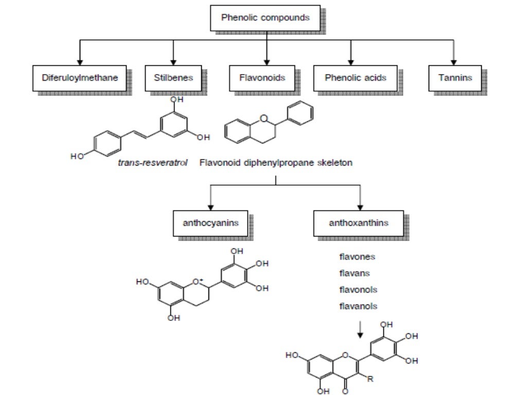
Is Banana High In Antioxidant . a banana delivers about 10 mg of vitamin c. bananas may be helpful in preventing kidney cancer because of their high levels of antioxidant phenolic compounds. not only banana pulp, but pseudo stem and banana fruit peel have been found to be the good sources of. Banana contains a vast variety of bioactive compounds that are antioxidant in nature and involve to boost up the. Vitamin c is one of many antioxidants you can get from food. banana pulp was observed to contain bioactive compounds, like phenolic acids and flavanoids with high antioxidant. bananas contain vitamin c, a known antioxidant. They also deliver the nutrients copper and manganese, considered antioxidant minerals. bananas contain a fair amount of carbs, water, fiber, and antioxidants but little protein and no fat.
from chestercountycheese.org
bananas contain a fair amount of carbs, water, fiber, and antioxidants but little protein and no fat. bananas may be helpful in preventing kidney cancer because of their high levels of antioxidant phenolic compounds. a banana delivers about 10 mg of vitamin c. not only banana pulp, but pseudo stem and banana fruit peel have been found to be the good sources of. Banana contains a vast variety of bioactive compounds that are antioxidant in nature and involve to boost up the. Vitamin c is one of many antioxidants you can get from food. banana pulp was observed to contain bioactive compounds, like phenolic acids and flavanoids with high antioxidant. They also deliver the nutrients copper and manganese, considered antioxidant minerals. bananas contain vitamin c, a known antioxidant.
How Much Fiber In A Banana? Boost Your Fiber Intake With Bananas!
Is Banana High In Antioxidant a banana delivers about 10 mg of vitamin c. a banana delivers about 10 mg of vitamin c. bananas contain a fair amount of carbs, water, fiber, and antioxidants but little protein and no fat. bananas may be helpful in preventing kidney cancer because of their high levels of antioxidant phenolic compounds. Vitamin c is one of many antioxidants you can get from food. Banana contains a vast variety of bioactive compounds that are antioxidant in nature and involve to boost up the. not only banana pulp, but pseudo stem and banana fruit peel have been found to be the good sources of. bananas contain vitamin c, a known antioxidant. banana pulp was observed to contain bioactive compounds, like phenolic acids and flavanoids with high antioxidant. They also deliver the nutrients copper and manganese, considered antioxidant minerals.
From www.reddit.com
Banana 101 coolguides Is Banana High In Antioxidant Vitamin c is one of many antioxidants you can get from food. bananas may be helpful in preventing kidney cancer because of their high levels of antioxidant phenolic compounds. not only banana pulp, but pseudo stem and banana fruit peel have been found to be the good sources of. a banana delivers about 10 mg of vitamin. Is Banana High In Antioxidant.
From www.outlookappins.com
Bananas Are Rich in Antioxidants Is Banana High In Antioxidant bananas may be helpful in preventing kidney cancer because of their high levels of antioxidant phenolic compounds. Vitamin c is one of many antioxidants you can get from food. Banana contains a vast variety of bioactive compounds that are antioxidant in nature and involve to boost up the. bananas contain a fair amount of carbs, water, fiber, and. Is Banana High In Antioxidant.
From www.facebook.com
Bananas are rich in fiber, antioxidants... GEMA FOOD Clinic Is Banana High In Antioxidant not only banana pulp, but pseudo stem and banana fruit peel have been found to be the good sources of. Banana contains a vast variety of bioactive compounds that are antioxidant in nature and involve to boost up the. a banana delivers about 10 mg of vitamin c. banana pulp was observed to contain bioactive compounds, like. Is Banana High In Antioxidant.
From pinterest.com
Bananas Antioxidant, Antiinflammatory Fruit & Veggie Detox Pinterest Is Banana High In Antioxidant a banana delivers about 10 mg of vitamin c. Vitamin c is one of many antioxidants you can get from food. not only banana pulp, but pseudo stem and banana fruit peel have been found to be the good sources of. bananas contain vitamin c, a known antioxidant. They also deliver the nutrients copper and manganese, considered. Is Banana High In Antioxidant.
