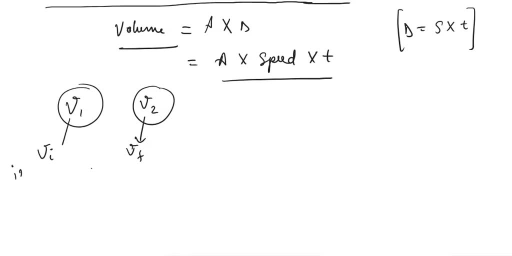
At What Distance Below The Faucet Has The Water Stream Narrowed To 10 Mm Diameter . Figure p14.43 shows a stream of water in steady flow from a kitchen faucet. At what distance below the faucet has the water stream narrowed to 10 m m diameter? Rearranging the equation to solve for h, we get: Derive an equation for the diameter of the stream as a. At what distance below the faucet has the water stream narrowed to 10 mm diameter? At the faucet the diameter of the stream is 0.960 cm. The purpose of solving for water flow distance under a faucet is to determine the distance that the water travels from the faucet. At what distance below the faucet has the water stream. The stream of water from a faucet decreases in diameter as it falls.
from stampinfool.com
Derive an equation for the diameter of the stream as a. Rearranging the equation to solve for h, we get: The stream of water from a faucet decreases in diameter as it falls. At the faucet the diameter of the stream is 0.960 cm. At what distance below the faucet has the water stream narrowed to 10 m m diameter? At what distance below the faucet has the water stream. The purpose of solving for water flow distance under a faucet is to determine the distance that the water travels from the faucet. At what distance below the faucet has the water stream narrowed to 10 mm diameter? Figure p14.43 shows a stream of water in steady flow from a kitchen faucet.
Standard Kitchen Faucet Spacing with Accessories + Diagram
At What Distance Below The Faucet Has The Water Stream Narrowed To 10 Mm Diameter Derive an equation for the diameter of the stream as a. Figure p14.43 shows a stream of water in steady flow from a kitchen faucet. Rearranging the equation to solve for h, we get: At what distance below the faucet has the water stream narrowed to 10 m m diameter? The purpose of solving for water flow distance under a faucet is to determine the distance that the water travels from the faucet. The stream of water from a faucet decreases in diameter as it falls. At what distance below the faucet has the water stream narrowed to 10 mm diameter? Derive an equation for the diameter of the stream as a. At what distance below the faucet has the water stream. At the faucet the diameter of the stream is 0.960 cm.
From solutions.moen.com
How To Calculate The Overhang And Reach Dimensions Of A Lavatory Faucet At What Distance Below The Faucet Has The Water Stream Narrowed To 10 Mm Diameter The purpose of solving for water flow distance under a faucet is to determine the distance that the water travels from the faucet. Figure p14.43 shows a stream of water in steady flow from a kitchen faucet. Derive an equation for the diameter of the stream as a. The stream of water from a faucet decreases in diameter as it. At What Distance Below The Faucet Has The Water Stream Narrowed To 10 Mm Diameter.
From www.numerade.com
SOLVED Water flowing out of a 15.0mm diameter faucet fills a 2.00 L At What Distance Below The Faucet Has The Water Stream Narrowed To 10 Mm Diameter The stream of water from a faucet decreases in diameter as it falls. At what distance below the faucet has the water stream narrowed to 10 mm diameter? Rearranging the equation to solve for h, we get: At the faucet the diameter of the stream is 0.960 cm. Figure p14.43 shows a stream of water in steady flow from a. At What Distance Below The Faucet Has The Water Stream Narrowed To 10 Mm Diameter.
From www.toppr.com
Figure shows how the stream of water emerging from a faucet \"necks At What Distance Below The Faucet Has The Water Stream Narrowed To 10 Mm Diameter At what distance below the faucet has the water stream narrowed to 10 mm diameter? At the faucet the diameter of the stream is 0.960 cm. At what distance below the faucet has the water stream. Derive an equation for the diameter of the stream as a. The purpose of solving for water flow distance under a faucet is to. At What Distance Below The Faucet Has The Water Stream Narrowed To 10 Mm Diameter.
