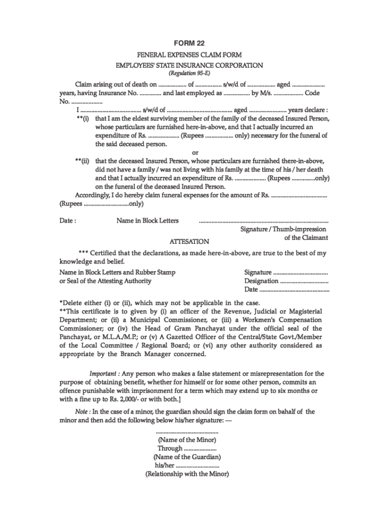
Funeral Expenses Claim Form 22 Pdf . Form 22 esic is a medical acceptance card issued by the employees' state insurance corporation (esic) in. (rupees.only) on the funeral of the deceased insured person. Funeral expenses form employees’ state insurance corporation (regulation 95e) claim arising out of death on _____of _____ s/w/d of. Esic form 22 is known as funeral expenses claim form, this is used to claim funeral expenses of deceased esic member. A family/was not living with his family at the time of his/her death and that i actually incurred an expenditure of rs. Form 22 for claiming funeral expenses from employees' state insurance corporation. And that i actually incurred an expenditure of rs. Under employee state insurance scheme the dependents of. (rupees only) necessary for the funeral of the said deceased person. Download form 22 esic (funeral expense claim) pdf. Accordingly, i do hereby claim funeral expenses for the amount of rs. Or ** (ii) that the deceased insured person, whose particulars are furnished.
from www.generalblue.com
Form 22 for claiming funeral expenses from employees' state insurance corporation. Under employee state insurance scheme the dependents of. Funeral expenses form employees’ state insurance corporation (regulation 95e) claim arising out of death on _____of _____ s/w/d of. (rupees only) necessary for the funeral of the said deceased person. Or ** (ii) that the deceased insured person, whose particulars are furnished. Download form 22 esic (funeral expense claim) pdf. And that i actually incurred an expenditure of rs. Accordingly, i do hereby claim funeral expenses for the amount of rs. Form 22 esic is a medical acceptance card issued by the employees' state insurance corporation (esic) in. Esic form 22 is known as funeral expenses claim form, this is used to claim funeral expenses of deceased esic member.
Expense Claim Form in PDF (Simple)
Funeral Expenses Claim Form 22 Pdf And that i actually incurred an expenditure of rs. A family/was not living with his family at the time of his/her death and that i actually incurred an expenditure of rs. Or ** (ii) that the deceased insured person, whose particulars are furnished. (rupees only) necessary for the funeral of the said deceased person. Funeral expenses form employees’ state insurance corporation (regulation 95e) claim arising out of death on _____of _____ s/w/d of. Esic form 22 is known as funeral expenses claim form, this is used to claim funeral expenses of deceased esic member. (rupees.only) on the funeral of the deceased insured person. And that i actually incurred an expenditure of rs. Form 22 for claiming funeral expenses from employees' state insurance corporation. Accordingly, i do hereby claim funeral expenses for the amount of rs. Under employee state insurance scheme the dependents of. Form 22 esic is a medical acceptance card issued by the employees' state insurance corporation (esic) in. Download form 22 esic (funeral expense claim) pdf.
From www.pdffiller.com
Fillable Online Mutual Relief Funeral Expense Form Fax Email Print Funeral Expenses Claim Form 22 Pdf Or ** (ii) that the deceased insured person, whose particulars are furnished. A family/was not living with his family at the time of his/her death and that i actually incurred an expenditure of rs. Under employee state insurance scheme the dependents of. Esic form 22 is known as funeral expenses claim form, this is used to claim funeral expenses of. Funeral Expenses Claim Form 22 Pdf.
From esic-25-form.pdffiller.com
Esic Claim Form Pdf Fill Online, Printable, Fillable, Blank pdfFiller Funeral Expenses Claim Form 22 Pdf Form 22 for claiming funeral expenses from employees' state insurance corporation. A family/was not living with his family at the time of his/her death and that i actually incurred an expenditure of rs. (rupees only) necessary for the funeral of the said deceased person. Or ** (ii) that the deceased insured person, whose particulars are furnished. Form 22 esic is. Funeral Expenses Claim Form 22 Pdf.
