Social Studies Topics For Jss 3 . Courses » jss3 » jss3 social studies » jss3 social studies exam questions topics. On this page, get all social studies jss3 topics from first term to third term. Factors responsible for trafficking 3. Find them below, study them and excel in your. Jss3 social studies exam questions topics first. Definition of trafficking in women and children 2.
from www.pinterest.com
Factors responsible for trafficking 3. Jss3 social studies exam questions topics first. On this page, get all social studies jss3 topics from first term to third term. Definition of trafficking in women and children 2. Find them below, study them and excel in your. Courses » jss3 » jss3 social studies » jss3 social studies exam questions topics.
Social Studies Scheme of Work for JSS2 Second Term Social studies
Social Studies Topics For Jss 3 Factors responsible for trafficking 3. Courses » jss3 » jss3 social studies » jss3 social studies exam questions topics. On this page, get all social studies jss3 topics from first term to third term. Definition of trafficking in women and children 2. Find them below, study them and excel in your. Factors responsible for trafficking 3. Jss3 social studies exam questions topics first.
From www.scribd.com
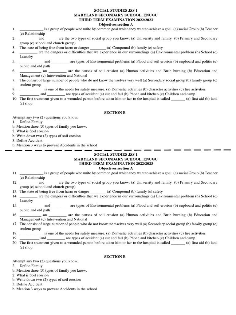
Social Studies JSS 1 PDF Schools First Aid Social Studies Topics For Jss 3 Find them below, study them and excel in your. Jss3 social studies exam questions topics first. On this page, get all social studies jss3 topics from first term to third term. Courses » jss3 » jss3 social studies » jss3 social studies exam questions topics. Definition of trafficking in women and children 2. Factors responsible for trafficking 3. Social Studies Topics For Jss 3.
From www.studocu.com
JSS 3 Second Term Social Studies Edu Delight Tutors 3/30/23, 1026 AM Social Studies Topics For Jss 3 Definition of trafficking in women and children 2. On this page, get all social studies jss3 topics from first term to third term. Jss3 social studies exam questions topics first. Courses » jss3 » jss3 social studies » jss3 social studies exam questions topics. Factors responsible for trafficking 3. Find them below, study them and excel in your. Social Studies Topics For Jss 3.
From challengeacademy.org.ng
social studies jss3 week 1_5_10 Challenge Academy Social Studies Topics For Jss 3 Factors responsible for trafficking 3. Jss3 social studies exam questions topics first. Courses » jss3 » jss3 social studies » jss3 social studies exam questions topics. On this page, get all social studies jss3 topics from first term to third term. Definition of trafficking in women and children 2. Find them below, study them and excel in your. Social Studies Topics For Jss 3.
From www.scribd.com
Subject Social Studies Term Third Class Jss 3 Week 2 Common Crimes Social Studies Topics For Jss 3 Find them below, study them and excel in your. Factors responsible for trafficking 3. On this page, get all social studies jss3 topics from first term to third term. Jss3 social studies exam questions topics first. Definition of trafficking in women and children 2. Courses » jss3 » jss3 social studies » jss3 social studies exam questions topics. Social Studies Topics For Jss 3.
From printablegenuardiwe.z4.web.core.windows.net
Grade 3 Social Studies Worksheets Social Studies Topics For Jss 3 Definition of trafficking in women and children 2. Jss3 social studies exam questions topics first. Factors responsible for trafficking 3. On this page, get all social studies jss3 topics from first term to third term. Find them below, study them and excel in your. Courses » jss3 » jss3 social studies » jss3 social studies exam questions topics. Social Studies Topics For Jss 3.
From www.totalassignment.com
Trending and must use social studies topics 2023 Total Assignment Social Studies Topics For Jss 3 Factors responsible for trafficking 3. Find them below, study them and excel in your. Courses » jss3 » jss3 social studies » jss3 social studies exam questions topics. Jss3 social studies exam questions topics first. On this page, get all social studies jss3 topics from first term to third term. Definition of trafficking in women and children 2. Social Studies Topics For Jss 3.
