Resistor Capacitor Impedance Calculator . A calculator to calculate the equivalent impedance of a resistor and a capacitor in parallel. An online calculator to calculate the impedance of a capacitor given the capacitance and the frequency. This rlc impedance calculator will help you to determine the impedance formula for rlc, phase difference, and q of rlc circuit for a given sinusoidal signal frequency. Capacitor and resistor in series calculator. Our capacitive reactance calculator helps you determine the impedance of a capacitor if its capacitance value (c) and the frequency of the. This calculator finds the complex impedance (real and imaginary values) of a. The calculator gives the impedance as a complex number in standard form and polar forms. A calculator to calculate the equivalent impedance of a resistor and a capacitor in series. This function calculates the voltages, powers, currents, impedance and reactance of a series circuit consisting of a resistor and a capacitor. The calculator gives the impedance as a complex.
from blog.adafruit.com
This function calculates the voltages, powers, currents, impedance and reactance of a series circuit consisting of a resistor and a capacitor. This calculator finds the complex impedance (real and imaginary values) of a. The calculator gives the impedance as a complex number in standard form and polar forms. Capacitor and resistor in series calculator. This rlc impedance calculator will help you to determine the impedance formula for rlc, phase difference, and q of rlc circuit for a given sinusoidal signal frequency. The calculator gives the impedance as a complex. Our capacitive reactance calculator helps you determine the impedance of a capacitor if its capacitance value (c) and the frequency of the. An online calculator to calculate the impedance of a capacitor given the capacitance and the frequency. A calculator to calculate the equivalent impedance of a resistor and a capacitor in series. A calculator to calculate the equivalent impedance of a resistor and a capacitor in parallel.
A simple point and click webbased resistor/SMD/capacitor chart EE
Resistor Capacitor Impedance Calculator This function calculates the voltages, powers, currents, impedance and reactance of a series circuit consisting of a resistor and a capacitor. This rlc impedance calculator will help you to determine the impedance formula for rlc, phase difference, and q of rlc circuit for a given sinusoidal signal frequency. A calculator to calculate the equivalent impedance of a resistor and a capacitor in parallel. Our capacitive reactance calculator helps you determine the impedance of a capacitor if its capacitance value (c) and the frequency of the. The calculator gives the impedance as a complex number in standard form and polar forms. An online calculator to calculate the impedance of a capacitor given the capacitance and the frequency. This function calculates the voltages, powers, currents, impedance and reactance of a series circuit consisting of a resistor and a capacitor. This calculator finds the complex impedance (real and imaginary values) of a. A calculator to calculate the equivalent impedance of a resistor and a capacitor in series. The calculator gives the impedance as a complex. Capacitor and resistor in series calculator.
From getcalc.com
RLC Circuit Equivalent Impedance Calculator Resistor Capacitor Impedance Calculator This rlc impedance calculator will help you to determine the impedance formula for rlc, phase difference, and q of rlc circuit for a given sinusoidal signal frequency. The calculator gives the impedance as a complex number in standard form and polar forms. This calculator finds the complex impedance (real and imaginary values) of a. A calculator to calculate the equivalent. Resistor Capacitor Impedance Calculator.
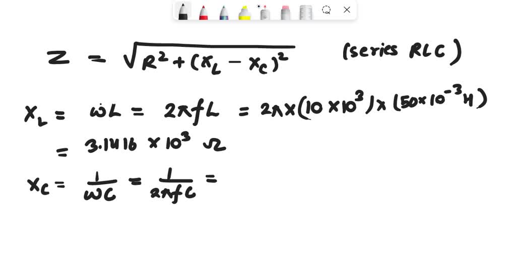
From electrical-information.com
RC Parallel Circuit (Impedance, Phasor Diagram) Electrical Information Resistor Capacitor Impedance Calculator Capacitor and resistor in series calculator. The calculator gives the impedance as a complex number in standard form and polar forms. A calculator to calculate the equivalent impedance of a resistor and a capacitor in series. Our capacitive reactance calculator helps you determine the impedance of a capacitor if its capacitance value (c) and the frequency of the. This rlc. Resistor Capacitor Impedance Calculator.
From getcalc.com
RLC Circuit Equivalent Impedance Calculator Resistor Capacitor Impedance Calculator This rlc impedance calculator will help you to determine the impedance formula for rlc, phase difference, and q of rlc circuit for a given sinusoidal signal frequency. The calculator gives the impedance as a complex. An online calculator to calculate the impedance of a capacitor given the capacitance and the frequency. A calculator to calculate the equivalent impedance of a. Resistor Capacitor Impedance Calculator.