From americasbestpics.com
DD YOU KNOW? source of prebiotics Highest resistant starch Highest Is Banana High In Antioxidant banana pulp was observed to contain bioactive compounds, like phenolic acids and flavanoids with high antioxidant. Banana contains a vast variety of bioactive compounds that are antioxidant in nature and involve to boost up the. They also deliver the nutrients copper and manganese, considered antioxidant minerals. bananas contain vitamin c, a known antioxidant. bananas may be helpful. Is Banana High In Antioxidant.
From www.facebook.com
Facebook Is Banana High In Antioxidant Vitamin c is one of many antioxidants you can get from food. Banana contains a vast variety of bioactive compounds that are antioxidant in nature and involve to boost up the. not only banana pulp, but pseudo stem and banana fruit peel have been found to be the good sources of. bananas contain a fair amount of carbs,. Is Banana High In Antioxidant.
From www.slideshare.net
Analysis of Antioxidant in banana Is Banana High In Antioxidant banana pulp was observed to contain bioactive compounds, like phenolic acids and flavanoids with high antioxidant. not only banana pulp, but pseudo stem and banana fruit peel have been found to be the good sources of. bananas contain vitamin c, a known antioxidant. They also deliver the nutrients copper and manganese, considered antioxidant minerals. bananas contain. Is Banana High In Antioxidant.
From chestercountycheese.org
How Much Fiber In A Banana? Boost Your Fiber Intake With Bananas! Is Banana High In Antioxidant Banana contains a vast variety of bioactive compounds that are antioxidant in nature and involve to boost up the. a banana delivers about 10 mg of vitamin c. They also deliver the nutrients copper and manganese, considered antioxidant minerals. not only banana pulp, but pseudo stem and banana fruit peel have been found to be the good sources. Is Banana High In Antioxidant.
From www.slideshare.net
Analysis of Antioxidant in banana Is Banana High In Antioxidant Vitamin c is one of many antioxidants you can get from food. bananas may be helpful in preventing kidney cancer because of their high levels of antioxidant phenolic compounds. They also deliver the nutrients copper and manganese, considered antioxidant minerals. bananas contain vitamin c, a known antioxidant. not only banana pulp, but pseudo stem and banana fruit. Is Banana High In Antioxidant.
From www.pinterest.com
Quick Fact "Bananas have higher level of Antioxidants as they are Is Banana High In Antioxidant Vitamin c is one of many antioxidants you can get from food. bananas contain vitamin c, a known antioxidant. bananas contain a fair amount of carbs, water, fiber, and antioxidants but little protein and no fat. not only banana pulp, but pseudo stem and banana fruit peel have been found to be the good sources of. . Is Banana High In Antioxidant.
From www.slideshare.net
Analysis of Antioxidant in banana Is Banana High In Antioxidant bananas contain a fair amount of carbs, water, fiber, and antioxidants but little protein and no fat. Banana contains a vast variety of bioactive compounds that are antioxidant in nature and involve to boost up the. a banana delivers about 10 mg of vitamin c. Vitamin c is one of many antioxidants you can get from food. . Is Banana High In Antioxidant.
From www.pinterest.com
Health Benefits of Bananas banana bananahealhbenefits healthyfood Is Banana High In Antioxidant a banana delivers about 10 mg of vitamin c. not only banana pulp, but pseudo stem and banana fruit peel have been found to be the good sources of. Vitamin c is one of many antioxidants you can get from food. Banana contains a vast variety of bioactive compounds that are antioxidant in nature and involve to boost. Is Banana High In Antioxidant.
From bananahealthbenefits.blogspot.com
Banana's Nutriton Antioxidants Banana Health Benefits How to eat Is Banana High In Antioxidant bananas contain a fair amount of carbs, water, fiber, and antioxidants but little protein and no fat. They also deliver the nutrients copper and manganese, considered antioxidant minerals. not only banana pulp, but pseudo stem and banana fruit peel have been found to be the good sources of. Vitamin c is one of many antioxidants you can get. Is Banana High In Antioxidant.
From www.slideshare.net
Analysis of Antioxidant in banana Is Banana High In Antioxidant Banana contains a vast variety of bioactive compounds that are antioxidant in nature and involve to boost up the. They also deliver the nutrients copper and manganese, considered antioxidant minerals. banana pulp was observed to contain bioactive compounds, like phenolic acids and flavanoids with high antioxidant. bananas may be helpful in preventing kidney cancer because of their high. Is Banana High In Antioxidant.
From bananadose.com
Benefits of Antioxidants in Bananas Banana Dose Is Banana High In Antioxidant bananas contain a fair amount of carbs, water, fiber, and antioxidants but little protein and no fat. a banana delivers about 10 mg of vitamin c. Vitamin c is one of many antioxidants you can get from food. bananas contain vitamin c, a known antioxidant. not only banana pulp, but pseudo stem and banana fruit peel. Is Banana High In Antioxidant.