From www.studocu.com
Social studies jss1 to 3 Social studies JSS In social studies, when Social Studies Topics For Jss 3 Definition of trafficking in women and children 2. Find them below, study them and excel in your. On this page, get all social studies jss3 topics from first term to third term. Jss3 social studies exam questions topics first. Factors responsible for trafficking 3. Courses » jss3 » jss3 social studies » jss3 social studies exam questions topics. Social Studies Topics For Jss 3.
From journal.uny.ac.id
Journal of Social Studies (JSS) Social Studies Topics For Jss 3 Jss3 social studies exam questions topics first. Factors responsible for trafficking 3. Courses » jss3 » jss3 social studies » jss3 social studies exam questions topics. Definition of trafficking in women and children 2. Find them below, study them and excel in your. On this page, get all social studies jss3 topics from first term to third term. Social Studies Topics For Jss 3.
From learnbright.org
10 Themes of Social Studies, Free PDF Download Learn Bright Social Studies Topics For Jss 3 Definition of trafficking in women and children 2. Factors responsible for trafficking 3. Jss3 social studies exam questions topics first. Find them below, study them and excel in your. Courses » jss3 » jss3 social studies » jss3 social studies exam questions topics. On this page, get all social studies jss3 topics from first term to third term. Social Studies Topics For Jss 3.
From challengeacademy.org.ng
JSS ONE SOCIAL STUDIES Challenge Academy Social Studies Topics For Jss 3 Find them below, study them and excel in your. Factors responsible for trafficking 3. On this page, get all social studies jss3 topics from first term to third term. Jss3 social studies exam questions topics first. Courses » jss3 » jss3 social studies » jss3 social studies exam questions topics. Definition of trafficking in women and children 2. Social Studies Topics For Jss 3.
From printablegenuardiwe.z4.web.core.windows.net
Grade 3 Social Studies Worksheets Social Studies Topics For Jss 3 On this page, get all social studies jss3 topics from first term to third term. Find them below, study them and excel in your. Courses » jss3 » jss3 social studies » jss3 social studies exam questions topics. Jss3 social studies exam questions topics first. Definition of trafficking in women and children 2. Factors responsible for trafficking 3. Social Studies Topics For Jss 3.
From www.kofastudy.com
JSS1 Social Studies Kofa Study Social Studies Topics For Jss 3 Find them below, study them and excel in your. Factors responsible for trafficking 3. Definition of trafficking in women and children 2. Courses » jss3 » jss3 social studies » jss3 social studies exam questions topics. Jss3 social studies exam questions topics first. On this page, get all social studies jss3 topics from first term to third term. Social Studies Topics For Jss 3.
From www.pinterest.com
Social Studies Scheme of Work For JSS 3 (First Term To Third Term Social Studies Topics For Jss 3 Jss3 social studies exam questions topics first. Definition of trafficking in women and children 2. Courses » jss3 » jss3 social studies » jss3 social studies exam questions topics. Find them below, study them and excel in your. On this page, get all social studies jss3 topics from first term to third term. Factors responsible for trafficking 3. Social Studies Topics For Jss 3.
From giovljjhf.blob.core.windows.net
Social Studies Jss3 Topics at Anthony Tolley blog Social Studies Topics For Jss 3 On this page, get all social studies jss3 topics from first term to third term. Factors responsible for trafficking 3. Find them below, study them and excel in your. Jss3 social studies exam questions topics first. Courses » jss3 » jss3 social studies » jss3 social studies exam questions topics. Definition of trafficking in women and children 2. Social Studies Topics For Jss 3.
From www.scribd.com
Social Studies JSS 1 PDF Natural Environment Weather Social Studies Topics For Jss 3 Factors responsible for trafficking 3. Find them below, study them and excel in your. Definition of trafficking in women and children 2. On this page, get all social studies jss3 topics from first term to third term. Jss3 social studies exam questions topics first. Courses » jss3 » jss3 social studies » jss3 social studies exam questions topics. Social Studies Topics For Jss 3.
From www.slideshare.net
Chapter One Social Studies Quiz Review Social Studies Topics For Jss 3 Jss3 social studies exam questions topics first. Definition of trafficking in women and children 2. Courses » jss3 » jss3 social studies » jss3 social studies exam questions topics. Find them below, study them and excel in your. On this page, get all social studies jss3 topics from first term to third term. Factors responsible for trafficking 3. Social Studies Topics For Jss 3.
