Chlorine Atomic Mass In Kilograms . Chlorine is the 17th element in the periodic table and has a symbol of cl and atomic number of 17. Sources, facts, uses, scarcity (sri), podcasts, alchemical symbols,. Complete and detailed technical data about the element chlorine in the periodic table. Find out about its chemical and physical properties, states, energy, electrons, oxidation and more. Atomic mass of chlorine is 35.453 u. The atomic mass is the mass of an atom. Atomic weights and isotopic compositions for chlorine isotope relative atomic mass isotopic composition standard atomic weight notes : Chlorine (cl) has an atomic mass of 17. The mass of a unit volume of chlorine at the critical pressure and temperature : The atomic mass or relative isotopic mass refers to. It has an atomic weight of 35.450 and a mass. 35.77 lb/ft 3 (573.0 kg/m 3) critical pressure:
from www.numerade.com
It has an atomic weight of 35.450 and a mass. Find out about its chemical and physical properties, states, energy, electrons, oxidation and more. The atomic mass or relative isotopic mass refers to. Complete and detailed technical data about the element chlorine in the periodic table. Chlorine (cl) has an atomic mass of 17. The mass of a unit volume of chlorine at the critical pressure and temperature : Atomic mass of chlorine is 35.453 u. Sources, facts, uses, scarcity (sri), podcasts, alchemical symbols,. The atomic mass is the mass of an atom. Atomic weights and isotopic compositions for chlorine isotope relative atomic mass isotopic composition standard atomic weight notes :
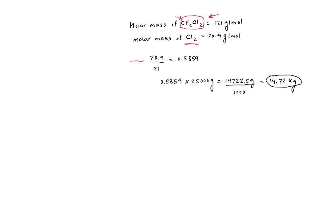
SOLVEDCalculate the mass (in kilograms) of chlorine in 25 kg of each
Chlorine Atomic Mass In Kilograms The mass of a unit volume of chlorine at the critical pressure and temperature : Find out about its chemical and physical properties, states, energy, electrons, oxidation and more. Atomic weights and isotopic compositions for chlorine isotope relative atomic mass isotopic composition standard atomic weight notes : Chlorine (cl) has an atomic mass of 17. It has an atomic weight of 35.450 and a mass. Atomic mass of chlorine is 35.453 u. The atomic mass or relative isotopic mass refers to. 35.77 lb/ft 3 (573.0 kg/m 3) critical pressure: Chlorine is the 17th element in the periodic table and has a symbol of cl and atomic number of 17. The atomic mass is the mass of an atom. Sources, facts, uses, scarcity (sri), podcasts, alchemical symbols,. Complete and detailed technical data about the element chlorine in the periodic table. The mass of a unit volume of chlorine at the critical pressure and temperature :
From exopadwui.blob.core.windows.net
Chlorine Atom Has Atomic Mass at Jeffrey Hyman blog Chlorine Atomic Mass In Kilograms 35.77 lb/ft 3 (573.0 kg/m 3) critical pressure: The mass of a unit volume of chlorine at the critical pressure and temperature : Atomic weights and isotopic compositions for chlorine isotope relative atomic mass isotopic composition standard atomic weight notes : Atomic mass of chlorine is 35.453 u. It has an atomic weight of 35.450 and a mass. Complete and. Chlorine Atomic Mass In Kilograms.
From slideplayer.com
Average Atomic Mass. ppt download Chlorine Atomic Mass In Kilograms The mass of a unit volume of chlorine at the critical pressure and temperature : Atomic mass of chlorine is 35.453 u. Chlorine is the 17th element in the periodic table and has a symbol of cl and atomic number of 17. Find out about its chemical and physical properties, states, energy, electrons, oxidation and more. The atomic mass is. Chlorine Atomic Mass In Kilograms.
From www.animalia-life.club
Chlorine Model Project Chlorine Atomic Mass In Kilograms Chlorine (cl) has an atomic mass of 17. 35.77 lb/ft 3 (573.0 kg/m 3) critical pressure: It has an atomic weight of 35.450 and a mass. The mass of a unit volume of chlorine at the critical pressure and temperature : Atomic mass of chlorine is 35.453 u. Chlorine is the 17th element in the periodic table and has a. Chlorine Atomic Mass In Kilograms.