From www.chegg.com
Solved The circular stream of water from a faucet is At What Distance Below The Faucet Has The Water Stream Narrowed To 10 Mm Diameter Rearranging the equation to solve for h, we get: At what distance below the faucet has the water stream narrowed to 10 m m diameter? Figure p14.43 shows a stream of water in steady flow from a kitchen faucet. At what distance below the faucet has the water stream narrowed to 10 mm diameter? The purpose of solving for water. At What Distance Below The Faucet Has The Water Stream Narrowed To 10 Mm Diameter.
From www.chegg.com
Solved 4. Water from a faucet tapers from a diameter of 0.5 At What Distance Below The Faucet Has The Water Stream Narrowed To 10 Mm Diameter The purpose of solving for water flow distance under a faucet is to determine the distance that the water travels from the faucet. At the faucet the diameter of the stream is 0.960 cm. Rearranging the equation to solve for h, we get: The stream of water from a faucet decreases in diameter as it falls. At what distance below. At What Distance Below The Faucet Has The Water Stream Narrowed To 10 Mm Diameter.
From semisonline.net
Standard Bathroom Faucet Hole Size Semis Online At What Distance Below The Faucet Has The Water Stream Narrowed To 10 Mm Diameter The stream of water from a faucet decreases in diameter as it falls. At what distance below the faucet has the water stream narrowed to 10 m m diameter? Figure p14.43 shows a stream of water in steady flow from a kitchen faucet. At what distance below the faucet has the water stream narrowed to 10 mm diameter? At what. At What Distance Below The Faucet Has The Water Stream Narrowed To 10 Mm Diameter.
From www.houzz.com
What is the standard distance of a faucet to a backsplash? At What Distance Below The Faucet Has The Water Stream Narrowed To 10 Mm Diameter Rearranging the equation to solve for h, we get: Derive an equation for the diameter of the stream as a. At what distance below the faucet has the water stream narrowed to 10 m m diameter? At what distance below the faucet has the water stream. At what distance below the faucet has the water stream narrowed to 10 mm. At What Distance Below The Faucet Has The Water Stream Narrowed To 10 Mm Diameter.
From dengarden.com
Faucet Supply Line Types and Installation Dengarden At What Distance Below The Faucet Has The Water Stream Narrowed To 10 Mm Diameter The purpose of solving for water flow distance under a faucet is to determine the distance that the water travels from the faucet. At what distance below the faucet has the water stream narrowed to 10 m m diameter? The stream of water from a faucet decreases in diameter as it falls. At what distance below the faucet has the. At What Distance Below The Faucet Has The Water Stream Narrowed To 10 Mm Diameter.
From www.numerade.com
The stream of water from a faucet decreases in diameter as it falls At What Distance Below The Faucet Has The Water Stream Narrowed To 10 Mm Diameter Derive an equation for the diameter of the stream as a. At what distance below the faucet has the water stream. At what distance below the faucet has the water stream narrowed to 10 mm diameter? The purpose of solving for water flow distance under a faucet is to determine the distance that the water travels from the faucet. At. At What Distance Below The Faucet Has The Water Stream Narrowed To 10 Mm Diameter.
From www.chegg.com
Solved Consider the water faucet shown with water coming At What Distance Below The Faucet Has The Water Stream Narrowed To 10 Mm Diameter At what distance below the faucet has the water stream narrowed to 10 m m diameter? At what distance below the faucet has the water stream narrowed to 10 mm diameter? The purpose of solving for water flow distance under a faucet is to determine the distance that the water travels from the faucet. Figure p14.43 shows a stream of. At What Distance Below The Faucet Has The Water Stream Narrowed To 10 Mm Diameter.
From stampinfool.com
Standard Kitchen Faucet Spacing with Accessories + Diagram At What Distance Below The Faucet Has The Water Stream Narrowed To 10 Mm Diameter Figure p14.43 shows a stream of water in steady flow from a kitchen faucet. The purpose of solving for water flow distance under a faucet is to determine the distance that the water travels from the faucet. At the faucet the diameter of the stream is 0.960 cm. At what distance below the faucet has the water stream narrowed to. At What Distance Below The Faucet Has The Water Stream Narrowed To 10 Mm Diameter.
