What Are The Potential Differences In V A Va Vb B Vb Vc C Vc Vd And D Va Vc . Potential difference, also known as voltage, is the difference in electric potential energy between two points. Graph above the circuit shows the electric potential v(x) versus position x along the upper branch of the circuit, through resistors 1, 2, and. In the figure ε = 10.7 v, r1 = 2530 ω, r2 = 2540 ω, and r3 = 3160 ω. (a) numberunits (b) numberunits (c) numberunits. The figure consists of single ideal. Your solution’s ready to go! Show transcribed image text there are 3 steps.
from www.numerade.com
Your solution’s ready to go! The figure consists of single ideal. In the figure ε = 10.7 v, r1 = 2530 ω, r2 = 2540 ω, and r3 = 3160 ω. (a) numberunits (b) numberunits (c) numberunits. Graph above the circuit shows the electric potential v(x) versus position x along the upper branch of the circuit, through resistors 1, 2, and. Potential difference, also known as voltage, is the difference in electric potential energy between two points. Show transcribed image text there are 3 steps.
SOLVEDQuestion 5 1 pts Determine the potential difference VaVb shown in the circuit below
What Are The Potential Differences In V A Va Vb B Vb Vc C Vc Vd And D Va Vc In the figure ε = 10.7 v, r1 = 2530 ω, r2 = 2540 ω, and r3 = 3160 ω. Potential difference, also known as voltage, is the difference in electric potential energy between two points. In the figure ε = 10.7 v, r1 = 2530 ω, r2 = 2540 ω, and r3 = 3160 ω. Graph above the circuit shows the electric potential v(x) versus position x along the upper branch of the circuit, through resistors 1, 2, and. The figure consists of single ideal. (a) numberunits (b) numberunits (c) numberunits. Show transcribed image text there are 3 steps. Your solution’s ready to go!
From www.youtube.com
Calculate the potential difference between points a and b in the figure YouTube What Are The Potential Differences In V A Va Vb B Vb Vc C Vc Vd And D Va Vc Graph above the circuit shows the electric potential v(x) versus position x along the upper branch of the circuit, through resistors 1, 2, and. The figure consists of single ideal. (a) numberunits (b) numberunits (c) numberunits. Show transcribed image text there are 3 steps. Your solution’s ready to go! In the figure ε = 10.7 v, r1 = 2530 ω,. What Are The Potential Differences In V A Va Vb B Vb Vc C Vc Vd And D Va Vc.
From byjus.com
Find VA / VB in the given circuit in diagram. What Are The Potential Differences In V A Va Vb B Vb Vc C Vc Vd And D Va Vc In the figure ε = 10.7 v, r1 = 2530 ω, r2 = 2540 ω, and r3 = 3160 ω. The figure consists of single ideal. Graph above the circuit shows the electric potential v(x) versus position x along the upper branch of the circuit, through resistors 1, 2, and. Show transcribed image text there are 3 steps. Your solution’s. What Are The Potential Differences In V A Va Vb B Vb Vc C Vc Vd And D Va Vc.
From www.youtube.com
The potential difference (VA VB) between the points A and B in the given figure is YouTube What Are The Potential Differences In V A Va Vb B Vb Vc C Vc Vd And D Va Vc In the figure ε = 10.7 v, r1 = 2530 ω, r2 = 2540 ω, and r3 = 3160 ω. Show transcribed image text there are 3 steps. Your solution’s ready to go! Graph above the circuit shows the electric potential v(x) versus position x along the upper branch of the circuit, through resistors 1, 2, and. The figure consists. What Are The Potential Differences In V A Va Vb B Vb Vc C Vc Vd And D Va Vc.
From www.numerade.com
SOLVEDIn the figure € 13.6V,R1 14900,R2 28100, and R3 3590 0. What are the potential What Are The Potential Differences In V A Va Vb B Vb Vc C Vc Vd And D Va Vc Potential difference, also known as voltage, is the difference in electric potential energy between two points. Graph above the circuit shows the electric potential v(x) versus position x along the upper branch of the circuit, through resistors 1, 2, and. Show transcribed image text there are 3 steps. Your solution’s ready to go! In the figure ε = 10.7 v,. What Are The Potential Differences In V A Va Vb B Vb Vc C Vc Vd And D Va Vc.