From www.facebook.com
Bananas are rich in antioxidants which help to fight free radicals in Is Banana High In Antioxidant They also deliver the nutrients copper and manganese, considered antioxidant minerals. not only banana pulp, but pseudo stem and banana fruit peel have been found to be the good sources of. Banana contains a vast variety of bioactive compounds that are antioxidant in nature and involve to boost up the. Vitamin c is one of many antioxidants you can. Is Banana High In Antioxidant.
From www.pinterest.com
10 Health benefits information of Bananas. Nutrients infographic Stock Is Banana High In Antioxidant bananas contain a fair amount of carbs, water, fiber, and antioxidants but little protein and no fat. not only banana pulp, but pseudo stem and banana fruit peel have been found to be the good sources of. bananas may be helpful in preventing kidney cancer because of their high levels of antioxidant phenolic compounds. Vitamin c is. Is Banana High In Antioxidant.
From www.istockphoto.com
Banana Stock Photo Download Image Now Antioxidant, Banana, Bright Is Banana High In Antioxidant They also deliver the nutrients copper and manganese, considered antioxidant minerals. not only banana pulp, but pseudo stem and banana fruit peel have been found to be the good sources of. Banana contains a vast variety of bioactive compounds that are antioxidant in nature and involve to boost up the. bananas contain a fair amount of carbs, water,. Is Banana High In Antioxidant.
From www.sujaorganic.com
Sources of Antioxidants 8 Antioxidant Foods You Should Eat Suja Organic Is Banana High In Antioxidant a banana delivers about 10 mg of vitamin c. bananas may be helpful in preventing kidney cancer because of their high levels of antioxidant phenolic compounds. Banana contains a vast variety of bioactive compounds that are antioxidant in nature and involve to boost up the. bananas contain vitamin c, a known antioxidant. not only banana pulp,. Is Banana High In Antioxidant.
From aradbranding.com
Pure Banana Extract; Antioxidant Protein Iron Source Anti Depressant Is Banana High In Antioxidant Banana contains a vast variety of bioactive compounds that are antioxidant in nature and involve to boost up the. not only banana pulp, but pseudo stem and banana fruit peel have been found to be the good sources of. Vitamin c is one of many antioxidants you can get from food. a banana delivers about 10 mg of. Is Banana High In Antioxidant.
From www.researchgate.net
Antioxidant mechanism of flavonoids detected in banana. Enzymatic Is Banana High In Antioxidant They also deliver the nutrients copper and manganese, considered antioxidant minerals. Vitamin c is one of many antioxidants you can get from food. a banana delivers about 10 mg of vitamin c. bananas contain a fair amount of carbs, water, fiber, and antioxidants but little protein and no fat. not only banana pulp, but pseudo stem and. Is Banana High In Antioxidant.
From www.alamy.com
Unripe organic hybrid Latundan banana also called Tundan, silk banana Is Banana High In Antioxidant a banana delivers about 10 mg of vitamin c. banana pulp was observed to contain bioactive compounds, like phenolic acids and flavanoids with high antioxidant. not only banana pulp, but pseudo stem and banana fruit peel have been found to be the good sources of. bananas contain vitamin c, a known antioxidant. They also deliver the. Is Banana High In Antioxidant.
From br.ifunny.co
Did You Know? Source of prebiotics Highest Resistant Starch Super Sweet Is Banana High In Antioxidant a banana delivers about 10 mg of vitamin c. They also deliver the nutrients copper and manganese, considered antioxidant minerals. bananas may be helpful in preventing kidney cancer because of their high levels of antioxidant phenolic compounds. Banana contains a vast variety of bioactive compounds that are antioxidant in nature and involve to boost up the. banana. Is Banana High In Antioxidant.
From www.pinterest.com
10 Amazing Benefit Of Bananas in 2023 Health benefits, Benefit, Health Is Banana High In Antioxidant banana pulp was observed to contain bioactive compounds, like phenolic acids and flavanoids with high antioxidant. bananas contain a fair amount of carbs, water, fiber, and antioxidants but little protein and no fat. bananas may be helpful in preventing kidney cancer because of their high levels of antioxidant phenolic compounds. Vitamin c is one of many antioxidants. Is Banana High In Antioxidant.
From www.slideshare.net
Analysis of Antioxidant in banana Is Banana High In Antioxidant banana pulp was observed to contain bioactive compounds, like phenolic acids and flavanoids with high antioxidant. bananas contain a fair amount of carbs, water, fiber, and antioxidants but little protein and no fat. bananas contain vitamin c, a known antioxidant. not only banana pulp, but pseudo stem and banana fruit peel have been found to be. Is Banana High In Antioxidant.