From flatdisk24.pythonanywhere.com
How To Build A Chlorine Atom Flatdisk24 Chlorine Atomic Mass In Kilograms Chlorine (cl) has an atomic mass of 17. The atomic mass is the mass of an atom. Sources, facts, uses, scarcity (sri), podcasts, alchemical symbols,. Atomic weights and isotopic compositions for chlorine isotope relative atomic mass isotopic composition standard atomic weight notes : The atomic mass or relative isotopic mass refers to. The mass of a unit volume of chlorine. Chlorine Atomic Mass In Kilograms.
From www.chegg.com
Solved Chlorine has an atomic mass of 35 and an atomic Chlorine Atomic Mass In Kilograms Chlorine is the 17th element in the periodic table and has a symbol of cl and atomic number of 17. It has an atomic weight of 35.450 and a mass. Atomic mass of chlorine is 35.453 u. Sources, facts, uses, scarcity (sri), podcasts, alchemical symbols,. The mass of a unit volume of chlorine at the critical pressure and temperature :. Chlorine Atomic Mass In Kilograms.
From www.go4prep.com
Chlorine Electron configuration, Atomic number, Mass, Uses Chlorine Atomic Mass In Kilograms The atomic mass is the mass of an atom. 35.77 lb/ft 3 (573.0 kg/m 3) critical pressure: Chlorine is the 17th element in the periodic table and has a symbol of cl and atomic number of 17. Complete and detailed technical data about the element chlorine in the periodic table. Sources, facts, uses, scarcity (sri), podcasts, alchemical symbols,. It has. Chlorine Atomic Mass In Kilograms.
From mavink.com
Cl Symbol Periodic Table Chlorine Atomic Mass In Kilograms 35.77 lb/ft 3 (573.0 kg/m 3) critical pressure: Chlorine (cl) has an atomic mass of 17. The atomic mass is the mass of an atom. The atomic mass or relative isotopic mass refers to. Complete and detailed technical data about the element chlorine in the periodic table. Atomic weights and isotopic compositions for chlorine isotope relative atomic mass isotopic composition. Chlorine Atomic Mass In Kilograms.
From www.numerade.com
SOLVED For the reaction of chromium metal with chlorine gas (below Chlorine Atomic Mass In Kilograms Complete and detailed technical data about the element chlorine in the periodic table. Find out about its chemical and physical properties, states, energy, electrons, oxidation and more. The atomic mass or relative isotopic mass refers to. Atomic weights and isotopic compositions for chlorine isotope relative atomic mass isotopic composition standard atomic weight notes : It has an atomic weight of. Chlorine Atomic Mass In Kilograms.
From hxeuopsaw.blob.core.windows.net
Chlorine Atom In Mass at Steven Terry blog Chlorine Atomic Mass In Kilograms Atomic weights and isotopic compositions for chlorine isotope relative atomic mass isotopic composition standard atomic weight notes : Chlorine (cl) has an atomic mass of 17. The atomic mass is the mass of an atom. The mass of a unit volume of chlorine at the critical pressure and temperature : 35.77 lb/ft 3 (573.0 kg/m 3) critical pressure: It has. Chlorine Atomic Mass In Kilograms.
From www.toppr.com
What is the mass in grams of a single atom of chlorine? (Atomic mass of Chlorine Atomic Mass In Kilograms Atomic weights and isotopic compositions for chlorine isotope relative atomic mass isotopic composition standard atomic weight notes : The mass of a unit volume of chlorine at the critical pressure and temperature : Atomic mass of chlorine is 35.453 u. Find out about its chemical and physical properties, states, energy, electrons, oxidation and more. Chlorine (cl) has an atomic mass. Chlorine Atomic Mass In Kilograms.
From kennedykruwliu.blogspot.com
How Many Protons Does Chlorine 35 Have KennedykruwLiu Chlorine Atomic Mass In Kilograms Atomic mass of chlorine is 35.453 u. 35.77 lb/ft 3 (573.0 kg/m 3) critical pressure: Sources, facts, uses, scarcity (sri), podcasts, alchemical symbols,. The mass of a unit volume of chlorine at the critical pressure and temperature : The atomic mass is the mass of an atom. It has an atomic weight of 35.450 and a mass. Chlorine (cl) has. Chlorine Atomic Mass In Kilograms.