From www.numerade.com
In Fig. 2735, 8=24.0 V, R1=2000 Ω, R2=3000 Ω, and R3=4000 Ω. What are the potential differences What Are The Potential Differences In V A Va Vb B Vb Vc C Vc Vd And D Va Vc Graph above the circuit shows the electric potential v(x) versus position x along the upper branch of the circuit, through resistors 1, 2, and. (a) numberunits (b) numberunits (c) numberunits. Potential difference, also known as voltage, is the difference in electric potential energy between two points. In the figure ε = 10.7 v, r1 = 2530 ω, r2 = 2540. What Are The Potential Differences In V A Va Vb B Vb Vc C Vc Vd And D Va Vc.
From solvedlib.com
Determine the potential difference, VAVB, in the cir… SolvedLib What Are The Potential Differences In V A Va Vb B Vb Vc C Vc Vd And D Va Vc Show transcribed image text there are 3 steps. Potential difference, also known as voltage, is the difference in electric potential energy between two points. In the figure ε = 10.7 v, r1 = 2530 ω, r2 = 2540 ω, and r3 = 3160 ω. Your solution’s ready to go! The figure consists of single ideal. Graph above the circuit shows. What Are The Potential Differences In V A Va Vb B Vb Vc C Vc Vd And D Va Vc.
From www.toppr.com
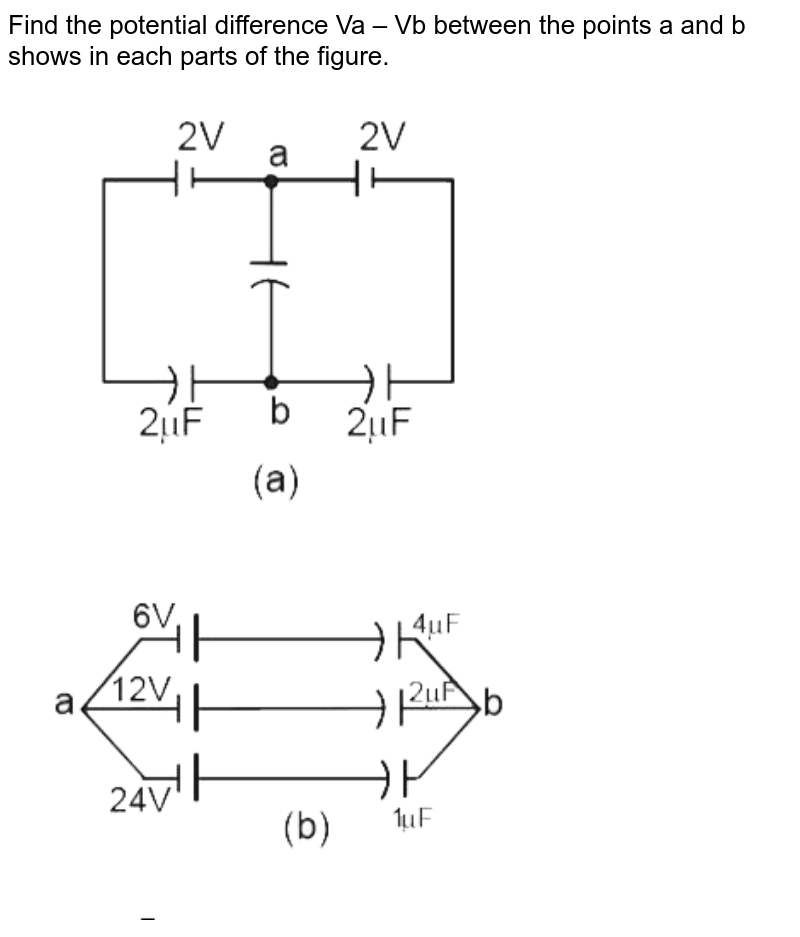
Find the potential difference Va Vb between the points a and b shown in each part of the figure. What Are The Potential Differences In V A Va Vb B Vb Vc C Vc Vd And D Va Vc Graph above the circuit shows the electric potential v(x) versus position x along the upper branch of the circuit, through resistors 1, 2, and. Show transcribed image text there are 3 steps. (a) numberunits (b) numberunits (c) numberunits. The figure consists of single ideal. Your solution’s ready to go! In the figure ε = 10.7 v, r1 = 2530 ω,. What Are The Potential Differences In V A Va Vb B Vb Vc C Vc Vd And D Va Vc.