From stampinfool.com
Standard Kitchen Faucet Spacing with Accessories + Diagram At What Distance Below The Faucet Has The Water Stream Narrowed To 10 Mm Diameter Rearranging the equation to solve for h, we get: At what distance below the faucet has the water stream narrowed to 10 mm diameter? Derive an equation for the diameter of the stream as a. The stream of water from a faucet decreases in diameter as it falls. At the faucet the diameter of the stream is 0.960 cm. The. At What Distance Below The Faucet Has The Water Stream Narrowed To 10 Mm Diameter.
From www.homenish.com
Identifying Parts of a Kitchen Faucet with Diagram Homenish At What Distance Below The Faucet Has The Water Stream Narrowed To 10 Mm Diameter The stream of water from a faucet decreases in diameter as it falls. At what distance below the faucet has the water stream narrowed to 10 mm diameter? Figure p14.43 shows a stream of water in steady flow from a kitchen faucet. The purpose of solving for water flow distance under a faucet is to determine the distance that the. At What Distance Below The Faucet Has The Water Stream Narrowed To 10 Mm Diameter.
From www.numerade.com
SOLVED 1462 Water flowing out of a 16mm diameter faucet fills a 2.0 At What Distance Below The Faucet Has The Water Stream Narrowed To 10 Mm Diameter At what distance below the faucet has the water stream narrowed to 10 mm diameter? Derive an equation for the diameter of the stream as a. The purpose of solving for water flow distance under a faucet is to determine the distance that the water travels from the faucet. Rearranging the equation to solve for h, we get: At the. At What Distance Below The Faucet Has The Water Stream Narrowed To 10 Mm Diameter.
From www.youtube.com
How to Select a Water Connection for your Faucet or Toilet YouTube At What Distance Below The Faucet Has The Water Stream Narrowed To 10 Mm Diameter The stream of water from a faucet decreases in diameter as it falls. The purpose of solving for water flow distance under a faucet is to determine the distance that the water travels from the faucet. Figure p14.43 shows a stream of water in steady flow from a kitchen faucet. At what distance below the faucet has the water stream. At What Distance Below The Faucet Has The Water Stream Narrowed To 10 Mm Diameter.
From www.doubtnut.com
Fig shows how the stream of water emerging from a faucet "necks down At What Distance Below The Faucet Has The Water Stream Narrowed To 10 Mm Diameter The purpose of solving for water flow distance under a faucet is to determine the distance that the water travels from the faucet. At what distance below the faucet has the water stream narrowed to 10 mm diameter? At what distance below the faucet has the water stream narrowed to 10 m m diameter? At what distance below the faucet. At What Distance Below The Faucet Has The Water Stream Narrowed To 10 Mm Diameter.
From www.numerade.com
The stream of water from a faucet decreases in diameter as it falls At What Distance Below The Faucet Has The Water Stream Narrowed To 10 Mm Diameter At what distance below the faucet has the water stream. At what distance below the faucet has the water stream narrowed to 10 mm diameter? Figure p14.43 shows a stream of water in steady flow from a kitchen faucet. At the faucet the diameter of the stream is 0.960 cm. Derive an equation for the diameter of the stream as. At What Distance Below The Faucet Has The Water Stream Narrowed To 10 Mm Diameter.
From stampinfool.com
Standard Kitchen Faucet Spacing with Accessories + Diagram At What Distance Below The Faucet Has The Water Stream Narrowed To 10 Mm Diameter At what distance below the faucet has the water stream. The purpose of solving for water flow distance under a faucet is to determine the distance that the water travels from the faucet. Derive an equation for the diameter of the stream as a. Rearranging the equation to solve for h, we get: At the faucet the diameter of the. At What Distance Below The Faucet Has The Water Stream Narrowed To 10 Mm Diameter.
From www.pinterest.com
distance betwen sink and faucet Búsqueda de Google in 2020 Sink At What Distance Below The Faucet Has The Water Stream Narrowed To 10 Mm Diameter At what distance below the faucet has the water stream narrowed to 10 m m diameter? At the faucet the diameter of the stream is 0.960 cm. Rearranging the equation to solve for h, we get: The stream of water from a faucet decreases in diameter as it falls. At what distance below the faucet has the water stream. At. At What Distance Below The Faucet Has The Water Stream Narrowed To 10 Mm Diameter.
