Bengali Meaning Of Barometer . What is barometer in bengali? an instrument that measures atmospheric pressure. Barometer definition, pronuniation, antonyms, synonyms and example sentences in bengali. meaning of barometer in bengali language with definitions, examples, antonym, synonym. A barometer is a scientific. the meaning of barometer in bengali is আবহমানযন্ত্র.
from vdocuments.mx
an instrument that measures atmospheric pressure. meaning of barometer in bengali language with definitions, examples, antonym, synonym. the meaning of barometer in bengali is আবহমানযন্ত্র. A barometer is a scientific. Barometer definition, pronuniation, antonyms, synonyms and example sentences in bengali. What is barometer in bengali?
Barometers Created by Laura Glantzberg for. Barometer Basics Barometers
Bengali Meaning Of Barometer Barometer definition, pronuniation, antonyms, synonyms and example sentences in bengali. What is barometer in bengali? Barometer definition, pronuniation, antonyms, synonyms and example sentences in bengali. A barometer is a scientific. an instrument that measures atmospheric pressure. meaning of barometer in bengali language with definitions, examples, antonym, synonym. the meaning of barometer in bengali is আবহমানযন্ত্র.
From www.youtube.com
Barometer meaning in hindi barometer ka matlab kya hota hai word Bengali Meaning Of Barometer A barometer is a scientific. meaning of barometer in bengali language with definitions, examples, antonym, synonym. an instrument that measures atmospheric pressure. Barometer definition, pronuniation, antonyms, synonyms and example sentences in bengali. the meaning of barometer in bengali is আবহমানযন্ত্র. What is barometer in bengali? Bengali Meaning Of Barometer.
From www.dream-symbols.com
Barometer Dream Meaning and interpretation Bengali Meaning Of Barometer Barometer definition, pronuniation, antonyms, synonyms and example sentences in bengali. an instrument that measures atmospheric pressure. meaning of barometer in bengali language with definitions, examples, antonym, synonym. What is barometer in bengali? A barometer is a scientific. the meaning of barometer in bengali is আবহমানযন্ত্র. Bengali Meaning Of Barometer.
From eyecopedia.com
ব্যারোমিটারে পারদ ব্যবহারের সুবিধা Bengali Meaning Of Barometer A barometer is a scientific. What is barometer in bengali? Barometer definition, pronuniation, antonyms, synonyms and example sentences in bengali. the meaning of barometer in bengali is আবহমানযন্ত্র. an instrument that measures atmospheric pressure. meaning of barometer in bengali language with definitions, examples, antonym, synonym. Bengali Meaning Of Barometer.
From en.wikipedia.org
FileAneroid barometer.JPG Wikipedia Bengali Meaning Of Barometer the meaning of barometer in bengali is আবহমানযন্ত্র. an instrument that measures atmospheric pressure. A barometer is a scientific. meaning of barometer in bengali language with definitions, examples, antonym, synonym. What is barometer in bengali? Barometer definition, pronuniation, antonyms, synonyms and example sentences in bengali. Bengali Meaning Of Barometer.
From eduinput.com
BarometerDefinition, Working, And Types Bengali Meaning Of Barometer an instrument that measures atmospheric pressure. A barometer is a scientific. meaning of barometer in bengali language with definitions, examples, antonym, synonym. the meaning of barometer in bengali is আবহমানযন্ত্র. What is barometer in bengali? Barometer definition, pronuniation, antonyms, synonyms and example sentences in bengali. Bengali Meaning Of Barometer.
From sciencing.com
How to Convert Barometric Pressure to mmHg Sciencing Bengali Meaning Of Barometer A barometer is a scientific. an instrument that measures atmospheric pressure. What is barometer in bengali? meaning of barometer in bengali language with definitions, examples, antonym, synonym. the meaning of barometer in bengali is আবহমানযন্ত্র. Barometer definition, pronuniation, antonyms, synonyms and example sentences in bengali. Bengali Meaning Of Barometer.
From www.nautic-instruments.nl
Precision aneroid barometer ø 165 mm Fischer Bengali Meaning Of Barometer an instrument that measures atmospheric pressure. Barometer definition, pronuniation, antonyms, synonyms and example sentences in bengali. the meaning of barometer in bengali is আবহমানযন্ত্র. A barometer is a scientific. meaning of barometer in bengali language with definitions, examples, antonym, synonym. What is barometer in bengali? Bengali Meaning Of Barometer.