From www.numerade.com
SOLVEDIn Fig. 2746, \mathscr{E}=12.0 \mathrm{V}, R_{1}=2000 \Omega, R_{2}=3000 \Omega, and R What Are The Potential Differences In V A Va Vb B Vb Vc C Vc Vd And D Va Vc Graph above the circuit shows the electric potential v(x) versus position x along the upper branch of the circuit, through resistors 1, 2, and. (a) numberunits (b) numberunits (c) numberunits. Show transcribed image text there are 3 steps. In the figure ε = 10.7 v, r1 = 2530 ω, r2 = 2540 ω, and r3 = 3160 ω. Potential difference,. What Are The Potential Differences In V A Va Vb B Vb Vc C Vc Vd And D Va Vc.
From www.toppr.com
A uniform electric field in the plane of the paper is shown in the figure. Here A, B, C, D are What Are The Potential Differences In V A Va Vb B Vb Vc C Vc Vd And D Va Vc Your solution’s ready to go! Show transcribed image text there are 3 steps. In the figure ε = 10.7 v, r1 = 2530 ω, r2 = 2540 ω, and r3 = 3160 ω. (a) numberunits (b) numberunits (c) numberunits. The figure consists of single ideal. Graph above the circuit shows the electric potential v(x) versus position x along the upper. What Are The Potential Differences In V A Va Vb B Vb Vc C Vc Vd And D Va Vc.
From www.chegg.com
Solved Consider the following figure. VBVA VcVB A B C D What Are The Potential Differences In V A Va Vb B Vb Vc C Vc Vd And D Va Vc Graph above the circuit shows the electric potential v(x) versus position x along the upper branch of the circuit, through resistors 1, 2, and. Your solution’s ready to go! (a) numberunits (b) numberunits (c) numberunits. Show transcribed image text there are 3 steps. Potential difference, also known as voltage, is the difference in electric potential energy between two points. The. What Are The Potential Differences In V A Va Vb B Vb Vc C Vc Vd And D Va Vc.
From askfilo.com
For given circuit potential difference between point A and B(VA −VB ) at What Are The Potential Differences In V A Va Vb B Vb Vc C Vc Vd And D Va Vc Graph above the circuit shows the electric potential v(x) versus position x along the upper branch of the circuit, through resistors 1, 2, and. The figure consists of single ideal. Show transcribed image text there are 3 steps. (a) numberunits (b) numberunits (c) numberunits. Your solution’s ready to go! Potential difference, also known as voltage, is the difference in electric. What Are The Potential Differences In V A Va Vb B Vb Vc C Vc Vd And D Va Vc.
From www.coursehero.com
[Solved] . For the circuit shown below, calculate a. VA b. VB c. Vc d. VD... Course Hero What Are The Potential Differences In V A Va Vb B Vb Vc C Vc Vd And D Va Vc In the figure ε = 10.7 v, r1 = 2530 ω, r2 = 2540 ω, and r3 = 3160 ω. Graph above the circuit shows the electric potential v(x) versus position x along the upper branch of the circuit, through resistors 1, 2, and. Your solution’s ready to go! Potential difference, also known as voltage, is the difference in electric. What Are The Potential Differences In V A Va Vb B Vb Vc C Vc Vd And D Va Vc.
From www.youtube.com
Consider the circuit shown. The potential difference VA VB is YouTube What Are The Potential Differences In V A Va Vb B Vb Vc C Vc Vd And D Va Vc Show transcribed image text there are 3 steps. The figure consists of single ideal. Your solution’s ready to go! Graph above the circuit shows the electric potential v(x) versus position x along the upper branch of the circuit, through resistors 1, 2, and. (a) numberunits (b) numberunits (c) numberunits. Potential difference, also known as voltage, is the difference in electric. What Are The Potential Differences In V A Va Vb B Vb Vc C Vc Vd And D Va Vc.
From selfstudy365.com
[SOLVED] Find the potential difference Va−Vb between the points Self Study 365 What Are The Potential Differences In V A Va Vb B Vb Vc C Vc Vd And D Va Vc Show transcribed image text there are 3 steps. The figure consists of single ideal. In the figure ε = 10.7 v, r1 = 2530 ω, r2 = 2540 ω, and r3 = 3160 ω. Graph above the circuit shows the electric potential v(x) versus position x along the upper branch of the circuit, through resistors 1, 2, and. Your solution’s. What Are The Potential Differences In V A Va Vb B Vb Vc C Vc Vd And D Va Vc.