From thesouthernteach.com
Breaking Down the 5 Main Social Studies Topics The Southern Teach Social Studies Topics For Jss 3 Courses » jss3 » jss3 social studies » jss3 social studies exam questions topics. Jss3 social studies exam questions topics first. Factors responsible for trafficking 3. Find them below, study them and excel in your. On this page, get all social studies jss3 topics from first term to third term. Definition of trafficking in women and children 2. Social Studies Topics For Jss 3.
From www.artofit.org
Social studies scheme of work for jss junior secondary school in Social Studies Topics For Jss 3 On this page, get all social studies jss3 topics from first term to third term. Factors responsible for trafficking 3. Definition of trafficking in women and children 2. Find them below, study them and excel in your. Jss3 social studies exam questions topics first. Courses » jss3 » jss3 social studies » jss3 social studies exam questions topics. Social Studies Topics For Jss 3.
From mypfschools.com
Social Studies Jss 1 MYPFSchools Social Studies Topics For Jss 3 On this page, get all social studies jss3 topics from first term to third term. Jss3 social studies exam questions topics first. Find them below, study them and excel in your. Factors responsible for trafficking 3. Courses » jss3 » jss3 social studies » jss3 social studies exam questions topics. Definition of trafficking in women and children 2. Social Studies Topics For Jss 3.
From issuu.com
Free Social Studies Exam Questions and Answers for JSS1 by Teststreams Social Studies Topics For Jss 3 Courses » jss3 » jss3 social studies » jss3 social studies exam questions topics. Factors responsible for trafficking 3. Find them below, study them and excel in your. Jss3 social studies exam questions topics first. Definition of trafficking in women and children 2. On this page, get all social studies jss3 topics from first term to third term. Social Studies Topics For Jss 3.
From universitypressplc.com
Social Studies (with Security Education) for Junior Secondary Schools Social Studies Topics For Jss 3 Jss3 social studies exam questions topics first. Courses » jss3 » jss3 social studies » jss3 social studies exam questions topics. On this page, get all social studies jss3 topics from first term to third term. Find them below, study them and excel in your. Definition of trafficking in women and children 2. Factors responsible for trafficking 3. Social Studies Topics For Jss 3.
From learningschooltiengudajo.z4.web.core.windows.net
9th Grade Social Studies Topics Social Studies Topics For Jss 3 Factors responsible for trafficking 3. Find them below, study them and excel in your. Jss3 social studies exam questions topics first. Definition of trafficking in women and children 2. On this page, get all social studies jss3 topics from first term to third term. Courses » jss3 » jss3 social studies » jss3 social studies exam questions topics. Social Studies Topics For Jss 3.
From schoolings.org
Social Studies Lesson Note For JSS1 (Third Term) 2024PDF Social Studies Topics For Jss 3 On this page, get all social studies jss3 topics from first term to third term. Courses » jss3 » jss3 social studies » jss3 social studies exam questions topics. Find them below, study them and excel in your. Factors responsible for trafficking 3. Jss3 social studies exam questions topics first. Definition of trafficking in women and children 2. Social Studies Topics For Jss 3.
From challengeacademy.org.ng
JSS ONE SOCIAL STUDIES Challenge Academy Social Studies Topics For Jss 3 Factors responsible for trafficking 3. On this page, get all social studies jss3 topics from first term to third term. Jss3 social studies exam questions topics first. Courses » jss3 » jss3 social studies » jss3 social studies exam questions topics. Find them below, study them and excel in your. Definition of trafficking in women and children 2. Social Studies Topics For Jss 3.
From favouriteinternationalschool.blogspot.com
SOCIAL STUDIES JSS 1 Social Studies Topics For Jss 3 Definition of trafficking in women and children 2. Factors responsible for trafficking 3. Courses » jss3 » jss3 social studies » jss3 social studies exam questions topics. Jss3 social studies exam questions topics first. On this page, get all social studies jss3 topics from first term to third term. Find them below, study them and excel in your. Social Studies Topics For Jss 3.
From www.studocu.com
AAELE03Module1stsem20212022 2 TEACHING SOCIAL STUDIES IN THE Social Studies Topics For Jss 3 Find them below, study them and excel in your. Definition of trafficking in women and children 2. Jss3 social studies exam questions topics first. Factors responsible for trafficking 3. Courses » jss3 » jss3 social studies » jss3 social studies exam questions topics. On this page, get all social studies jss3 topics from first term to third term. Social Studies Topics For Jss 3.