From www.formsbank.com
30 Benefit Claim Form Templates free to download in PDF, Word and Excel Funeral Expenses Claim Form 22 Pdf A family/was not living with his family at the time of his/her death and that i actually incurred an expenditure of rs. Funeral expenses form employees’ state insurance corporation (regulation 95e) claim arising out of death on _____of _____ s/w/d of. (rupees only) necessary for the funeral of the said deceased person. Form 22 for claiming funeral expenses from employees'. Funeral Expenses Claim Form 22 Pdf.
From www.docdroid.net
List Of Funeral Expenses Funeral Planningbwxve.pdf.pdf DocDroid Funeral Expenses Claim Form 22 Pdf (rupees only) necessary for the funeral of the said deceased person. Accordingly, i do hereby claim funeral expenses for the amount of rs. Esic form 22 is known as funeral expenses claim form, this is used to claim funeral expenses of deceased esic member. And that i actually incurred an expenditure of rs. Funeral expenses form employees’ state insurance corporation. Funeral Expenses Claim Form 22 Pdf.
From hrmgen.blogspot.com
HR Focal Point ESIC Form22 Funeral Expenses Claim Form Funeral Expenses Claim Form 22 Pdf A family/was not living with his family at the time of his/her death and that i actually incurred an expenditure of rs. Form 22 for claiming funeral expenses from employees' state insurance corporation. Or ** (ii) that the deceased insured person, whose particulars are furnished. Form 22 esic is a medical acceptance card issued by the employees' state insurance corporation. Funeral Expenses Claim Form 22 Pdf.
From www.sampleforms.com
FREE 44+ Expense Forms in PDF MS Word Excel Funeral Expenses Claim Form 22 Pdf Form 22 esic is a medical acceptance card issued by the employees' state insurance corporation (esic) in. Form 22 for claiming funeral expenses from employees' state insurance corporation. Funeral expenses form employees’ state insurance corporation (regulation 95e) claim arising out of death on _____of _____ s/w/d of. (rupees only) necessary for the funeral of the said deceased person. Or **. Funeral Expenses Claim Form 22 Pdf.
From www.pdffiller.com
Fillable Online SF200 Funeral Payment claim form Fax Email Print Funeral Expenses Claim Form 22 Pdf Form 22 esic is a medical acceptance card issued by the employees' state insurance corporation (esic) in. Under employee state insurance scheme the dependents of. And that i actually incurred an expenditure of rs. A family/was not living with his family at the time of his/her death and that i actually incurred an expenditure of rs. Or ** (ii) that. Funeral Expenses Claim Form 22 Pdf.
From www.pdffiller.com
Fillable Online Sss Funeral Claim Form Fill Out and Sign Printable Funeral Expenses Claim Form 22 Pdf Download form 22 esic (funeral expense claim) pdf. Or ** (ii) that the deceased insured person, whose particulars are furnished. Form 22 for claiming funeral expenses from employees' state insurance corporation. Esic form 22 is known as funeral expenses claim form, this is used to claim funeral expenses of deceased esic member. And that i actually incurred an expenditure of. Funeral Expenses Claim Form 22 Pdf.
From www.pdffiller.com
Fillable Online Funeral Expenses Payment claim form GOV.UKGet help Funeral Expenses Claim Form 22 Pdf Under employee state insurance scheme the dependents of. Download form 22 esic (funeral expense claim) pdf. Form 22 esic is a medical acceptance card issued by the employees' state insurance corporation (esic) in. Esic form 22 is known as funeral expenses claim form, this is used to claim funeral expenses of deceased esic member. (rupees.only) on the funeral of the. Funeral Expenses Claim Form 22 Pdf.
From www.pdffiller.com
Fillable Online Esic Form 22 Funeral Expenses Claim Filled Sample Funeral Expenses Claim Form 22 Pdf (rupees only) necessary for the funeral of the said deceased person. Under employee state insurance scheme the dependents of. A family/was not living with his family at the time of his/her death and that i actually incurred an expenditure of rs. And that i actually incurred an expenditure of rs. Accordingly, i do hereby claim funeral expenses for the amount. Funeral Expenses Claim Form 22 Pdf.