From www.youtube.com
The potential difference `V_A V_B` for the circuit shown in fig. is. `(22//x)V.` find the val What Are The Potential Differences In V A Va Vb B Vb Vc C Vc Vd And D Va Vc The figure consists of single ideal. Potential difference, also known as voltage, is the difference in electric potential energy between two points. Your solution’s ready to go! Graph above the circuit shows the electric potential v(x) versus position x along the upper branch of the circuit, through resistors 1, 2, and. Show transcribed image text there are 3 steps. (a). What Are The Potential Differences In V A Va Vb B Vb Vc C Vc Vd And D Va Vc.
From www.youtube.com
The potential difference VaVb between the points A and B in the given figure is NEET Physics What Are The Potential Differences In V A Va Vb B Vb Vc C Vc Vd And D Va Vc Potential difference, also known as voltage, is the difference in electric potential energy between two points. Your solution’s ready to go! (a) numberunits (b) numberunits (c) numberunits. Show transcribed image text there are 3 steps. The figure consists of single ideal. In the figure ε = 10.7 v, r1 = 2530 ω, r2 = 2540 ω, and r3 = 3160. What Are The Potential Differences In V A Va Vb B Vb Vc C Vc Vd And D Va Vc.
From questions-in.kunduz.com
12. Find the potential difference VA VB for the ci... Physics What Are The Potential Differences In V A Va Vb B Vb Vc C Vc Vd And D Va Vc In the figure ε = 10.7 v, r1 = 2530 ω, r2 = 2540 ω, and r3 = 3160 ω. Potential difference, also known as voltage, is the difference in electric potential energy between two points. The figure consists of single ideal. Graph above the circuit shows the electric potential v(x) versus position x along the upper branch of the. What Are The Potential Differences In V A Va Vb B Vb Vc C Vc Vd And D Va Vc.
From www.doubtnut.com
Find the potential difference Va Vb in the circuits shown in fig What Are The Potential Differences In V A Va Vb B Vb Vc C Vc Vd And D Va Vc In the figure ε = 10.7 v, r1 = 2530 ω, r2 = 2540 ω, and r3 = 3160 ω. (a) numberunits (b) numberunits (c) numberunits. Graph above the circuit shows the electric potential v(x) versus position x along the upper branch of the circuit, through resistors 1, 2, and. Your solution’s ready to go! Show transcribed image text there. What Are The Potential Differences In V A Va Vb B Vb Vc C Vc Vd And D Va Vc.
From www.numerade.com
SOLVED What is the potential difference VB VA when I = 0.50 A in the circuit segment shown What Are The Potential Differences In V A Va Vb B Vb Vc C Vc Vd And D Va Vc Show transcribed image text there are 3 steps. In the figure ε = 10.7 v, r1 = 2530 ω, r2 = 2540 ω, and r3 = 3160 ω. Graph above the circuit shows the electric potential v(x) versus position x along the upper branch of the circuit, through resistors 1, 2, and. Your solution’s ready to go! (a) numberunits (b). What Are The Potential Differences In V A Va Vb B Vb Vc C Vc Vd And D Va Vc.
From www.toppr.com
11. In the figure shown, points A, B and C are located in a region of uniform electric field. If What Are The Potential Differences In V A Va Vb B Vb Vc C Vc Vd And D Va Vc Graph above the circuit shows the electric potential v(x) versus position x along the upper branch of the circuit, through resistors 1, 2, and. In the figure ε = 10.7 v, r1 = 2530 ω, r2 = 2540 ω, and r3 = 3160 ω. Your solution’s ready to go! (a) numberunits (b) numberunits (c) numberunits. Potential difference, also known as. What Are The Potential Differences In V A Va Vb B Vb Vc C Vc Vd And D Va Vc.
From www.toppr.com
Find the potential difference between the points A and B(VA VB) as shown in figure. (Initially What Are The Potential Differences In V A Va Vb B Vb Vc C Vc Vd And D Va Vc Graph above the circuit shows the electric potential v(x) versus position x along the upper branch of the circuit, through resistors 1, 2, and. Your solution’s ready to go! The figure consists of single ideal. Potential difference, also known as voltage, is the difference in electric potential energy between two points. In the figure ε = 10.7 v, r1 =. What Are The Potential Differences In V A Va Vb B Vb Vc C Vc Vd And D Va Vc.