From www.youtube.com
Barometer and weather forecast, in bengali, PPT YouTube Bengali Meaning Of Barometer What is barometer in bengali? meaning of barometer in bengali language with definitions, examples, antonym, synonym. A barometer is a scientific. an instrument that measures atmospheric pressure. the meaning of barometer in bengali is আবহমানযন্ত্র. Barometer definition, pronuniation, antonyms, synonyms and example sentences in bengali. Bengali Meaning Of Barometer.
From marypjenseno.blob.core.windows.net
How To Use Barometer To Measure Pressure at marypjenseno blog Bengali Meaning Of Barometer meaning of barometer in bengali language with definitions, examples, antonym, synonym. the meaning of barometer in bengali is আবহমানযন্ত্র. Barometer definition, pronuniation, antonyms, synonyms and example sentences in bengali. an instrument that measures atmospheric pressure. What is barometer in bengali? A barometer is a scientific. Bengali Meaning Of Barometer.
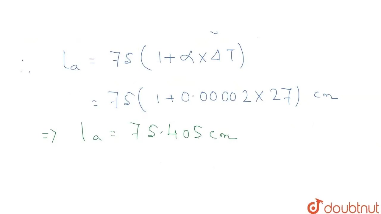
From www.doubtnut.com
[Bengali] The brass scale of a barometer has no error at 0^()C. alpha Bengali Meaning Of Barometer the meaning of barometer in bengali is আবহমানযন্ত্র. meaning of barometer in bengali language with definitions, examples, antonym, synonym. What is barometer in bengali? an instrument that measures atmospheric pressure. Barometer definition, pronuniation, antonyms, synonyms and example sentences in bengali. A barometer is a scientific. Bengali Meaning Of Barometer.
From www.youtube.com
How to take reading in Barometer in Bengali ব্যারোমিটার এ Reading Bengali Meaning Of Barometer an instrument that measures atmospheric pressure. A barometer is a scientific. the meaning of barometer in bengali is আবহমানযন্ত্র. meaning of barometer in bengali language with definitions, examples, antonym, synonym. Barometer definition, pronuniation, antonyms, synonyms and example sentences in bengali. What is barometer in bengali? Bengali Meaning Of Barometer.
From fity.club
Weather Barometer Meaning Bengali Meaning Of Barometer Barometer definition, pronuniation, antonyms, synonyms and example sentences in bengali. A barometer is a scientific. the meaning of barometer in bengali is আবহমানযন্ত্র. meaning of barometer in bengali language with definitions, examples, antonym, synonym. What is barometer in bengali? an instrument that measures atmospheric pressure. Bengali Meaning Of Barometer.
From www.hope-education.co.uk
Barometer B8R06449 Hope Education Bengali Meaning Of Barometer an instrument that measures atmospheric pressure. Barometer definition, pronuniation, antonyms, synonyms and example sentences in bengali. meaning of barometer in bengali language with definitions, examples, antonym, synonym. the meaning of barometer in bengali is আবহমানযন্ত্র. A barometer is a scientific. What is barometer in bengali? Bengali Meaning Of Barometer.
From kalebfersgentry.blogspot.com
What is a Barometer Bengali Meaning Of Barometer meaning of barometer in bengali language with definitions, examples, antonym, synonym. A barometer is a scientific. What is barometer in bengali? the meaning of barometer in bengali is আবহমানযন্ত্র. Barometer definition, pronuniation, antonyms, synonyms and example sentences in bengali. an instrument that measures atmospheric pressure. Bengali Meaning Of Barometer.
From www.thecoolist.com
How to Use a Barometer To Understand Weather and Air Pressure Bengali Meaning Of Barometer What is barometer in bengali? Barometer definition, pronuniation, antonyms, synonyms and example sentences in bengali. meaning of barometer in bengali language with definitions, examples, antonym, synonym. A barometer is a scientific. an instrument that measures atmospheric pressure. the meaning of barometer in bengali is আবহমানযন্ত্র. Bengali Meaning Of Barometer.
From vdocuments.mx
Barometers Created by Laura Glantzberg for. Barometer Basics Barometers Bengali Meaning Of Barometer the meaning of barometer in bengali is আবহমানযন্ত্র. an instrument that measures atmospheric pressure. What is barometer in bengali? A barometer is a scientific. Barometer definition, pronuniation, antonyms, synonyms and example sentences in bengali. meaning of barometer in bengali language with definitions, examples, antonym, synonym. Bengali Meaning Of Barometer.