From studylib.net
funeral claim form Form to be completed by beneficiary or policy Funeral Expenses Claim Form 22 Pdf Or ** (ii) that the deceased insured person, whose particulars are furnished. Under employee state insurance scheme the dependents of. Form 22 for claiming funeral expenses from employees' state insurance corporation. Esic form 22 is known as funeral expenses claim form, this is used to claim funeral expenses of deceased esic member. A family/was not living with his family at. Funeral Expenses Claim Form 22 Pdf.
From www.scribd.com
Affidavit Funeral Expense Claim PDF Affidavit Document Funeral Expenses Claim Form 22 Pdf Download form 22 esic (funeral expense claim) pdf. Funeral expenses form employees’ state insurance corporation (regulation 95e) claim arising out of death on _____of _____ s/w/d of. Under employee state insurance scheme the dependents of. Form 22 esic is a medical acceptance card issued by the employees' state insurance corporation (esic) in. A family/was not living with his family at. Funeral Expenses Claim Form 22 Pdf.
From www.generalblue.com
Expense Claim Form in PDF (Simple) Funeral Expenses Claim Form 22 Pdf Download form 22 esic (funeral expense claim) pdf. (rupees only) necessary for the funeral of the said deceased person. (rupees.only) on the funeral of the deceased insured person. Esic form 22 is known as funeral expenses claim form, this is used to claim funeral expenses of deceased esic member. Form 22 esic is a medical acceptance card issued by the. Funeral Expenses Claim Form 22 Pdf.
From www.signnow.com
G273a Fillable 20062024 Form Fill Out and Sign Printable PDF Funeral Expenses Claim Form 22 Pdf (rupees only) necessary for the funeral of the said deceased person. Form 22 for claiming funeral expenses from employees' state insurance corporation. Form 22 esic is a medical acceptance card issued by the employees' state insurance corporation (esic) in. Esic form 22 is known as funeral expenses claim form, this is used to claim funeral expenses of deceased esic member.. Funeral Expenses Claim Form 22 Pdf.
From formspal.com
Statement Of Funeral Goods And Services PDF Form FormsPal Funeral Expenses Claim Form 22 Pdf Form 22 esic is a medical acceptance card issued by the employees' state insurance corporation (esic) in. Under employee state insurance scheme the dependents of. (rupees.only) on the funeral of the deceased insured person. And that i actually incurred an expenditure of rs. Download form 22 esic (funeral expense claim) pdf. Form 22 for claiming funeral expenses from employees' state. Funeral Expenses Claim Form 22 Pdf.
From www.deskera.com
An Overview of ESIC Form 22 Funeral Expenses Funeral Expenses Claim Form 22 Pdf Accordingly, i do hereby claim funeral expenses for the amount of rs. Download form 22 esic (funeral expense claim) pdf. Form 22 for claiming funeral expenses from employees' state insurance corporation. Or ** (ii) that the deceased insured person, whose particulars are furnished. (rupees.only) on the funeral of the deceased insured person. Esic form 22 is known as funeral expenses. Funeral Expenses Claim Form 22 Pdf.
From www.studocu.com
RAF claims for funeral expenses The time limit on these claims is Funeral Expenses Claim Form 22 Pdf Or ** (ii) that the deceased insured person, whose particulars are furnished. Esic form 22 is known as funeral expenses claim form, this is used to claim funeral expenses of deceased esic member. (rupees.only) on the funeral of the deceased insured person. Download form 22 esic (funeral expense claim) pdf. (rupees only) necessary for the funeral of the said deceased. Funeral Expenses Claim Form 22 Pdf.
From www.templateroller.com
Form C5 (BWC1108) Download Printable PDF or Fill Online Application Funeral Expenses Claim Form 22 Pdf Under employee state insurance scheme the dependents of. A family/was not living with his family at the time of his/her death and that i actually incurred an expenditure of rs. And that i actually incurred an expenditure of rs. Download form 22 esic (funeral expense claim) pdf. (rupees.only) on the funeral of the deceased insured person. Form 22 esic is. Funeral Expenses Claim Form 22 Pdf.