From solvedlib.com
Determine the potential difference; VAVB, in the cir… SolvedLib What Are The Potential Differences In V A Va Vb B Vb Vc C Vc Vd And D Va Vc Your solution’s ready to go! In the figure ε = 10.7 v, r1 = 2530 ω, r2 = 2540 ω, and r3 = 3160 ω. (a) numberunits (b) numberunits (c) numberunits. The figure consists of single ideal. Potential difference, also known as voltage, is the difference in electric potential energy between two points. Graph above the circuit shows the electric. What Are The Potential Differences In V A Va Vb B Vb Vc C Vc Vd And D Va Vc.
From www.toppr.com
11. In the figure shown, points A, B and C are located in a region of uniform electric field. If What Are The Potential Differences In V A Va Vb B Vb Vc C Vc Vd And D Va Vc Show transcribed image text there are 3 steps. Potential difference, also known as voltage, is the difference in electric potential energy between two points. (a) numberunits (b) numberunits (c) numberunits. In the figure ε = 10.7 v, r1 = 2530 ω, r2 = 2540 ω, and r3 = 3160 ω. Your solution’s ready to go! The figure consists of single. What Are The Potential Differences In V A Va Vb B Vb Vc C Vc Vd And D Va Vc.
From www.toppr.com
5. The potential difference (VAV.B) between the points A and B in the given figure is [NEET What Are The Potential Differences In V A Va Vb B Vb Vc C Vc Vd And D Va Vc (a) numberunits (b) numberunits (c) numberunits. Graph above the circuit shows the electric potential v(x) versus position x along the upper branch of the circuit, through resistors 1, 2, and. In the figure ε = 10.7 v, r1 = 2530 ω, r2 = 2540 ω, and r3 = 3160 ω. Potential difference, also known as voltage, is the difference in. What Are The Potential Differences In V A Va Vb B Vb Vc C Vc Vd And D Va Vc.
From www.doubtnut.com
Find out the following a. VA VB b. VB VC c. VC VA d. VD What Are The Potential Differences In V A Va Vb B Vb Vc C Vc Vd And D Va Vc (a) numberunits (b) numberunits (c) numberunits. Your solution’s ready to go! In the figure ε = 10.7 v, r1 = 2530 ω, r2 = 2540 ω, and r3 = 3160 ω. The figure consists of single ideal. Graph above the circuit shows the electric potential v(x) versus position x along the upper branch of the circuit, through resistors 1, 2,. What Are The Potential Differences In V A Va Vb B Vb Vc C Vc Vd And D Va Vc.
From www.numerade.com
In Fig. 2746, ℰ=12.0 V R1=2000 Ω, R2=3000 Ω, and R3=4000 Ω. What are the potential differences What Are The Potential Differences In V A Va Vb B Vb Vc C Vc Vd And D Va Vc Graph above the circuit shows the electric potential v(x) versus position x along the upper branch of the circuit, through resistors 1, 2, and. Show transcribed image text there are 3 steps. In the figure ε = 10.7 v, r1 = 2530 ω, r2 = 2540 ω, and r3 = 3160 ω. The figure consists of single ideal. Your solution’s. What Are The Potential Differences In V A Va Vb B Vb Vc C Vc Vd And D Va Vc.
From solvedlib.com
Determine the potential difference Va Vb shown in the… SolvedLib What Are The Potential Differences In V A Va Vb B Vb Vc C Vc Vd And D Va Vc Graph above the circuit shows the electric potential v(x) versus position x along the upper branch of the circuit, through resistors 1, 2, and. Potential difference, also known as voltage, is the difference in electric potential energy between two points. Your solution’s ready to go! Show transcribed image text there are 3 steps. (a) numberunits (b) numberunits (c) numberunits. The. What Are The Potential Differences In V A Va Vb B Vb Vc C Vc Vd And D Va Vc.
From www.vrogue.co
The Potential Difference Between The Points A And B I vrogue.co What Are The Potential Differences In V A Va Vb B Vb Vc C Vc Vd And D Va Vc The figure consists of single ideal. (a) numberunits (b) numberunits (c) numberunits. Potential difference, also known as voltage, is the difference in electric potential energy between two points. Your solution’s ready to go! Graph above the circuit shows the electric potential v(x) versus position x along the upper branch of the circuit, through resistors 1, 2, and. In the figure. What Are The Potential Differences In V A Va Vb B Vb Vc C Vc Vd And D Va Vc.
