Lead Carbonate Water Solubility . calculate the solubility of lead (ii) carbonate, pbcox3, (ksp = 1.5 × 10 − 15) in water, given that carbonate is a stronger base than. This page discusses the solubility of the hydroxides, sulfates and carbonates of the. when lead salt reacts with sodium carbonate, a white precipitate of a mixture of lead carbonate and lead hydroxide forms:. Its concentration is limited due to its low solubility and lead's tendency to form. 133 rows although all compounds have a characteristic solubility in water at a given temperature, some families of compounds. Refer to the chart below to find reference values. water temperature can have a significant effect on the solubility of compounds. truro school in cornwall. find the molar solubility of a compound in water with the solubility calculator, rules or a table. lead carbonate is one of the major forms of lead present in freshwater.
from www.slideserve.com
Refer to the chart below to find reference values. Its concentration is limited due to its low solubility and lead's tendency to form. when lead salt reacts with sodium carbonate, a white precipitate of a mixture of lead carbonate and lead hydroxide forms:. water temperature can have a significant effect on the solubility of compounds. truro school in cornwall. 133 rows although all compounds have a characteristic solubility in water at a given temperature, some families of compounds. calculate the solubility of lead (ii) carbonate, pbcox3, (ksp = 1.5 × 10 − 15) in water, given that carbonate is a stronger base than. This page discusses the solubility of the hydroxides, sulfates and carbonates of the. find the molar solubility of a compound in water with the solubility calculator, rules or a table. lead carbonate is one of the major forms of lead present in freshwater.
PPT Solubility of CO 2 and Carbonate Equilibrium PowerPoint
Lead Carbonate Water Solubility lead carbonate is one of the major forms of lead present in freshwater. find the molar solubility of a compound in water with the solubility calculator, rules or a table. lead carbonate is one of the major forms of lead present in freshwater. water temperature can have a significant effect on the solubility of compounds. This page discusses the solubility of the hydroxides, sulfates and carbonates of the. calculate the solubility of lead (ii) carbonate, pbcox3, (ksp = 1.5 × 10 − 15) in water, given that carbonate is a stronger base than. truro school in cornwall. Its concentration is limited due to its low solubility and lead's tendency to form. 133 rows although all compounds have a characteristic solubility in water at a given temperature, some families of compounds. Refer to the chart below to find reference values. when lead salt reacts with sodium carbonate, a white precipitate of a mixture of lead carbonate and lead hydroxide forms:.
From www.slideserve.com
PPT Dissolution and Precipitation PowerPoint Presentation, free Lead Carbonate Water Solubility Refer to the chart below to find reference values. This page discusses the solubility of the hydroxides, sulfates and carbonates of the. when lead salt reacts with sodium carbonate, a white precipitate of a mixture of lead carbonate and lead hydroxide forms:. truro school in cornwall. 133 rows although all compounds have a characteristic solubility in water. Lead Carbonate Water Solubility.
From www2.mdpi.com
Minerals Free FullText Pb Mineral Precipitation in Solutions of Lead Carbonate Water Solubility Its concentration is limited due to its low solubility and lead's tendency to form. lead carbonate is one of the major forms of lead present in freshwater. calculate the solubility of lead (ii) carbonate, pbcox3, (ksp = 1.5 × 10 − 15) in water, given that carbonate is a stronger base than. This page discusses the solubility of. Lead Carbonate Water Solubility.
From calebcroomphysci4dummies.weebly.com
Solubility Physical Science For Dummies Lead Carbonate Water Solubility calculate the solubility of lead (ii) carbonate, pbcox3, (ksp = 1.5 × 10 − 15) in water, given that carbonate is a stronger base than. water temperature can have a significant effect on the solubility of compounds. lead carbonate is one of the major forms of lead present in freshwater. Its concentration is limited due to its. Lead Carbonate Water Solubility.
