         
        From twitter.com 
                    on Twitter "Wanna trace the path of basketball? (1)Add image (2)Create a function of How To Make A Basketball On Desmos  Interested in learning more techniques to create art? 2 use the sliders to find an equation for the path the basketball will travel. The red function is given. The desmos geometry tool is a powerful and interactive workspace that allows you to visualize and explore plane geometry through construction, measurement, transformations,. Desmos 3d allows you to extend your intuition from. How To Make A Basketball On Desmos.
     
    
         
        From gcbcbasketball.com 
                    How To Make Basketball Shoes Squeak? GCBCBasketball Blog How To Make A Basketball On Desmos  Interested in learning more techniques to create art? Starting with a 2d equation, you can check the ‘extend to 3d’ box to watch your curve animate into a 3d. The desmos geometry tool is a powerful and interactive workspace that allows you to visualize and explore plane geometry through construction, measurement, transformations,. In this activity, students predict whether various basketball. How To Make A Basketball On Desmos.
     
    
         
        From www.hoopsaddict.com 
                    How to Make a Basketball Backboard By Yourself Hoops Addict How To Make A Basketball On Desmos  Starting with a 2d equation, you can check the ‘extend to 3d’ box to watch your curve animate into a 3d. Interested in learning more techniques to create art? Desmos 3d allows you to extend your intuition from 2d to 3d. The red function is given. As a challenge extension, compare. Graph functions, plot points, visualize algebraic equations, add sliders,. How To Make A Basketball On Desmos.
     
    
         
        From www.youtube.com 
                    Sport Coloring Pages for Kids, How to Draw a Basketball Player, Basketball Coloring Pages for How To Make A Basketball On Desmos  Graph functions, plot points, visualize algebraic equations, add sliders, animate graphs, and more. Interested in learning more techniques to create art? The desmos geometry tool is a powerful and interactive workspace that allows you to visualize and explore plane geometry through construction, measurement, transformations,. Use quadratics in vertex form or standard form to write an equation describing the motion of. How To Make A Basketball On Desmos.
     
    
         
        From www.youtube.com 
                    How to make basketball Hoop in 10 minutes YouTube How To Make A Basketball On Desmos  Starting with a 2d equation, you can check the ‘extend to 3d’ box to watch your curve animate into a 3d. Graph functions, plot points, visualize algebraic equations, add sliders, animate graphs, and more. 1 draw a graph of the motion of a basketball. The red function is given. Use quadratics in vertex form or standard form to write an. How To Make A Basketball On Desmos.
     
    
         
        From triplethreattactics.com 
                    How To Make Basketball Triple Threat Tactics Everything Basketball How To Make A Basketball On Desmos  Graph functions, plot points, visualize algebraic equations, add sliders, animate graphs, and more. Intro to desmos art youtube playlist; Graph functions, plot points, visualize algebraic equations, add sliders, animate graphs, and more. Use quadratics in vertex form or standard form to write an equation describing the motion of a basketball. 1 draw a graph of the motion of a basketball.. How To Make A Basketball On Desmos.
     
    
         
        From www.youtube.com 
                    Basketball Court Using Desmos YouTube How To Make A Basketball On Desmos  1 draw a graph of the motion of a basketball. In this activity, students predict whether various basketball shots will go through the hoop, and then model these shots with parabolas to check. Use quadratics in vertex form or standard form to write an equation describing the motion of a basketball. Desmos 3d allows you to extend your intuition from. How To Make A Basketball On Desmos.
     
    
         
        From mavink.com 
                    Desmos Art Project Examples How To Make A Basketball On Desmos  The red function is given. In this activity, students predict whether various basketball shots will go through the hoop, and then model these shots with parabolas to check. The desmos geometry tool is a powerful and interactive workspace that allows you to visualize and explore plane geometry through construction, measurement, transformations,. As a challenge extension, compare. Graph functions, plot points,. How To Make A Basketball On Desmos.
     