From www.numerade.com
SOLVED In the above circuit diagram emf of two batteries are equal, then the potential What Are The Potential Differences In V A Va Vb B Vb Vc C Vc Vd And D Va Vc Show transcribed image text there are 3 steps. Your solution’s ready to go! Graph above the circuit shows the electric potential v(x) versus position x along the upper branch of the circuit, through resistors 1, 2, and. The figure consists of single ideal. (a) numberunits (b) numberunits (c) numberunits. Potential difference, also known as voltage, is the difference in electric. What Are The Potential Differences In V A Va Vb B Vb Vc C Vc Vd And D Va Vc.
From www.numerade.com
SOLVEDQuestion 5 1 pts Determine the potential difference VaVb shown in the circuit below What Are The Potential Differences In V A Va Vb B Vb Vc C Vc Vd And D Va Vc Your solution’s ready to go! Graph above the circuit shows the electric potential v(x) versus position x along the upper branch of the circuit, through resistors 1, 2, and. The figure consists of single ideal. Potential difference, also known as voltage, is the difference in electric potential energy between two points. Show transcribed image text there are 3 steps. (a). What Are The Potential Differences In V A Va Vb B Vb Vc C Vc Vd And D Va Vc.
From www.chegg.com
Solved Find the potential difference Delta V = VB VA in What Are The Potential Differences In V A Va Vb B Vb Vc C Vc Vd And D Va Vc Your solution’s ready to go! In the figure ε = 10.7 v, r1 = 2530 ω, r2 = 2540 ω, and r3 = 3160 ω. (a) numberunits (b) numberunits (c) numberunits. Graph above the circuit shows the electric potential v(x) versus position x along the upper branch of the circuit, through resistors 1, 2, and. Show transcribed image text there. What Are The Potential Differences In V A Va Vb B Vb Vc C Vc Vd And D Va Vc.
From www.chegg.com
Solved What is the potential difference Vb−Va shown in the What Are The Potential Differences In V A Va Vb B Vb Vc C Vc Vd And D Va Vc In the figure ε = 10.7 v, r1 = 2530 ω, r2 = 2540 ω, and r3 = 3160 ω. (a) numberunits (b) numberunits (c) numberunits. Graph above the circuit shows the electric potential v(x) versus position x along the upper branch of the circuit, through resistors 1, 2, and. Potential difference, also known as voltage, is the difference in. What Are The Potential Differences In V A Va Vb B Vb Vc C Vc Vd And D Va Vc.
From www.toppr.com
For the isolated charged conductor shown in the figure, the potentials at points A,B,C and D are What Are The Potential Differences In V A Va Vb B Vb Vc C Vc Vd And D Va Vc In the figure ε = 10.7 v, r1 = 2530 ω, r2 = 2540 ω, and r3 = 3160 ω. Graph above the circuit shows the electric potential v(x) versus position x along the upper branch of the circuit, through resistors 1, 2, and. Your solution’s ready to go! The figure consists of single ideal. Show transcribed image text there. What Are The Potential Differences In V A Va Vb B Vb Vc C Vc Vd And D Va Vc.
From www.chegg.com
Solved Determine the potential difference Va Vb shown in What Are The Potential Differences In V A Va Vb B Vb Vc C Vc Vd And D Va Vc In the figure ε = 10.7 v, r1 = 2530 ω, r2 = 2540 ω, and r3 = 3160 ω. Show transcribed image text there are 3 steps. Potential difference, also known as voltage, is the difference in electric potential energy between two points. Graph above the circuit shows the electric potential v(x) versus position x along the upper branch. What Are The Potential Differences In V A Va Vb B Vb Vc C Vc Vd And D Va Vc.
From www.toppr.com
X X A CA4 X X X X X For the isolated charged conductor shown in the figure, the potentials What Are The Potential Differences In V A Va Vb B Vb Vc C Vc Vd And D Va Vc (a) numberunits (b) numberunits (c) numberunits. Show transcribed image text there are 3 steps. In the figure ε = 10.7 v, r1 = 2530 ω, r2 = 2540 ω, and r3 = 3160 ω. Potential difference, also known as voltage, is the difference in electric potential energy between two points. Graph above the circuit shows the electric potential v(x) versus. What Are The Potential Differences In V A Va Vb B Vb Vc C Vc Vd And D Va Vc.