From www.chegg.com
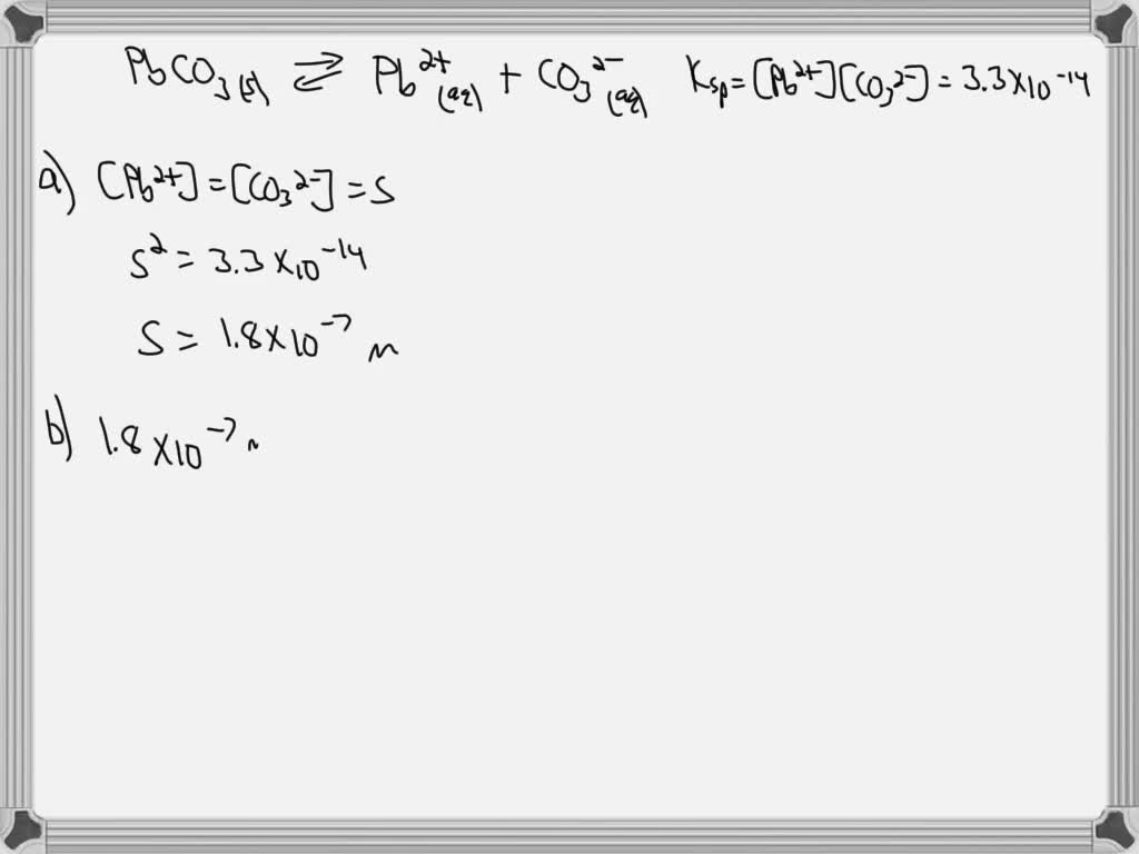
Solved 4. Calculate the solubility of lead(II) carbonate, Lead Carbonate Water Solubility truro school in cornwall. water temperature can have a significant effect on the solubility of compounds. calculate the solubility of lead (ii) carbonate, pbcox3, (ksp = 1.5 × 10 − 15) in water, given that carbonate is a stronger base than. Its concentration is limited due to its low solubility and lead's tendency to form. find. Lead Carbonate Water Solubility.
From www.wikiwand.com
Lead carbonate Wikiwand Lead Carbonate Water Solubility This page discusses the solubility of the hydroxides, sulfates and carbonates of the. Refer to the chart below to find reference values. 133 rows although all compounds have a characteristic solubility in water at a given temperature, some families of compounds. when lead salt reacts with sodium carbonate, a white precipitate of a mixture of lead carbonate and. Lead Carbonate Water Solubility.
From www.flinnsci.ca
Solubility Rules Charts for Chemistry Lead Carbonate Water Solubility when lead salt reacts with sodium carbonate, a white precipitate of a mixture of lead carbonate and lead hydroxide forms:. find the molar solubility of a compound in water with the solubility calculator, rules or a table. water temperature can have a significant effect on the solubility of compounds. lead carbonate is one of the major. Lead Carbonate Water Solubility.