From askfilo.com
Average atomic mass of chlorine is 35.5u. It has two isotopes of atomic m.. Chlorine Atomic Mass In Kilograms Chlorine is the 17th element in the periodic table and has a symbol of cl and atomic number of 17. Sources, facts, uses, scarcity (sri), podcasts, alchemical symbols,. Find out about its chemical and physical properties, states, energy, electrons, oxidation and more. 35.77 lb/ft 3 (573.0 kg/m 3) critical pressure: The atomic mass is the mass of an atom. The. Chlorine Atomic Mass In Kilograms.
From www.toppr.com
What is the mass in grams of a single atom of chlorine? (Atomic mass of Chlorine Atomic Mass In Kilograms The atomic mass is the mass of an atom. Atomic weights and isotopic compositions for chlorine isotope relative atomic mass isotopic composition standard atomic weight notes : Chlorine (cl) has an atomic mass of 17. The mass of a unit volume of chlorine at the critical pressure and temperature : Chlorine is the 17th element in the periodic table and. Chlorine Atomic Mass In Kilograms.
From www.alamy.com
Chlorine chemical element. Chemical symbol with atomic number and Chlorine Atomic Mass In Kilograms The atomic mass or relative isotopic mass refers to. Atomic weights and isotopic compositions for chlorine isotope relative atomic mass isotopic composition standard atomic weight notes : Chlorine is the 17th element in the periodic table and has a symbol of cl and atomic number of 17. 35.77 lb/ft 3 (573.0 kg/m 3) critical pressure: It has an atomic weight. Chlorine Atomic Mass In Kilograms.
From www.alamy.com
Cl Chlorine Chemical Element Periodic Table. Single vector illustration Chlorine Atomic Mass In Kilograms It has an atomic weight of 35.450 and a mass. The mass of a unit volume of chlorine at the critical pressure and temperature : Complete and detailed technical data about the element chlorine in the periodic table. Chlorine is the 17th element in the periodic table and has a symbol of cl and atomic number of 17. 35.77 lb/ft. Chlorine Atomic Mass In Kilograms.
From www.myxxgirl.com
Chlorine Cl Symbol Properties Uses Facts Periodic Table My XXX Hot Girl Chlorine Atomic Mass In Kilograms Atomic mass of chlorine is 35.453 u. The atomic mass or relative isotopic mass refers to. The atomic mass is the mass of an atom. 35.77 lb/ft 3 (573.0 kg/m 3) critical pressure: Chlorine is the 17th element in the periodic table and has a symbol of cl and atomic number of 17. It has an atomic weight of 35.450. Chlorine Atomic Mass In Kilograms.
From ar.inspiredpencil.com
Chloride Element Symbol Chlorine Atomic Mass In Kilograms It has an atomic weight of 35.450 and a mass. 35.77 lb/ft 3 (573.0 kg/m 3) critical pressure: Chlorine is the 17th element in the periodic table and has a symbol of cl and atomic number of 17. Atomic mass of chlorine is 35.453 u. The mass of a unit volume of chlorine at the critical pressure and temperature :. Chlorine Atomic Mass In Kilograms.
From www.numerade.com
SOLVEDCalculate the mass (in kilograms) of chlorine in 25 kg of each Chlorine Atomic Mass In Kilograms Complete and detailed technical data about the element chlorine in the periodic table. The mass of a unit volume of chlorine at the critical pressure and temperature : Atomic weights and isotopic compositions for chlorine isotope relative atomic mass isotopic composition standard atomic weight notes : Find out about its chemical and physical properties, states, energy, electrons, oxidation and more.. Chlorine Atomic Mass In Kilograms.
From www.shutterstock.com
3.722 Atom structure of chlorine Görseli, Stok Fotoğraflar ve Vektörler Chlorine Atomic Mass In Kilograms 35.77 lb/ft 3 (573.0 kg/m 3) critical pressure: It has an atomic weight of 35.450 and a mass. Complete and detailed technical data about the element chlorine in the periodic table. Chlorine (cl) has an atomic mass of 17. Find out about its chemical and physical properties, states, energy, electrons, oxidation and more. The atomic mass or relative isotopic mass. Chlorine Atomic Mass In Kilograms.