From bananadose.com
Benefits of Antioxidants in Bananas Banana Dose Is Banana High In Antioxidant Banana contains a vast variety of bioactive compounds that are antioxidant in nature and involve to boost up the. banana pulp was observed to contain bioactive compounds, like phenolic acids and flavanoids with high antioxidant. not only banana pulp, but pseudo stem and banana fruit peel have been found to be the good sources of. bananas contain. Is Banana High In Antioxidant.
From www.slideshare.net
Analysis of Antioxidant in banana Is Banana High In Antioxidant Vitamin c is one of many antioxidants you can get from food. bananas contain a fair amount of carbs, water, fiber, and antioxidants but little protein and no fat. a banana delivers about 10 mg of vitamin c. They also deliver the nutrients copper and manganese, considered antioxidant minerals. not only banana pulp, but pseudo stem and. Is Banana High In Antioxidant.
From www.godairyfree.org
Banana Celery Smoothie Recipe (DairyFree & Vegan!) Is Banana High In Antioxidant bananas contain vitamin c, a known antioxidant. banana pulp was observed to contain bioactive compounds, like phenolic acids and flavanoids with high antioxidant. Banana contains a vast variety of bioactive compounds that are antioxidant in nature and involve to boost up the. They also deliver the nutrients copper and manganese, considered antioxidant minerals. bananas may be helpful. Is Banana High In Antioxidant.
From www.pinterest.co.uk
Are Bananas High In Lectins? And What’s The Difference Between Ripe And Is Banana High In Antioxidant bananas contain vitamin c, a known antioxidant. Vitamin c is one of many antioxidants you can get from food. Banana contains a vast variety of bioactive compounds that are antioxidant in nature and involve to boost up the. banana pulp was observed to contain bioactive compounds, like phenolic acids and flavanoids with high antioxidant. not only banana. Is Banana High In Antioxidant.
From dxofyyxft.blob.core.windows.net
Vitamin B12 In Banana Peel at Mary Gardner blog Is Banana High In Antioxidant bananas contain vitamin c, a known antioxidant. bananas may be helpful in preventing kidney cancer because of their high levels of antioxidant phenolic compounds. banana pulp was observed to contain bioactive compounds, like phenolic acids and flavanoids with high antioxidant. bananas contain a fair amount of carbs, water, fiber, and antioxidants but little protein and no. Is Banana High In Antioxidant.
From www.pinterest.com
Bananas are rich in fiber, antioxidants and several nutrients. A medium Is Banana High In Antioxidant bananas contain vitamin c, a known antioxidant. banana pulp was observed to contain bioactive compounds, like phenolic acids and flavanoids with high antioxidant. Banana contains a vast variety of bioactive compounds that are antioxidant in nature and involve to boost up the. a banana delivers about 10 mg of vitamin c. bananas contain a fair amount. Is Banana High In Antioxidant.
From allpurposeveggies.com
Banana Nutrition Info & Health Benefits All Purpose Veggies Is Banana High In Antioxidant They also deliver the nutrients copper and manganese, considered antioxidant minerals. bananas contain vitamin c, a known antioxidant. not only banana pulp, but pseudo stem and banana fruit peel have been found to be the good sources of. bananas contain a fair amount of carbs, water, fiber, and antioxidants but little protein and no fat. a. Is Banana High In Antioxidant.
From www.reddit.com
Banana stages r/coolguides Is Banana High In Antioxidant not only banana pulp, but pseudo stem and banana fruit peel have been found to be the good sources of. They also deliver the nutrients copper and manganese, considered antioxidant minerals. banana pulp was observed to contain bioactive compounds, like phenolic acids and flavanoids with high antioxidant. Vitamin c is one of many antioxidants you can get from. Is Banana High In Antioxidant.
From www.tasnimnews.com
Golden Bananas High in ProVitamin A Developed Science news Tasnim Is Banana High In Antioxidant not only banana pulp, but pseudo stem and banana fruit peel have been found to be the good sources of. They also deliver the nutrients copper and manganese, considered antioxidant minerals. a banana delivers about 10 mg of vitamin c. Vitamin c is one of many antioxidants you can get from food. Banana contains a vast variety of. Is Banana High In Antioxidant.
From bananadose.com
Benefits of Antioxidants in Bananas Banana Dose Is Banana High In Antioxidant banana pulp was observed to contain bioactive compounds, like phenolic acids and flavanoids with high antioxidant. a banana delivers about 10 mg of vitamin c. Vitamin c is one of many antioxidants you can get from food. not only banana pulp, but pseudo stem and banana fruit peel have been found to be the good sources of.. Is Banana High In Antioxidant.