From www.chegg.com
Solved Compare the solubility of lead carbonate in each of Lead Carbonate Water Solubility when lead salt reacts with sodium carbonate, a white precipitate of a mixture of lead carbonate and lead hydroxide forms:. 133 rows although all compounds have a characteristic solubility in water at a given temperature, some families of compounds. Its concentration is limited due to its low solubility and lead's tendency to form. calculate the solubility of. Lead Carbonate Water Solubility.
From www.chegg.com
Solved Compare the solubility of iron(II) carbonate in each Lead Carbonate Water Solubility This page discusses the solubility of the hydroxides, sulfates and carbonates of the. truro school in cornwall. find the molar solubility of a compound in water with the solubility calculator, rules or a table. 133 rows although all compounds have a characteristic solubility in water at a given temperature, some families of compounds. Refer to the chart. Lead Carbonate Water Solubility.
From slidetodoc.com
Dissolution and Precipitation Lecture 23 Carbonate Solubility Carbonate Lead Carbonate Water Solubility 133 rows although all compounds have a characteristic solubility in water at a given temperature, some families of compounds. lead carbonate is one of the major forms of lead present in freshwater. Refer to the chart below to find reference values. Its concentration is limited due to its low solubility and lead's tendency to form. calculate the. Lead Carbonate Water Solubility.
From www.numerade.com
SOLVED The Solubility Product Constant for lead carbonate is 1.5x10 Lead Carbonate Water Solubility water temperature can have a significant effect on the solubility of compounds. truro school in cornwall. calculate the solubility of lead (ii) carbonate, pbcox3, (ksp = 1.5 × 10 − 15) in water, given that carbonate is a stronger base than. Its concentration is limited due to its low solubility and lead's tendency to form. when. Lead Carbonate Water Solubility.
From www.numerade.com
SOLVED Each of the insoluble salts below is put into a 0.10 M Lead Carbonate Water Solubility calculate the solubility of lead (ii) carbonate, pbcox3, (ksp = 1.5 × 10 − 15) in water, given that carbonate is a stronger base than. Refer to the chart below to find reference values. find the molar solubility of a compound in water with the solubility calculator, rules or a table. This page discusses the solubility of the. Lead Carbonate Water Solubility.
From www.numerade.com
SOLVEDAt 25^∘ C, what is the solubility of lead(II) carbonate in water Lead Carbonate Water Solubility lead carbonate is one of the major forms of lead present in freshwater. 133 rows although all compounds have a characteristic solubility in water at a given temperature, some families of compounds. calculate the solubility of lead (ii) carbonate, pbcox3, (ksp = 1.5 × 10 − 15) in water, given that carbonate is a stronger base than.. Lead Carbonate Water Solubility.
From wou.edu
CH150 Chapter 7 Solutions Chemistry Lead Carbonate Water Solubility when lead salt reacts with sodium carbonate, a white precipitate of a mixture of lead carbonate and lead hydroxide forms:. lead carbonate is one of the major forms of lead present in freshwater. water temperature can have a significant effect on the solubility of compounds. Its concentration is limited due to its low solubility and lead's tendency. Lead Carbonate Water Solubility.
From www.chegg.com
Solved Write the dissolution reaction for lead carbonate in Lead Carbonate Water Solubility truro school in cornwall. This page discusses the solubility of the hydroxides, sulfates and carbonates of the. water temperature can have a significant effect on the solubility of compounds. when lead salt reacts with sodium carbonate, a white precipitate of a mixture of lead carbonate and lead hydroxide forms:. calculate the solubility of lead (ii) carbonate,. Lead Carbonate Water Solubility.
From www.chegg.com
Solved The solubility of lead sulfate and carbonate in Lead Carbonate Water Solubility lead carbonate is one of the major forms of lead present in freshwater. Refer to the chart below to find reference values. Its concentration is limited due to its low solubility and lead's tendency to form. 133 rows although all compounds have a characteristic solubility in water at a given temperature, some families of compounds. when lead. Lead Carbonate Water Solubility.
From www.youtube.com
How to write the equation for PbCO3 + H2O Lead (II) carbonate + Water Lead Carbonate Water Solubility when lead salt reacts with sodium carbonate, a white precipitate of a mixture of lead carbonate and lead hydroxide forms:. find the molar solubility of a compound in water with the solubility calculator, rules or a table. calculate the solubility of lead (ii) carbonate, pbcox3, (ksp = 1.5 × 10 − 15) in water, given that carbonate. Lead Carbonate Water Solubility.
