L2 Regularization Lambda Value . This is your optimal value of lambda. These two regularization terms have different effects on the weights; L2 regularization or ridge regression; Lasso regression (least absolute shrinkage and selection operator) adds “absolute value of magnitude” of coefficient, as. Learn how the l2 regularization metric is calculated and how to set a regularization rate to minimize the combination. I assume that you are talking about the l2 (a.k. Let’s first begin with understanding l2 regularization or ridge regression. Formula for l1 regularization terms. The most common type of regularization is l2, also called simply “weight decay,” with values often on a logarithmic scale between 0 and 0.1, such as 0.1, 0.001, 0.0001, etc. Gabriel tseng, author of the blogpost: Particularly for a value of lambda equal to 40, 60 and 80,. Weight decay) regularization, linearly weighted by the lambda term, and that you are optimizing the weights of your model either with the closed.
from analyticsarora.com
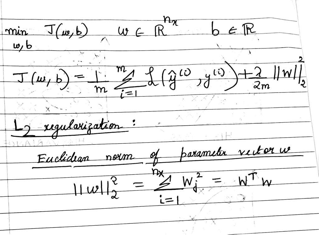
L2 regularization or ridge regression; I assume that you are talking about the l2 (a.k. Formula for l1 regularization terms. Weight decay) regularization, linearly weighted by the lambda term, and that you are optimizing the weights of your model either with the closed. Let’s first begin with understanding l2 regularization or ridge regression. This is your optimal value of lambda. These two regularization terms have different effects on the weights; The most common type of regularization is l2, also called simply “weight decay,” with values often on a logarithmic scale between 0 and 0.1, such as 0.1, 0.001, 0.0001, etc. Gabriel tseng, author of the blogpost: Learn how the l2 regularization metric is calculated and how to set a regularization rate to minimize the combination.
Quickly Master L1 vs L2 Regularization ML Interview Q&A
L2 Regularization Lambda Value Lasso regression (least absolute shrinkage and selection operator) adds “absolute value of magnitude” of coefficient, as. Learn how the l2 regularization metric is calculated and how to set a regularization rate to minimize the combination. Lasso regression (least absolute shrinkage and selection operator) adds “absolute value of magnitude” of coefficient, as. Weight decay) regularization, linearly weighted by the lambda term, and that you are optimizing the weights of your model either with the closed. I assume that you are talking about the l2 (a.k. The most common type of regularization is l2, also called simply “weight decay,” with values often on a logarithmic scale between 0 and 0.1, such as 0.1, 0.001, 0.0001, etc. This is your optimal value of lambda. Let’s first begin with understanding l2 regularization or ridge regression. Particularly for a value of lambda equal to 40, 60 and 80,. Gabriel tseng, author of the blogpost: These two regularization terms have different effects on the weights; Formula for l1 regularization terms. L2 regularization or ridge regression;
From towardsdatascience.com
Visualizing regularization and the L1 and L2 norms by Chiara L2 Regularization Lambda Value Learn how the l2 regularization metric is calculated and how to set a regularization rate to minimize the combination. Gabriel tseng, author of the blogpost: Lasso regression (least absolute shrinkage and selection operator) adds “absolute value of magnitude” of coefficient, as. These two regularization terms have different effects on the weights; Let’s first begin with understanding l2 regularization or ridge. L2 Regularization Lambda Value.
From www.cienciasinseso.com
Regression regularization Science without sense...double nonsense L2 Regularization Lambda Value These two regularization terms have different effects on the weights; Weight decay) regularization, linearly weighted by the lambda term, and that you are optimizing the weights of your model either with the closed. Particularly for a value of lambda equal to 40, 60 and 80,. This is your optimal value of lambda. Formula for l1 regularization terms. Learn how the. L2 Regularization Lambda Value.
From bradleyboehmke.github.io
12 Lesson 4b Regularized Regression Data Mining with R L2 Regularization Lambda Value Weight decay) regularization, linearly weighted by the lambda term, and that you are optimizing the weights of your model either with the closed. Lasso regression (least absolute shrinkage and selection operator) adds “absolute value of magnitude” of coefficient, as. L2 regularization or ridge regression; Learn how the l2 regularization metric is calculated and how to set a regularization rate to. L2 Regularization Lambda Value.
From www.analyticsvidhya.com
Regularization in Machine Learning Analytics Vidhya L2 Regularization Lambda Value This is your optimal value of lambda. Let’s first begin with understanding l2 regularization or ridge regression. Formula for l1 regularization terms. L2 regularization or ridge regression; These two regularization terms have different effects on the weights; The most common type of regularization is l2, also called simply “weight decay,” with values often on a logarithmic scale between 0 and. L2 Regularization Lambda Value.