From www.signnow.com
Sss Death Claim Online Application 20122024 Form Fill Out and Sign Funeral Expenses Claim Form 22 Pdf And that i actually incurred an expenditure of rs. Form 22 for claiming funeral expenses from employees' state insurance corporation. Or ** (ii) that the deceased insured person, whose particulars are furnished. Form 22 esic is a medical acceptance card issued by the employees' state insurance corporation (esic) in. Funeral expenses form employees’ state insurance corporation (regulation 95e) claim arising. Funeral Expenses Claim Form 22 Pdf.
From www.hrcabin.com
ESIC Benefits for Family Members & Eligibility Criteria Funeral Expenses Claim Form 22 Pdf Accordingly, i do hereby claim funeral expenses for the amount of rs. Under employee state insurance scheme the dependents of. Form 22 for claiming funeral expenses from employees' state insurance corporation. Or ** (ii) that the deceased insured person, whose particulars are furnished. Funeral expenses form employees’ state insurance corporation (regulation 95e) claim arising out of death on _____of _____. Funeral Expenses Claim Form 22 Pdf.
From imagetou.com
Funeral Claim Application Form Sample Image to u Funeral Expenses Claim Form 22 Pdf Download form 22 esic (funeral expense claim) pdf. Or ** (ii) that the deceased insured person, whose particulars are furnished. (rupees.only) on the funeral of the deceased insured person. Accordingly, i do hereby claim funeral expenses for the amount of rs. Esic form 22 is known as funeral expenses claim form, this is used to claim funeral expenses of deceased. Funeral Expenses Claim Form 22 Pdf.
From www.pinterest.com
Funeral Home Invoice Template Printable Funeral Bill Forms Funeral Expenses Claim Form 22 Pdf Form 22 esic is a medical acceptance card issued by the employees' state insurance corporation (esic) in. Download form 22 esic (funeral expense claim) pdf. Funeral expenses form employees’ state insurance corporation (regulation 95e) claim arising out of death on _____of _____ s/w/d of. (rupees only) necessary for the funeral of the said deceased person. Esic form 22 is known. Funeral Expenses Claim Form 22 Pdf.
From www.scribd.com
Affidavit of Funeral Expenses PDF Funeral Expenses Claim Form 22 Pdf And that i actually incurred an expenditure of rs. Form 22 esic is a medical acceptance card issued by the employees' state insurance corporation (esic) in. Accordingly, i do hereby claim funeral expenses for the amount of rs. A family/was not living with his family at the time of his/her death and that i actually incurred an expenditure of rs.. Funeral Expenses Claim Form 22 Pdf.
From formspal.com
Funeral Claim Form ≡ Fill Out Printable PDF Forms Online Funeral Expenses Claim Form 22 Pdf Funeral expenses form employees’ state insurance corporation (regulation 95e) claim arising out of death on _____of _____ s/w/d of. Esic form 22 is known as funeral expenses claim form, this is used to claim funeral expenses of deceased esic member. A family/was not living with his family at the time of his/her death and that i actually incurred an expenditure. Funeral Expenses Claim Form 22 Pdf.
From www.templateroller.com
Form RW1130 Fill Out, Sign Online and Download Fillable PDF, Maryland Funeral Expenses Claim Form 22 Pdf (rupees.only) on the funeral of the deceased insured person. Under employee state insurance scheme the dependents of. Funeral expenses form employees’ state insurance corporation (regulation 95e) claim arising out of death on _____of _____ s/w/d of. Esic form 22 is known as funeral expenses claim form, this is used to claim funeral expenses of deceased esic member. And that i. Funeral Expenses Claim Form 22 Pdf.
From doctemplates.us
Expense Claim Form FREE 11+ Sample Travel Expense Claim Forms in MS Funeral Expenses Claim Form 22 Pdf Or ** (ii) that the deceased insured person, whose particulars are furnished. Download form 22 esic (funeral expense claim) pdf. Accordingly, i do hereby claim funeral expenses for the amount of rs. Funeral expenses form employees’ state insurance corporation (regulation 95e) claim arising out of death on _____of _____ s/w/d of. Form 22 for claiming funeral expenses from employees' state. Funeral Expenses Claim Form 22 Pdf.
From www.generalblue.com
Expense Claim Form in Excel (Basic) Funeral Expenses Claim Form 22 Pdf A family/was not living with his family at the time of his/her death and that i actually incurred an expenditure of rs. Form 22 esic is a medical acceptance card issued by the employees' state insurance corporation (esic) in. Accordingly, i do hereby claim funeral expenses for the amount of rs. (rupees only) necessary for the funeral of the said. Funeral Expenses Claim Form 22 Pdf.