From schematicellsclours.z21.web.core.windows.net
Magnesium Atomic Structure Diagram Chlorine Atomic Mass In Kilograms Atomic mass of chlorine is 35.453 u. Chlorine (cl) has an atomic mass of 17. The atomic mass is the mass of an atom. The atomic mass or relative isotopic mass refers to. 35.77 lb/ft 3 (573.0 kg/m 3) critical pressure: Complete and detailed technical data about the element chlorine in the periodic table. It has an atomic weight of. Chlorine Atomic Mass In Kilograms.
From www.youtube.com
Calculate the atomic mass (average) of chlorine using the following Chlorine Atomic Mass In Kilograms Complete and detailed technical data about the element chlorine in the periodic table. The mass of a unit volume of chlorine at the critical pressure and temperature : Find out about its chemical and physical properties, states, energy, electrons, oxidation and more. Sources, facts, uses, scarcity (sri), podcasts, alchemical symbols,. Chlorine is the 17th element in the periodic table and. Chlorine Atomic Mass In Kilograms.
From www.alamy.com
Chlorine chemical element symbol with atomic mass and atomic number in Chlorine Atomic Mass In Kilograms The mass of a unit volume of chlorine at the critical pressure and temperature : Complete and detailed technical data about the element chlorine in the periodic table. The atomic mass is the mass of an atom. Atomic weights and isotopic compositions for chlorine isotope relative atomic mass isotopic composition standard atomic weight notes : The atomic mass or relative. Chlorine Atomic Mass In Kilograms.
From www.youtube.com
Calculate the atomic mass (average) of chlorine using the following Chlorine Atomic Mass In Kilograms Atomic mass of chlorine is 35.453 u. Find out about its chemical and physical properties, states, energy, electrons, oxidation and more. Chlorine is the 17th element in the periodic table and has a symbol of cl and atomic number of 17. The atomic mass is the mass of an atom. The atomic mass or relative isotopic mass refers to. 35.77. Chlorine Atomic Mass In Kilograms.
From brainly.in
Hey friends!!! This is the average atomic mass of chlorine.please Chlorine Atomic Mass In Kilograms Chlorine (cl) has an atomic mass of 17. Atomic mass of chlorine is 35.453 u. Find out about its chemical and physical properties, states, energy, electrons, oxidation and more. 35.77 lb/ft 3 (573.0 kg/m 3) critical pressure: Sources, facts, uses, scarcity (sri), podcasts, alchemical symbols,. Complete and detailed technical data about the element chlorine in the periodic table. The atomic. Chlorine Atomic Mass In Kilograms.
From www.chegg.com
Solved How many kilograms of chlorine are in 23 kg of each Chlorine Atomic Mass In Kilograms 35.77 lb/ft 3 (573.0 kg/m 3) critical pressure: The atomic mass or relative isotopic mass refers to. Atomic weights and isotopic compositions for chlorine isotope relative atomic mass isotopic composition standard atomic weight notes : Chlorine (cl) has an atomic mass of 17. It has an atomic weight of 35.450 and a mass. The mass of a unit volume of. Chlorine Atomic Mass In Kilograms.
From animalia-life.club
Chlorine Element 3d Model Chlorine Atomic Mass In Kilograms The atomic mass is the mass of an atom. Complete and detailed technical data about the element chlorine in the periodic table. 35.77 lb/ft 3 (573.0 kg/m 3) critical pressure: The atomic mass or relative isotopic mass refers to. Sources, facts, uses, scarcity (sri), podcasts, alchemical symbols,. Atomic weights and isotopic compositions for chlorine isotope relative atomic mass isotopic composition. Chlorine Atomic Mass In Kilograms.
From www.abhayjere.com
Calculating Average Atomic Mass Worksheet Chlorine Atomic Mass In Kilograms Chlorine (cl) has an atomic mass of 17. The atomic mass or relative isotopic mass refers to. Complete and detailed technical data about the element chlorine in the periodic table. Sources, facts, uses, scarcity (sri), podcasts, alchemical symbols,. Atomic mass of chlorine is 35.453 u. The atomic mass is the mass of an atom. Atomic weights and isotopic compositions for. Chlorine Atomic Mass In Kilograms.