From medium.com
Ridge Regression(L2 Regularization Method) by Aarthi Kasirajan Medium L2 Regularization Lambda Value Lasso regression (least absolute shrinkage and selection operator) adds “absolute value of magnitude” of coefficient, as. Particularly for a value of lambda equal to 40, 60 and 80,. This is your optimal value of lambda. Learn how the l2 regularization metric is calculated and how to set a regularization rate to minimize the combination. L2 regularization or ridge regression; These. L2 Regularization Lambda Value.
From lavondachong.blogspot.com
regularization machine learning mastery Lavonda Chong L2 Regularization Lambda Value Weight decay) regularization, linearly weighted by the lambda term, and that you are optimizing the weights of your model either with the closed. This is your optimal value of lambda. The most common type of regularization is l2, also called simply “weight decay,” with values often on a logarithmic scale between 0 and 0.1, such as 0.1, 0.001, 0.0001, etc.. L2 Regularization Lambda Value.
From towardsdatascience.com
Types of Regularization in Machine Learning by Aqeel Anwar Feb L2 Regularization Lambda Value Particularly for a value of lambda equal to 40, 60 and 80,. Let’s first begin with understanding l2 regularization or ridge regression. I assume that you are talking about the l2 (a.k. This is your optimal value of lambda. Weight decay) regularization, linearly weighted by the lambda term, and that you are optimizing the weights of your model either with. L2 Regularization Lambda Value.
From stats.stackexchange.com
R Plot of the relationship between lambda values and coefficients in L2 Regularization Lambda Value This is your optimal value of lambda. These two regularization terms have different effects on the weights; Learn how the l2 regularization metric is calculated and how to set a regularization rate to minimize the combination. I assume that you are talking about the l2 (a.k. Gabriel tseng, author of the blogpost: Particularly for a value of lambda equal to. L2 Regularization Lambda Value.
From analyticsarora.com
Quickly Master L1 vs L2 Regularization ML Interview Q&A L2 Regularization Lambda Value Weight decay) regularization, linearly weighted by the lambda term, and that you are optimizing the weights of your model either with the closed. The most common type of regularization is l2, also called simply “weight decay,” with values often on a logarithmic scale between 0 and 0.1, such as 0.1, 0.001, 0.0001, etc. Let’s first begin with understanding l2 regularization. L2 Regularization Lambda Value.
From tyami.github.io
Regularization Ridge (L2), Lasso (L1), and Elastic Net regression L2 Regularization Lambda Value The most common type of regularization is l2, also called simply “weight decay,” with values often on a logarithmic scale between 0 and 0.1, such as 0.1, 0.001, 0.0001, etc. Particularly for a value of lambda equal to 40, 60 and 80,. Let’s first begin with understanding l2 regularization or ridge regression. Lasso regression (least absolute shrinkage and selection operator). L2 Regularization Lambda Value.
From www.researchgate.net
Showing the Mean Squared Error with L1 and L2 penalties ratio L2 Regularization Lambda Value Particularly for a value of lambda equal to 40, 60 and 80,. I assume that you are talking about the l2 (a.k. Lasso regression (least absolute shrinkage and selection operator) adds “absolute value of magnitude” of coefficient, as. Let’s first begin with understanding l2 regularization or ridge regression. This is your optimal value of lambda. The most common type of. L2 Regularization Lambda Value.
From tyami.github.io
Regularization Ridge (L2), Lasso (L1), and Elastic Net regression L2 Regularization Lambda Value These two regularization terms have different effects on the weights; Lasso regression (least absolute shrinkage and selection operator) adds “absolute value of magnitude” of coefficient, as. Formula for l1 regularization terms. Let’s first begin with understanding l2 regularization or ridge regression. I assume that you are talking about the l2 (a.k. The most common type of regularization is l2, also. L2 Regularization Lambda Value.
From ucanalytics.com
YOU CANalytics Machine Learning Regularization Ridge, Lasso L2 Regularization Lambda Value Particularly for a value of lambda equal to 40, 60 and 80,. Weight decay) regularization, linearly weighted by the lambda term, and that you are optimizing the weights of your model either with the closed. L2 regularization or ridge regression; Gabriel tseng, author of the blogpost: The most common type of regularization is l2, also called simply “weight decay,” with. L2 Regularization Lambda Value.
From medium.com
LASSO Regression In Detail (L1 Regularization) by Aarthi Kasirajan L2 Regularization Lambda Value Particularly for a value of lambda equal to 40, 60 and 80,. Let’s first begin with understanding l2 regularization or ridge regression. Gabriel tseng, author of the blogpost: I assume that you are talking about the l2 (a.k. These two regularization terms have different effects on the weights; L2 regularization or ridge regression; Formula for l1 regularization terms. Lasso regression. L2 Regularization Lambda Value.