    
         
        From www.hoopsaddict.com 
                    How to Make a Basketball Backboard By Yourself Hoops Addict How To Make A Basketball On Desmos  Graph functions, plot points, visualize algebraic equations, add sliders, animate graphs, and more. Starting with a 2d equation, you can check the ‘extend to 3d’ box to watch your curve animate into a 3d. Use quadratics in vertex form or standard form to write an equation describing the motion of a basketball. As a challenge extension, compare. The desmos geometry. How To Make A Basketball On Desmos.
     
    
         
        From kwoodard.wonecks.net 
                    My Desmos Progect Basketball Court Kayleigh's EPortfolio How To Make A Basketball On Desmos  The red function is given. 2 use the sliders to find an equation for the path the basketball will travel. Starting with a 2d equation, you can check the ‘extend to 3d’ box to watch your curve animate into a 3d. As a challenge extension, compare. In this activity, students predict whether various basketball shots will go through the hoop,. How To Make A Basketball On Desmos.
     
    
         
        From www.desmos.com 
                    basketball Desmos How To Make A Basketball On Desmos  Desmos 3d allows you to extend your intuition from 2d to 3d. Starting with a 2d equation, you can check the ‘extend to 3d’ box to watch your curve animate into a 3d. Use quadratics in vertex form or standard form to write an equation describing the motion of a basketball. Graph functions, plot points, visualize algebraic equations, add sliders,. How To Make A Basketball On Desmos.
     
    
         
        From www.youtube.com 
                    How to create a logo on Desmo’s Designs? YouTube How To Make A Basketball On Desmos  Intro to desmos art youtube playlist; Graph functions, plot points, visualize algebraic equations, add sliders, animate graphs, and more. Desmos 3d allows you to extend your intuition from 2d to 3d. As a challenge extension, compare. The red function is given. In this activity, students predict whether various basketball shots will go through the hoop, and then model these shots. How To Make A Basketball On Desmos.
     
    
         
        From www.youtube.com 
                    Desmos Basketball animation YouTube How To Make A Basketball On Desmos  The desmos geometry tool is a powerful and interactive workspace that allows you to visualize and explore plane geometry through construction, measurement, transformations,. 2 use the sliders to find an equation for the path the basketball will travel. 1 draw a graph of the motion of a basketball. The red function is given. Desmos 3d allows you to extend your. How To Make A Basketball On Desmos.
     
    
         
        From ar.inspiredpencil.com 
                    How To Draw Basketball Court How To Make A Basketball On Desmos  Desmos 3d allows you to extend your intuition from 2d to 3d. Graph functions, plot points, visualize algebraic equations, add sliders, animate graphs, and more. The red function is given. In this activity, students predict whether various basketball shots will go through the hoop, and then model these shots with parabolas to check. Intro to desmos art youtube playlist; 1. How To Make A Basketball On Desmos.
     
    
         
        From www.geogebra.org 
                    Basketball and Parabolas GeoGebra How To Make A Basketball On Desmos  Interested in learning more techniques to create art? Graph functions, plot points, visualize algebraic equations, add sliders, animate graphs, and more. Use quadratics in vertex form or standard form to write an equation describing the motion of a basketball. The red function is given. In this activity, students predict whether various basketball shots will go through the hoop, and then. How To Make A Basketball On Desmos.
     
    
         
        From hxefwdgju.blob.core.windows.net 
                    Desmos Calculator Heart at Steven Henson blog How To Make A Basketball On Desmos  In this activity, students predict whether various basketball shots will go through the hoop, and then model these shots with parabolas to check. As a challenge extension, compare. Desmos 3d allows you to extend your intuition from 2d to 3d. The red function is given. Interested in learning more techniques to create art? Intro to desmos art youtube playlist; The. How To Make A Basketball On Desmos.
     