From www.yumpu.com
Old Mutual Funeral Claim form Mymgf.co.za Funeral Expenses Claim Form 22 Pdf (rupees only) necessary for the funeral of the said deceased person. And that i actually incurred an expenditure of rs. (rupees.only) on the funeral of the deceased insured person. Download form 22 esic (funeral expense claim) pdf. Or ** (ii) that the deceased insured person, whose particulars are furnished. Esic form 22 is known as funeral expenses claim form, this. Funeral Expenses Claim Form 22 Pdf.
From www.scribd.com
Funeral Claim Form PDF Funeral Expenses Claim Form 22 Pdf Or ** (ii) that the deceased insured person, whose particulars are furnished. Download form 22 esic (funeral expense claim) pdf. (rupees.only) on the funeral of the deceased insured person. Esic form 22 is known as funeral expenses claim form, this is used to claim funeral expenses of deceased esic member. Form 22 esic is a medical acceptance card issued by. Funeral Expenses Claim Form 22 Pdf.
From www.scribd.com
Funeral Expenses Claim Form PDF Funeral Expenses Claim Form 22 Pdf Or ** (ii) that the deceased insured person, whose particulars are furnished. (rupees.only) on the funeral of the deceased insured person. (rupees only) necessary for the funeral of the said deceased person. Form 22 esic is a medical acceptance card issued by the employees' state insurance corporation (esic) in. And that i actually incurred an expenditure of rs. Form 22. Funeral Expenses Claim Form 22 Pdf.
From www.signnow.com
Social Fund Funeral Expenses Payment for an Adult Form Fill Out and Funeral Expenses Claim Form 22 Pdf Or ** (ii) that the deceased insured person, whose particulars are furnished. Download form 22 esic (funeral expense claim) pdf. And that i actually incurred an expenditure of rs. Esic form 22 is known as funeral expenses claim form, this is used to claim funeral expenses of deceased esic member. (rupees only) necessary for the funeral of the said deceased. Funeral Expenses Claim Form 22 Pdf.
From es.scribd.com
AFFIDAVIT of Funeral Expense Template Affidavit Funeral Funeral Expenses Claim Form 22 Pdf (rupees only) necessary for the funeral of the said deceased person. Esic form 22 is known as funeral expenses claim form, this is used to claim funeral expenses of deceased esic member. Or ** (ii) that the deceased insured person, whose particulars are furnished. Funeral expenses form employees’ state insurance corporation (regulation 95e) claim arising out of death on _____of. Funeral Expenses Claim Form 22 Pdf.
From www.sampleforms.com
FREE 7+ Claim Accounting Forms in PDF Funeral Expenses Claim Form 22 Pdf Accordingly, i do hereby claim funeral expenses for the amount of rs. Download form 22 esic (funeral expense claim) pdf. Esic form 22 is known as funeral expenses claim form, this is used to claim funeral expenses of deceased esic member. Funeral expenses form employees’ state insurance corporation (regulation 95e) claim arising out of death on _____of _____ s/w/d of.. Funeral Expenses Claim Form 22 Pdf.
From instapdf.in
Form 22 ESIC (Funeral Expense Claim) PDF InstaPDF Funeral Expenses Claim Form 22 Pdf A family/was not living with his family at the time of his/her death and that i actually incurred an expenditure of rs. Or ** (ii) that the deceased insured person, whose particulars are furnished. (rupees only) necessary for the funeral of the said deceased person. And that i actually incurred an expenditure of rs. Funeral expenses form employees’ state insurance. Funeral Expenses Claim Form 22 Pdf.
From www.pdffiller.com
Funeral Expenses Claim Form Fill Online, Printable, Fillable, Blank Funeral Expenses Claim Form 22 Pdf Esic form 22 is known as funeral expenses claim form, this is used to claim funeral expenses of deceased esic member. And that i actually incurred an expenditure of rs. Under employee state insurance scheme the dependents of. Funeral expenses form employees’ state insurance corporation (regulation 95e) claim arising out of death on _____of _____ s/w/d of. Or ** (ii). Funeral Expenses Claim Form 22 Pdf.