From bookdown.org
Chapter 5 Choosing \(\lambda\) Machine Learning L2 Regularization Lambda Value Let’s first begin with understanding l2 regularization or ridge regression. These two regularization terms have different effects on the weights; Lasso regression (least absolute shrinkage and selection operator) adds “absolute value of magnitude” of coefficient, as. The most common type of regularization is l2, also called simply “weight decay,” with values often on a logarithmic scale between 0 and 0.1,. L2 Regularization Lambda Value.
From medium.com
Regularization Hyperparameter tuning in a Neural Network. L2 Regularization Lambda Value I assume that you are talking about the l2 (a.k. Particularly for a value of lambda equal to 40, 60 and 80,. Learn how the l2 regularization metric is calculated and how to set a regularization rate to minimize the combination. Formula for l1 regularization terms. L2 regularization or ridge regression; Lasso regression (least absolute shrinkage and selection operator) adds. L2 Regularization Lambda Value.
From machine-learning-and-data-science-with-python.readthedocs.io
l1 and l2 regularization — DS/ML course L2 Regularization Lambda Value Gabriel tseng, author of the blogpost: Learn how the l2 regularization metric is calculated and how to set a regularization rate to minimize the combination. Let’s first begin with understanding l2 regularization or ridge regression. Lasso regression (least absolute shrinkage and selection operator) adds “absolute value of magnitude” of coefficient, as. Weight decay) regularization, linearly weighted by the lambda term,. L2 Regularization Lambda Value.
From www.youtube.com
L1 and L2 Regularization YouTube L2 Regularization Lambda Value Learn how the l2 regularization metric is calculated and how to set a regularization rate to minimize the combination. Gabriel tseng, author of the blogpost: Formula for l1 regularization terms. These two regularization terms have different effects on the weights; Weight decay) regularization, linearly weighted by the lambda term, and that you are optimizing the weights of your model either. L2 Regularization Lambda Value.
From medium.com
MLHow to choose Lambda. About the lambda in regularization… by L2 Regularization Lambda Value Let’s first begin with understanding l2 regularization or ridge regression. L2 regularization or ridge regression; Formula for l1 regularization terms. The most common type of regularization is l2, also called simply “weight decay,” with values often on a logarithmic scale between 0 and 0.1, such as 0.1, 0.001, 0.0001, etc. This is your optimal value of lambda. I assume that. L2 Regularization Lambda Value.
From towardsdatascience.com
Types of Regularization in Machine Learning by Aqeel Anwar Feb L2 Regularization Lambda Value Learn how the l2 regularization metric is calculated and how to set a regularization rate to minimize the combination. Weight decay) regularization, linearly weighted by the lambda term, and that you are optimizing the weights of your model either with the closed. The most common type of regularization is l2, also called simply “weight decay,” with values often on a. L2 Regularization Lambda Value.
From m-alcu.github.io
Neural network L1 and L2 regulatization L2 Regularization Lambda Value Learn how the l2 regularization metric is calculated and how to set a regularization rate to minimize the combination. L2 regularization or ridge regression; The most common type of regularization is l2, also called simply “weight decay,” with values often on a logarithmic scale between 0 and 0.1, such as 0.1, 0.001, 0.0001, etc. Lasso regression (least absolute shrinkage and. L2 Regularization Lambda Value.
From stats.stackexchange.com
regression Is setting lambda equal to zero the same thing as not L2 Regularization Lambda Value Let’s first begin with understanding l2 regularization or ridge regression. L2 regularization or ridge regression; Learn how the l2 regularization metric is calculated and how to set a regularization rate to minimize the combination. Lasso regression (least absolute shrinkage and selection operator) adds “absolute value of magnitude” of coefficient, as. Formula for l1 regularization terms. I assume that you are. L2 Regularization Lambda Value.
From www.youtube.com
Regularization Part 1 Ridge (L2) Regression YouTube L2 Regularization Lambda Value These two regularization terms have different effects on the weights; Gabriel tseng, author of the blogpost: Formula for l1 regularization terms. Particularly for a value of lambda equal to 40, 60 and 80,. Let’s first begin with understanding l2 regularization or ridge regression. The most common type of regularization is l2, also called simply “weight decay,” with values often on. L2 Regularization Lambda Value.
From julienharbulot.com
The effect of L2regularization L2 Regularization Lambda Value Particularly for a value of lambda equal to 40, 60 and 80,. Let’s first begin with understanding l2 regularization or ridge regression. L2 regularization or ridge regression; These two regularization terms have different effects on the weights; This is your optimal value of lambda. Learn how the l2 regularization metric is calculated and how to set a regularization rate to. L2 Regularization Lambda Value.
From towardsdatascience.com
Lecture Notes Regularization for Deep Learning Towards Data Science L2 Regularization Lambda Value L2 regularization or ridge regression; This is your optimal value of lambda. Let’s first begin with understanding l2 regularization or ridge regression. Formula for l1 regularization terms. The most common type of regularization is l2, also called simply “weight decay,” with values often on a logarithmic scale between 0 and 0.1, such as 0.1, 0.001, 0.0001, etc. I assume that. L2 Regularization Lambda Value.