From teststreams.com
LESSON PLAN ON JSS3 SOCIAL STUDIES MSWORD PDF Download Social Studies Topics For Jss 3 Find them below, study them and excel in your. On this page, get all social studies jss3 topics from first term to third term. Definition of trafficking in women and children 2. Factors responsible for trafficking 3. Jss3 social studies exam questions topics first. Courses » jss3 » jss3 social studies » jss3 social studies exam questions topics. Social Studies Topics For Jss 3.
From www.pinterest.com
Social Studies Scheme of Work for JSS2 Second Term Social studies Social Studies Topics For Jss 3 On this page, get all social studies jss3 topics from first term to third term. Jss3 social studies exam questions topics first. Find them below, study them and excel in your. Definition of trafficking in women and children 2. Courses » jss3 » jss3 social studies » jss3 social studies exam questions topics. Factors responsible for trafficking 3. Social Studies Topics For Jss 3.
From www.scribd.com
Unified Revision Guide On The New Jss Topics 2016/2017 ACADEMIC SESSION Social Studies Topics For Jss 3 On this page, get all social studies jss3 topics from first term to third term. Courses » jss3 » jss3 social studies » jss3 social studies exam questions topics. Find them below, study them and excel in your. Factors responsible for trafficking 3. Jss3 social studies exam questions topics first. Definition of trafficking in women and children 2. Social Studies Topics For Jss 3.
From www.scribd.com
social studies jss 3 PDF Social Studies Topics For Jss 3 On this page, get all social studies jss3 topics from first term to third term. Find them below, study them and excel in your. Courses » jss3 » jss3 social studies » jss3 social studies exam questions topics. Factors responsible for trafficking 3. Jss3 social studies exam questions topics first. Definition of trafficking in women and children 2. Social Studies Topics For Jss 3.
From www.youtube.com
SOCIAL STUDIES (JSS 13) SOCIALIZATION YouTube Social Studies Topics For Jss 3 Factors responsible for trafficking 3. On this page, get all social studies jss3 topics from first term to third term. Definition of trafficking in women and children 2. Courses » jss3 » jss3 social studies » jss3 social studies exam questions topics. Find them below, study them and excel in your. Jss3 social studies exam questions topics first. Social Studies Topics For Jss 3.
From www.assignmenthelppro.com
165 Amazing Social Studies Topics for Academic Writing Social Studies Topics For Jss 3 Find them below, study them and excel in your. Definition of trafficking in women and children 2. Courses » jss3 » jss3 social studies » jss3 social studies exam questions topics. Jss3 social studies exam questions topics first. On this page, get all social studies jss3 topics from first term to third term. Factors responsible for trafficking 3. Social Studies Topics For Jss 3.
From www.scribd.com
Subject SOCIAL STUDIES Duration 2HRS Class JSS 3 Download Social Studies Topics For Jss 3 On this page, get all social studies jss3 topics from first term to third term. Courses » jss3 » jss3 social studies » jss3 social studies exam questions topics. Find them below, study them and excel in your. Jss3 social studies exam questions topics first. Factors responsible for trafficking 3. Definition of trafficking in women and children 2. Social Studies Topics For Jss 3.
From play.google.com
Social Studies Notes (JSS 13) Apps on Google Play Social Studies Topics For Jss 3 Courses » jss3 » jss3 social studies » jss3 social studies exam questions topics. Jss3 social studies exam questions topics first. Definition of trafficking in women and children 2. Find them below, study them and excel in your. On this page, get all social studies jss3 topics from first term to third term. Factors responsible for trafficking 3. Social Studies Topics For Jss 3.
From www.slideserve.com
PPT To First Grade! PowerPoint Presentation, free download Social Studies Topics For Jss 3 Jss3 social studies exam questions topics first. Factors responsible for trafficking 3. Definition of trafficking in women and children 2. Courses » jss3 » jss3 social studies » jss3 social studies exam questions topics. Find them below, study them and excel in your. On this page, get all social studies jss3 topics from first term to third term. Social Studies Topics For Jss 3.