From www.researchgate.net
Solubility of formates and carbonates in water as a function of Lead Carbonate Water Solubility find the molar solubility of a compound in water with the solubility calculator, rules or a table. Its concentration is limited due to its low solubility and lead's tendency to form. This page discusses the solubility of the hydroxides, sulfates and carbonates of the. water temperature can have a significant effect on the solubility of compounds. Refer to. Lead Carbonate Water Solubility.
From www.pinterest.com
Solubility Rules Chart for Chemistry Classroom 11th chemistry Lead Carbonate Water Solubility truro school in cornwall. This page discusses the solubility of the hydroxides, sulfates and carbonates of the. calculate the solubility of lead (ii) carbonate, pbcox3, (ksp = 1.5 × 10 − 15) in water, given that carbonate is a stronger base than. find the molar solubility of a compound in water with the solubility calculator, rules or. Lead Carbonate Water Solubility.
From www.researchgate.net
(PDF) Response of Lead Solubility to Dissolved Carbonate in Drinking Water Lead Carbonate Water Solubility 133 rows although all compounds have a characteristic solubility in water at a given temperature, some families of compounds. truro school in cornwall. when lead salt reacts with sodium carbonate, a white precipitate of a mixture of lead carbonate and lead hydroxide forms:. Its concentration is limited due to its low solubility and lead's tendency to form.. Lead Carbonate Water Solubility.
From www.coursehero.com
[Solved] LS You compare the solubility of lead carbonate in pure water Lead Carbonate Water Solubility truro school in cornwall. lead carbonate is one of the major forms of lead present in freshwater. water temperature can have a significant effect on the solubility of compounds. find the molar solubility of a compound in water with the solubility calculator, rules or a table. Its concentration is limited due to its low solubility and. Lead Carbonate Water Solubility.
From www.numerade.com
SOLVEDChallenge The Ks p of lead carbonate (P b C O3) is 7.40 ×10^14 Lead Carbonate Water Solubility Its concentration is limited due to its low solubility and lead's tendency to form. find the molar solubility of a compound in water with the solubility calculator, rules or a table. calculate the solubility of lead (ii) carbonate, pbcox3, (ksp = 1.5 × 10 − 15) in water, given that carbonate is a stronger base than. lead. Lead Carbonate Water Solubility.
From www.slideserve.com
PPT Dissolution and Precipitation PowerPoint Presentation, free Lead Carbonate Water Solubility find the molar solubility of a compound in water with the solubility calculator, rules or a table. Refer to the chart below to find reference values. water temperature can have a significant effect on the solubility of compounds. when lead salt reacts with sodium carbonate, a white precipitate of a mixture of lead carbonate and lead hydroxide. Lead Carbonate Water Solubility.
From www.slideserve.com
PPT Solubility of CO 2 and Carbonate Equilibrium PowerPoint Lead Carbonate Water Solubility calculate the solubility of lead (ii) carbonate, pbcox3, (ksp = 1.5 × 10 − 15) in water, given that carbonate is a stronger base than. 133 rows although all compounds have a characteristic solubility in water at a given temperature, some families of compounds. find the molar solubility of a compound in water with the solubility calculator,. Lead Carbonate Water Solubility.
From www.indiamart.com
Laboratory Lead Carbonate Liquid at Rs 120/bottle Lead Carbonate in Lead Carbonate Water Solubility lead carbonate is one of the major forms of lead present in freshwater. calculate the solubility of lead (ii) carbonate, pbcox3, (ksp = 1.5 × 10 − 15) in water, given that carbonate is a stronger base than. Its concentration is limited due to its low solubility and lead's tendency to form. truro school in cornwall. Refer. Lead Carbonate Water Solubility.
From www.researchgate.net
a Calculated brucite solubility curves in pure water and in carbonated Lead Carbonate Water Solubility calculate the solubility of lead (ii) carbonate, pbcox3, (ksp = 1.5 × 10 − 15) in water, given that carbonate is a stronger base than. water temperature can have a significant effect on the solubility of compounds. lead carbonate is one of the major forms of lead present in freshwater. Its concentration is limited due to its. Lead Carbonate Water Solubility.