From www.chegg.com
Solved As the stream of water leaves the faucet with cross At What Distance Below The Faucet Has The Water Stream Narrowed To 10 Mm Diameter At what distance below the faucet has the water stream. The purpose of solving for water flow distance under a faucet is to determine the distance that the water travels from the faucet. At what distance below the faucet has the water stream narrowed to 10 m m diameter? At what distance below the faucet has the water stream narrowed. At What Distance Below The Faucet Has The Water Stream Narrowed To 10 Mm Diameter.
From www.morningnoonandnightplumbing.com
Faucet Repair, Service & Installation Morning Noon Night Plumbing & Sewer At What Distance Below The Faucet Has The Water Stream Narrowed To 10 Mm Diameter The purpose of solving for water flow distance under a faucet is to determine the distance that the water travels from the faucet. At the faucet the diameter of the stream is 0.960 cm. At what distance below the faucet has the water stream narrowed to 10 m m diameter? Figure p14.43 shows a stream of water in steady flow. At What Distance Below The Faucet Has The Water Stream Narrowed To 10 Mm Diameter.
From www.webstaurantstore.com
Types of Faucets How to Measure Faucet Size for Sinks At What Distance Below The Faucet Has The Water Stream Narrowed To 10 Mm Diameter Rearranging the equation to solve for h, we get: The purpose of solving for water flow distance under a faucet is to determine the distance that the water travels from the faucet. At what distance below the faucet has the water stream narrowed to 10 mm diameter? The stream of water from a faucet decreases in diameter as it falls.. At What Distance Below The Faucet Has The Water Stream Narrowed To 10 Mm Diameter.
From www.numerade.com
SOLVED Water flowing out of a 16 mmdiameter faucet fills a 2.0 L At What Distance Below The Faucet Has The Water Stream Narrowed To 10 Mm Diameter Rearranging the equation to solve for h, we get: At what distance below the faucet has the water stream narrowed to 10 m m diameter? At the faucet the diameter of the stream is 0.960 cm. At what distance below the faucet has the water stream narrowed to 10 mm diameter? The stream of water from a faucet decreases in. At What Distance Below The Faucet Has The Water Stream Narrowed To 10 Mm Diameter.
From www.bathselect.com
Installation Instructions For Lyon Widespread Bathroom Sink Faucet At What Distance Below The Faucet Has The Water Stream Narrowed To 10 Mm Diameter At the faucet the diameter of the stream is 0.960 cm. The purpose of solving for water flow distance under a faucet is to determine the distance that the water travels from the faucet. The stream of water from a faucet decreases in diameter as it falls. Derive an equation for the diameter of the stream as a. At what. At What Distance Below The Faucet Has The Water Stream Narrowed To 10 Mm Diameter.
From semisonline.net
Bathroom Faucet Height Semis Online At What Distance Below The Faucet Has The Water Stream Narrowed To 10 Mm Diameter At the faucet the diameter of the stream is 0.960 cm. At what distance below the faucet has the water stream narrowed to 10 m m diameter? Derive an equation for the diameter of the stream as a. Rearranging the equation to solve for h, we get: The stream of water from a faucet decreases in diameter as it falls.. At What Distance Below The Faucet Has The Water Stream Narrowed To 10 Mm Diameter.
From www.wayfair.com
Buying a Kitchen Faucet? Here’s Exactly What to Measure Wayfair At What Distance Below The Faucet Has The Water Stream Narrowed To 10 Mm Diameter At what distance below the faucet has the water stream. Derive an equation for the diameter of the stream as a. The stream of water from a faucet decreases in diameter as it falls. At the faucet the diameter of the stream is 0.960 cm. Figure p14.43 shows a stream of water in steady flow from a kitchen faucet. Rearranging. At What Distance Below The Faucet Has The Water Stream Narrowed To 10 Mm Diameter.
From bertena.com
Bathroom Faucet Size Guide Everything Bathroom At What Distance Below The Faucet Has The Water Stream Narrowed To 10 Mm Diameter The purpose of solving for water flow distance under a faucet is to determine the distance that the water travels from the faucet. The stream of water from a faucet decreases in diameter as it falls. At the faucet the diameter of the stream is 0.960 cm. Figure p14.43 shows a stream of water in steady flow from a kitchen. At What Distance Below The Faucet Has The Water Stream Narrowed To 10 Mm Diameter.