From www.meritnation.com
Given that the mean relative atomic mass of chlorine gas is 35 5 and it Chlorine Atomic Mass In Kilograms Chlorine is the 17th element in the periodic table and has a symbol of cl and atomic number of 17. Atomic mass of chlorine is 35.453 u. The mass of a unit volume of chlorine at the critical pressure and temperature : Complete and detailed technical data about the element chlorine in the periodic table. Sources, facts, uses, scarcity (sri),. Chlorine Atomic Mass In Kilograms.
From www.freepik.com
Premium Photo Chlorine chemical element sign with atomic number and Chlorine Atomic Mass In Kilograms Complete and detailed technical data about the element chlorine in the periodic table. Atomic weights and isotopic compositions for chlorine isotope relative atomic mass isotopic composition standard atomic weight notes : Find out about its chemical and physical properties, states, energy, electrons, oxidation and more. The atomic mass or relative isotopic mass refers to. The atomic mass is the mass. Chlorine Atomic Mass In Kilograms.
From www.toppr.com
Atomic mass of chlorine is 35.5. It has two isotopes of atomic mass 35 Chlorine Atomic Mass In Kilograms Atomic mass of chlorine is 35.453 u. Atomic weights and isotopic compositions for chlorine isotope relative atomic mass isotopic composition standard atomic weight notes : The atomic mass is the mass of an atom. Find out about its chemical and physical properties, states, energy, electrons, oxidation and more. 35.77 lb/ft 3 (573.0 kg/m 3) critical pressure: The mass of a. Chlorine Atomic Mass In Kilograms.
From new-periodic11.blogspot.com
NEW PERIODIC TABLE OF ELECTRON SHELLS Periodic Chlorine Atomic Mass In Kilograms 35.77 lb/ft 3 (573.0 kg/m 3) critical pressure: Atomic mass of chlorine is 35.453 u. Atomic weights and isotopic compositions for chlorine isotope relative atomic mass isotopic composition standard atomic weight notes : Chlorine is the 17th element in the periodic table and has a symbol of cl and atomic number of 17. The mass of a unit volume of. Chlorine Atomic Mass In Kilograms.
From elchoroukhost.net
Chlorine Periodic Table Protons Neutrons Electrons Elcho Table Chlorine Atomic Mass In Kilograms Chlorine is the 17th element in the periodic table and has a symbol of cl and atomic number of 17. Atomic mass of chlorine is 35.453 u. Sources, facts, uses, scarcity (sri), podcasts, alchemical symbols,. Atomic weights and isotopic compositions for chlorine isotope relative atomic mass isotopic composition standard atomic weight notes : The mass of a unit volume of. Chlorine Atomic Mass In Kilograms.
From www.toppr.com
What is the mass in grams of a single atom of chlorine? (Atomic mass of Chlorine Atomic Mass In Kilograms Sources, facts, uses, scarcity (sri), podcasts, alchemical symbols,. Find out about its chemical and physical properties, states, energy, electrons, oxidation and more. The mass of a unit volume of chlorine at the critical pressure and temperature : It has an atomic weight of 35.450 and a mass. Chlorine is the 17th element in the periodic table and has a symbol. Chlorine Atomic Mass In Kilograms.
From tfipost.com
What is the Molar Mass of Phosphorus Detailed Answer Chlorine Atomic Mass In Kilograms Sources, facts, uses, scarcity (sri), podcasts, alchemical symbols,. Find out about its chemical and physical properties, states, energy, electrons, oxidation and more. The mass of a unit volume of chlorine at the critical pressure and temperature : The atomic mass is the mass of an atom. Complete and detailed technical data about the element chlorine in the periodic table. Chlorine. Chlorine Atomic Mass In Kilograms.
From bestmfil680.weebly.com
Chlorine Atomic Mass bestmfil Chlorine Atomic Mass In Kilograms The atomic mass or relative isotopic mass refers to. 35.77 lb/ft 3 (573.0 kg/m 3) critical pressure: The atomic mass is the mass of an atom. The mass of a unit volume of chlorine at the critical pressure and temperature : Complete and detailed technical data about the element chlorine in the periodic table. Chlorine is the 17th element in. Chlorine Atomic Mass In Kilograms.