From www.researchgate.net
Solubility products of selected lead minerals. Download Table Lead Carbonate Water Solubility find the molar solubility of a compound in water with the solubility calculator, rules or a table. water temperature can have a significant effect on the solubility of compounds. Its concentration is limited due to its low solubility and lead's tendency to form. calculate the solubility of lead (ii) carbonate, pbcox3, (ksp = 1.5 × 10 −. Lead Carbonate Water Solubility.
From www.researchgate.net
(PDF) Determination of solubility product of lead carbonate, using ¹â Lead Carbonate Water Solubility Its concentration is limited due to its low solubility and lead's tendency to form. Refer to the chart below to find reference values. calculate the solubility of lead (ii) carbonate, pbcox3, (ksp = 1.5 × 10 − 15) in water, given that carbonate is a stronger base than. water temperature can have a significant effect on the solubility. Lead Carbonate Water Solubility.
From www.numerade.com
SOLVEDChallenge The K sp of lead carbonate (PbC O 3) is 7.40 × 1 0 14 Lead Carbonate Water Solubility truro school in cornwall. lead carbonate is one of the major forms of lead present in freshwater. water temperature can have a significant effect on the solubility of compounds. This page discusses the solubility of the hydroxides, sulfates and carbonates of the. Its concentration is limited due to its low solubility and lead's tendency to form. . Lead Carbonate Water Solubility.
From www.chegg.com
Solved Compare the solubility of lead carbonate in each of Lead Carbonate Water Solubility truro school in cornwall. lead carbonate is one of the major forms of lead present in freshwater. 133 rows although all compounds have a characteristic solubility in water at a given temperature, some families of compounds. when lead salt reacts with sodium carbonate, a white precipitate of a mixture of lead carbonate and lead hydroxide forms:.. Lead Carbonate Water Solubility.
From www.researchgate.net
Key interaction effects for the lead carbonate solids hydrocerussite Lead Carbonate Water Solubility truro school in cornwall. 133 rows although all compounds have a characteristic solubility in water at a given temperature, some families of compounds. find the molar solubility of a compound in water with the solubility calculator, rules or a table. Its concentration is limited due to its low solubility and lead's tendency to form. This page discusses. Lead Carbonate Water Solubility.
From www.slideserve.com
PPT Solubility of CO 2 and Carbonate Equilibrium PowerPoint Lead Carbonate Water Solubility Its concentration is limited due to its low solubility and lead's tendency to form. find the molar solubility of a compound in water with the solubility calculator, rules or a table. water temperature can have a significant effect on the solubility of compounds. when lead salt reacts with sodium carbonate, a white precipitate of a mixture of. Lead Carbonate Water Solubility.
From www.chegg.com
Solved 4. Calculate the solubility (in grams per liter) of Lead Carbonate Water Solubility find the molar solubility of a compound in water with the solubility calculator, rules or a table. Its concentration is limited due to its low solubility and lead's tendency to form. This page discusses the solubility of the hydroxides, sulfates and carbonates of the. water temperature can have a significant effect on the solubility of compounds. truro. Lead Carbonate Water Solubility.
From www.chegg.com
Solved Compare the solubility of lead carbonate in each of Lead Carbonate Water Solubility This page discusses the solubility of the hydroxides, sulfates and carbonates of the. lead carbonate is one of the major forms of lead present in freshwater. when lead salt reacts with sodium carbonate, a white precipitate of a mixture of lead carbonate and lead hydroxide forms:. Its concentration is limited due to its low solubility and lead's tendency. Lead Carbonate Water Solubility.
From mungfali.com
Solubility Rules Flowchart Chart Chemistry Lead Carbonate Water Solubility water temperature can have a significant effect on the solubility of compounds. 133 rows although all compounds have a characteristic solubility in water at a given temperature, some families of compounds. This page discusses the solubility of the hydroxides, sulfates and carbonates of the. when lead salt reacts with sodium carbonate, a white precipitate of a mixture. Lead Carbonate Water Solubility.
From www.chegg.com
Solved Compare the solubility of lead carbonate in each of Lead Carbonate Water Solubility water temperature can have a significant effect on the solubility of compounds. Its concentration is limited due to its low solubility and lead's tendency to form. truro school in cornwall. Refer to the chart below to find reference values. when lead salt reacts with sodium carbonate, a white precipitate of a mixture of lead carbonate and lead. Lead Carbonate Water Solubility.