From englishbengali.com
Daily use English Vocabulary with Bengali Meaning Vocabulary Bengali Meaning Of Barometer an instrument that measures atmospheric pressure. A barometer is a scientific. What is barometer in bengali? the meaning of barometer in bengali is আবহমানযন্ত্র. meaning of barometer in bengali language with definitions, examples, antonym, synonym. Barometer definition, pronuniation, antonyms, synonyms and example sentences in bengali. Bengali Meaning Of Barometer.
From www.pinterest.com
What is a Barometer ? Physics and mathematics, Barometer, Physics Bengali Meaning Of Barometer meaning of barometer in bengali language with definitions, examples, antonym, synonym. the meaning of barometer in bengali is আবহমানযন্ত্র. an instrument that measures atmospheric pressure. Barometer definition, pronuniation, antonyms, synonyms and example sentences in bengali. What is barometer in bengali? A barometer is a scientific. Bengali Meaning Of Barometer.
From www.timeofbd.com
what about you bengali meaning, what about you meaning in Bengali Bengali Meaning Of Barometer A barometer is a scientific. Barometer definition, pronuniation, antonyms, synonyms and example sentences in bengali. an instrument that measures atmospheric pressure. What is barometer in bengali? meaning of barometer in bengali language with definitions, examples, antonym, synonym. the meaning of barometer in bengali is আবহমানযন্ত্র. Bengali Meaning Of Barometer.
From www.youtube.com
Fortin's Barometer Air Pressure Calculation in Bengali / Barometric Bengali Meaning Of Barometer the meaning of barometer in bengali is আবহমানযন্ত্র. What is barometer in bengali? A barometer is a scientific. Barometer definition, pronuniation, antonyms, synonyms and example sentences in bengali. an instrument that measures atmospheric pressure. meaning of barometer in bengali language with definitions, examples, antonym, synonym. Bengali Meaning Of Barometer.
From www.pinterest.co.uk
Small Maritime Barometer, Wood, Brass, W. Campbell & Co Atmospheric Bengali Meaning Of Barometer A barometer is a scientific. What is barometer in bengali? an instrument that measures atmospheric pressure. Barometer definition, pronuniation, antonyms, synonyms and example sentences in bengali. meaning of barometer in bengali language with definitions, examples, antonym, synonym. the meaning of barometer in bengali is আবহমানযন্ত্র. Bengali Meaning Of Barometer.
From www.indiamart.com
Brass Analog Barometer at Rs 1000/piece Weather Barometer, बैरोमीटर Bengali Meaning Of Barometer an instrument that measures atmospheric pressure. the meaning of barometer in bengali is আবহমানযন্ত্র. A barometer is a scientific. Barometer definition, pronuniation, antonyms, synonyms and example sentences in bengali. meaning of barometer in bengali language with definitions, examples, antonym, synonym. What is barometer in bengali? Bengali Meaning Of Barometer.
From www.approachenglish.com
Bengali Meaning of Macbeth Chapter 5 Rapid Reader Class 11 Bengali Meaning Of Barometer the meaning of barometer in bengali is আবহমানযন্ত্র. an instrument that measures atmospheric pressure. meaning of barometer in bengali language with definitions, examples, antonym, synonym. Barometer definition, pronuniation, antonyms, synonyms and example sentences in bengali. A barometer is a scientific. What is barometer in bengali? Bengali Meaning Of Barometer.
From it.dreamstime.com
Barometro Fotografie Stock Immagine 13953203 Bengali Meaning Of Barometer meaning of barometer in bengali language with definitions, examples, antonym, synonym. the meaning of barometer in bengali is আবহমানযন্ত্র. A barometer is a scientific. What is barometer in bengali? Barometer definition, pronuniation, antonyms, synonyms and example sentences in bengali. an instrument that measures atmospheric pressure. Bengali Meaning Of Barometer.
From www.thecoolist.com
How to Use a Barometer To Understand Weather and Air Pressure Bengali Meaning Of Barometer meaning of barometer in bengali language with definitions, examples, antonym, synonym. What is barometer in bengali? A barometer is a scientific. the meaning of barometer in bengali is আবহমানযন্ত্র. Barometer definition, pronuniation, antonyms, synonyms and example sentences in bengali. an instrument that measures atmospheric pressure. Bengali Meaning Of Barometer.