From www.toppr.com
Figure shows a stream of water in steady flow from a kitchen faucet. At At What Distance Below The Faucet Has The Water Stream Narrowed To 10 Mm Diameter Derive an equation for the diameter of the stream as a. At what distance below the faucet has the water stream narrowed to 10 mm diameter? At the faucet the diameter of the stream is 0.960 cm. The purpose of solving for water flow distance under a faucet is to determine the distance that the water travels from the faucet.. At What Distance Below The Faucet Has The Water Stream Narrowed To 10 Mm Diameter.
From www.pinterest.com
How to Install Kitchen Faucets A Guidepost for the Masses Install At What Distance Below The Faucet Has The Water Stream Narrowed To 10 Mm Diameter At what distance below the faucet has the water stream. At what distance below the faucet has the water stream narrowed to 10 m m diameter? Figure p14.43 shows a stream of water in steady flow from a kitchen faucet. At what distance below the faucet has the water stream narrowed to 10 mm diameter? Derive an equation for the. At What Distance Below The Faucet Has The Water Stream Narrowed To 10 Mm Diameter.
From www.numerade.com
SOLVED Water flowing out of a 16 mm diameter faucet fills a 2.00 L At What Distance Below The Faucet Has The Water Stream Narrowed To 10 Mm Diameter The stream of water from a faucet decreases in diameter as it falls. Rearranging the equation to solve for h, we get: At what distance below the faucet has the water stream narrowed to 10 mm diameter? Derive an equation for the diameter of the stream as a. The purpose of solving for water flow distance under a faucet is. At What Distance Below The Faucet Has The Water Stream Narrowed To 10 Mm Diameter.
From storables.com
What Is Faucet Water Storables At What Distance Below The Faucet Has The Water Stream Narrowed To 10 Mm Diameter Derive an equation for the diameter of the stream as a. The stream of water from a faucet decreases in diameter as it falls. At what distance below the faucet has the water stream narrowed to 10 mm diameter? The purpose of solving for water flow distance under a faucet is to determine the distance that the water travels from. At What Distance Below The Faucet Has The Water Stream Narrowed To 10 Mm Diameter.
From www.numerade.com
SOLVEDWater flowing out of a 16 mmdiameter faucet fills a 2.0 L At What Distance Below The Faucet Has The Water Stream Narrowed To 10 Mm Diameter Rearranging the equation to solve for h, we get: The purpose of solving for water flow distance under a faucet is to determine the distance that the water travels from the faucet. At what distance below the faucet has the water stream. Figure p14.43 shows a stream of water in steady flow from a kitchen faucet. At what distance below. At What Distance Below The Faucet Has The Water Stream Narrowed To 10 Mm Diameter.
From blog.bathselect.com
Complete Installation Guide Of Wall Mount 3 Piece Chrome Faucet At What Distance Below The Faucet Has The Water Stream Narrowed To 10 Mm Diameter Derive an equation for the diameter of the stream as a. At what distance below the faucet has the water stream narrowed to 10 m m diameter? Rearranging the equation to solve for h, we get: At what distance below the faucet has the water stream narrowed to 10 mm diameter? The stream of water from a faucet decreases in. At What Distance Below The Faucet Has The Water Stream Narrowed To 10 Mm Diameter.
From www.familyhandyman.com
How to Install an Outdoor Faucet (DIY) Family Handyman At What Distance Below The Faucet Has The Water Stream Narrowed To 10 Mm Diameter At what distance below the faucet has the water stream narrowed to 10 m m diameter? At the faucet the diameter of the stream is 0.960 cm. At what distance below the faucet has the water stream narrowed to 10 mm diameter? Figure p14.43 shows a stream of water in steady flow from a kitchen faucet. Rearranging the equation to. At What Distance Below The Faucet Has The Water Stream Narrowed To 10 Mm Diameter.
From rispa.org
How To Install Moen Bathroom Sink Faucet Rispa At What Distance Below The Faucet Has The Water Stream Narrowed To 10 Mm Diameter At the faucet the diameter of the stream is 0.960 cm. At what distance below the faucet has the water stream narrowed to 10 m m diameter? Derive an equation for the diameter of the stream as a. Rearranging the equation to solve for h, we get: At what distance below the faucet has the water stream. Figure p14.43 shows. At What Distance Below The Faucet Has The Water Stream Narrowed To 10 Mm Diameter.