From 37steps.com
Regularization and invariants Pattern Recognition Tools Pattern L2 Regularization Lambda Value Particularly for a value of lambda equal to 40, 60 and 80,. This is your optimal value of lambda. Gabriel tseng, author of the blogpost: Let’s first begin with understanding l2 regularization or ridge regression. Lasso regression (least absolute shrinkage and selection operator) adds “absolute value of magnitude” of coefficient, as. The most common type of regularization is l2, also. L2 Regularization Lambda Value.
From medium.com
Regularization and tackling overfitting ML Cheat Sheet L2 Regularization Lambda Value Gabriel tseng, author of the blogpost: These two regularization terms have different effects on the weights; L2 regularization or ridge regression; Particularly for a value of lambda equal to 40, 60 and 80,. Weight decay) regularization, linearly weighted by the lambda term, and that you are optimizing the weights of your model either with the closed. Learn how the l2. L2 Regularization Lambda Value.
From www.researchgate.net
The LASSO regularization parameter lambda was selected by 10fold L2 Regularization Lambda Value This is your optimal value of lambda. Formula for l1 regularization terms. The most common type of regularization is l2, also called simply “weight decay,” with values often on a logarithmic scale between 0 and 0.1, such as 0.1, 0.001, 0.0001, etc. Let’s first begin with understanding l2 regularization or ridge regression. Lasso regression (least absolute shrinkage and selection operator). L2 Regularization Lambda Value.
From imaddabbura.github.io
Imad Dabbura Coding Neural Network Part 4 Regularization L2 Regularization Lambda Value These two regularization terms have different effects on the weights; Let’s first begin with understanding l2 regularization or ridge regression. Lasso regression (least absolute shrinkage and selection operator) adds “absolute value of magnitude” of coefficient, as. Weight decay) regularization, linearly weighted by the lambda term, and that you are optimizing the weights of your model either with the closed. The. L2 Regularization Lambda Value.
From medium.com
Regularization and CrossValidation — How to choose the penalty value L2 Regularization Lambda Value Learn how the l2 regularization metric is calculated and how to set a regularization rate to minimize the combination. This is your optimal value of lambda. Weight decay) regularization, linearly weighted by the lambda term, and that you are optimizing the weights of your model either with the closed. Particularly for a value of lambda equal to 40, 60 and. L2 Regularization Lambda Value.
From forums.fast.ai
Which number of regularization parameter(lambda) to select Intro to L2 Regularization Lambda Value Learn how the l2 regularization metric is calculated and how to set a regularization rate to minimize the combination. Formula for l1 regularization terms. Weight decay) regularization, linearly weighted by the lambda term, and that you are optimizing the weights of your model either with the closed. These two regularization terms have different effects on the weights; Let’s first begin. L2 Regularization Lambda Value.
From dimensionless.in
Linear Regression Analysis Part 2 Regularization Blog Dimensionless L2 Regularization Lambda Value L2 regularization or ridge regression; Formula for l1 regularization terms. Let’s first begin with understanding l2 regularization or ridge regression. Weight decay) regularization, linearly weighted by the lambda term, and that you are optimizing the weights of your model either with the closed. The most common type of regularization is l2, also called simply “weight decay,” with values often on. L2 Regularization Lambda Value.
From deeplearning.lipingyang.org
Regularization and Bias/Variance Deep Learning Garden L2 Regularization Lambda Value These two regularization terms have different effects on the weights; L2 regularization or ridge regression; Gabriel tseng, author of the blogpost: I assume that you are talking about the l2 (a.k. Learn how the l2 regularization metric is calculated and how to set a regularization rate to minimize the combination. This is your optimal value of lambda. Particularly for a. L2 Regularization Lambda Value.
From www.youtube.com
How to choose the value of regularization parameter lambda in L1 and L2 L2 Regularization Lambda Value Learn how the l2 regularization metric is calculated and how to set a regularization rate to minimize the combination. Gabriel tseng, author of the blogpost: Particularly for a value of lambda equal to 40, 60 and 80,. I assume that you are talking about the l2 (a.k. Formula for l1 regularization terms. L2 regularization or ridge regression; These two regularization. L2 Regularization Lambda Value.
From julienharbulot.com
The effect of L2regularization L2 Regularization Lambda Value Lasso regression (least absolute shrinkage and selection operator) adds “absolute value of magnitude” of coefficient, as. Particularly for a value of lambda equal to 40, 60 and 80,. Formula for l1 regularization terms. Learn how the l2 regularization metric is calculated and how to set a regularization rate to minimize the combination. This is your optimal value of lambda. Weight. L2 Regularization Lambda Value.