From www.antiques-atlas.com
Antiques Atlas Victorian Aneroid Barometer By Pillischer London as542a830 Bengali Meaning Of Barometer What is barometer in bengali? the meaning of barometer in bengali is আবহমানযন্ত্র. A barometer is a scientific. Barometer definition, pronuniation, antonyms, synonyms and example sentences in bengali. an instrument that measures atmospheric pressure. meaning of barometer in bengali language with definitions, examples, antonym, synonym. Bengali Meaning Of Barometer.
From www.youtube.com
Barometers measure Atmospheric Pressure YouTube Bengali Meaning Of Barometer the meaning of barometer in bengali is আবহমানযন্ত্র. What is barometer in bengali? A barometer is a scientific. an instrument that measures atmospheric pressure. meaning of barometer in bengali language with definitions, examples, antonym, synonym. Barometer definition, pronuniation, antonyms, synonyms and example sentences in bengali. Bengali Meaning Of Barometer.
From www.pngmart.com
Barometer PNG Image PNG Mart Bengali Meaning Of Barometer an instrument that measures atmospheric pressure. the meaning of barometer in bengali is আবহমানযন্ত্র. meaning of barometer in bengali language with definitions, examples, antonym, synonym. A barometer is a scientific. Barometer definition, pronuniation, antonyms, synonyms and example sentences in bengali. What is barometer in bengali? Bengali Meaning Of Barometer.
From www.alamy.com
A 19th century illustration showing Marine, Common, Upright, Siphon Bengali Meaning Of Barometer A barometer is a scientific. an instrument that measures atmospheric pressure. Barometer definition, pronuniation, antonyms, synonyms and example sentences in bengali. meaning of barometer in bengali language with definitions, examples, antonym, synonym. What is barometer in bengali? the meaning of barometer in bengali is আবহমানযন্ত্র. Bengali Meaning Of Barometer.
From www.thecoolist.com
How to Use a Barometer To Understand Weather and Air Pressure Bengali Meaning Of Barometer meaning of barometer in bengali language with definitions, examples, antonym, synonym. the meaning of barometer in bengali is আবহমানযন্ত্র. A barometer is a scientific. What is barometer in bengali? an instrument that measures atmospheric pressure. Barometer definition, pronuniation, antonyms, synonyms and example sentences in bengali. Bengali Meaning Of Barometer.
From www.antiques-atlas.com
Antiques Atlas Victorian Aneroid Barometer By Pillischer London as542a830 Bengali Meaning Of Barometer A barometer is a scientific. the meaning of barometer in bengali is আবহমানযন্ত্র. an instrument that measures atmospheric pressure. Barometer definition, pronuniation, antonyms, synonyms and example sentences in bengali. What is barometer in bengali? meaning of barometer in bengali language with definitions, examples, antonym, synonym. Bengali Meaning Of Barometer.
From www.doubtnut.com
[Bengali] The reading of a mercury barometer placed inside a stationar Bengali Meaning Of Barometer A barometer is a scientific. Barometer definition, pronuniation, antonyms, synonyms and example sentences in bengali. What is barometer in bengali? the meaning of barometer in bengali is আবহমানযন্ত্র. meaning of barometer in bengali language with definitions, examples, antonym, synonym. an instrument that measures atmospheric pressure. Bengali Meaning Of Barometer.
From www.classmate4u.com
Mercury Barometer Inventor, Principle, How it works, Advantages, Uses Bengali Meaning Of Barometer meaning of barometer in bengali language with definitions, examples, antonym, synonym. an instrument that measures atmospheric pressure. What is barometer in bengali? the meaning of barometer in bengali is আবহমানযন্ত্র. Barometer definition, pronuniation, antonyms, synonyms and example sentences in bengali. A barometer is a scientific. Bengali Meaning Of Barometer.
From englishbengali.com
50 Words with Bengali Meaning English Words Bengali Meaning Of Barometer A barometer is a scientific. meaning of barometer in bengali language with definitions, examples, antonym, synonym. What is barometer in bengali? an instrument that measures atmospheric pressure. Barometer definition, pronuniation, antonyms, synonyms and example sentences in bengali. the meaning of barometer in bengali is আবহমানযন্ত্র. Bengali Meaning Of Barometer.