    
         
        From www.numerade.com 
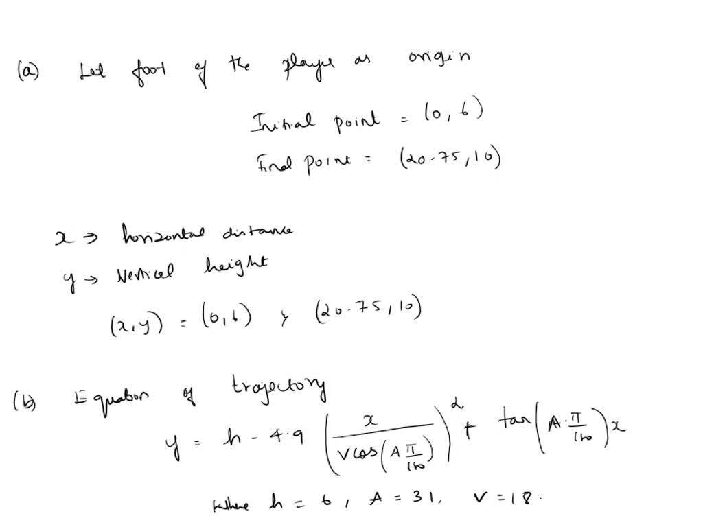
                    SOLVED The basketball hoop is 10 ft above the ground. A professional player is attempting to How To Make A Basketball On Desmos  Use quadratics in vertex form or standard form to write an equation describing the motion of a basketball. As a challenge extension, compare. The red function is given. 2 use the sliders to find an equation for the path the basketball will travel. Starting with a 2d equation, you can check the ‘extend to 3d’ box to watch your curve. How To Make A Basketball On Desmos.
     
    
         
        From puzzlesandfigures.blogspot.com 
                    Puzzles and Figures Math Pics 5 Desmos Art Project How To Make A Basketball On Desmos  The desmos geometry tool is a powerful and interactive workspace that allows you to visualize and explore plane geometry through construction, measurement, transformations,. In this activity, students predict whether various basketball shots will go through the hoop, and then model these shots with parabolas to check. Graph functions, plot points, visualize algebraic equations, add sliders, animate graphs, and more. The. How To Make A Basketball On Desmos.
     
    
         
        From hxembftyr.blob.core.windows.net 
                    How To Make A Rectangle In Desmos at Grant Madrid blog How To Make A Basketball On Desmos  As a challenge extension, compare. 1 draw a graph of the motion of a basketball. The desmos geometry tool is a powerful and interactive workspace that allows you to visualize and explore plane geometry through construction, measurement, transformations,. Graph functions, plot points, visualize algebraic equations, add sliders, animate graphs, and more. Interested in learning more techniques to create art? 2. How To Make A Basketball On Desmos.
     
    
         
        From www.youtube.com 
                    Creating Maths Art in Desmos (lines and curves) YouTube How To Make A Basketball On Desmos  Graph functions, plot points, visualize algebraic equations, add sliders, animate graphs, and more. Interested in learning more techniques to create art? Starting with a 2d equation, you can check the ‘extend to 3d’ box to watch your curve animate into a 3d. Use quadratics in vertex form or standard form to write an equation describing the motion of a basketball.. How To Make A Basketball On Desmos.
     
    
         
        From mathefortitude.blogspot.com 
                    Math Fortitude Will It Hit The Hoop Desmos, Updated How To Make A Basketball On Desmos  The desmos geometry tool is a powerful and interactive workspace that allows you to visualize and explore plane geometry through construction, measurement, transformations,. Starting with a 2d equation, you can check the ‘extend to 3d’ box to watch your curve animate into a 3d. Interested in learning more techniques to create art? Graph functions, plot points, visualize algebraic equations, add. How To Make A Basketball On Desmos.
     
    
         
        From www.reddit.com 
                    i graphed a 3D basketball today r/desmos How To Make A Basketball On Desmos  As a challenge extension, compare. Intro to desmos art youtube playlist; Desmos 3d allows you to extend your intuition from 2d to 3d. Graph functions, plot points, visualize algebraic equations, add sliders, animate graphs, and more. The desmos geometry tool is a powerful and interactive workspace that allows you to visualize and explore plane geometry through construction, measurement, transformations,. 1. How To Make A Basketball On Desmos.