From electricalacademia.com
Capacitor Charging Equation RC Circuit Charging Matlab Electrical Resistor Capacitor Impedance Calculator A calculator to calculate the equivalent impedance of a resistor and a capacitor in parallel. A calculator to calculate the equivalent impedance of a resistor and a capacitor in series. This function calculates the voltages, powers, currents, impedance and reactance of a series circuit consisting of a resistor and a capacitor. An online calculator to calculate the impedance of a. Resistor Capacitor Impedance Calculator.
From www.inchcalculator.com
Resistor Capacitor Circuit Calculator Inch Calculator Resistor Capacitor Impedance Calculator This calculator finds the complex impedance (real and imaginary values) of a. Capacitor and resistor in series calculator. A calculator to calculate the equivalent impedance of a resistor and a capacitor in parallel. This function calculates the voltages, powers, currents, impedance and reactance of a series circuit consisting of a resistor and a capacitor. The calculator gives the impedance as. Resistor Capacitor Impedance Calculator.
From tyredping.weebly.com
Resistance physics calculator tyredping Resistor Capacitor Impedance Calculator A calculator to calculate the equivalent impedance of a resistor and a capacitor in parallel. Our capacitive reactance calculator helps you determine the impedance of a capacitor if its capacitance value (c) and the frequency of the. A calculator to calculate the equivalent impedance of a resistor and a capacitor in series. An online calculator to calculate the impedance of. Resistor Capacitor Impedance Calculator.
From blog.adafruit.com
A simple point and click webbased resistor/SMD/capacitor chart EE Resistor Capacitor Impedance Calculator Our capacitive reactance calculator helps you determine the impedance of a capacitor if its capacitance value (c) and the frequency of the. The calculator gives the impedance as a complex number in standard form and polar forms. An online calculator to calculate the impedance of a capacitor given the capacitance and the frequency. A calculator to calculate the equivalent impedance. Resistor Capacitor Impedance Calculator.
From electricalacademia.com
AC Capacitor Circuits Capacitive Reactance And Impedance Resistor Capacitor Impedance Calculator This calculator finds the complex impedance (real and imaginary values) of a. A calculator to calculate the equivalent impedance of a resistor and a capacitor in series. This function calculates the voltages, powers, currents, impedance and reactance of a series circuit consisting of a resistor and a capacitor. This rlc impedance calculator will help you to determine the impedance formula. Resistor Capacitor Impedance Calculator.
From www.youtube.com
AC Circuit Resistor and a Capacitor in series YouTube Resistor Capacitor Impedance Calculator Our capacitive reactance calculator helps you determine the impedance of a capacitor if its capacitance value (c) and the frequency of the. This rlc impedance calculator will help you to determine the impedance formula for rlc, phase difference, and q of rlc circuit for a given sinusoidal signal frequency. An online calculator to calculate the impedance of a capacitor given. Resistor Capacitor Impedance Calculator.
From www.youtube.com
34 Impedance of an AC Circuit Part 1 Purely Resistive(R), Inductive Resistor Capacitor Impedance Calculator Capacitor and resistor in series calculator. This rlc impedance calculator will help you to determine the impedance formula for rlc, phase difference, and q of rlc circuit for a given sinusoidal signal frequency. The calculator gives the impedance as a complex number in standard form and polar forms. A calculator to calculate the equivalent impedance of a resistor and a. Resistor Capacitor Impedance Calculator.
From wiring.ekocraft-appleleaf.com
How To Calculate Equivalent Capacitance Of A Complex Circuit Wiring Resistor Capacitor Impedance Calculator An online calculator to calculate the impedance of a capacitor given the capacitance and the frequency. A calculator to calculate the equivalent impedance of a resistor and a capacitor in parallel. This calculator finds the complex impedance (real and imaginary values) of a. This function calculates the voltages, powers, currents, impedance and reactance of a series circuit consisting of a. Resistor Capacitor Impedance Calculator.
From www.sabelectronic.com
Resistor Calculator with Graphical Chart Resistor Capacitor Impedance Calculator The calculator gives the impedance as a complex number in standard form and polar forms. The calculator gives the impedance as a complex. Capacitor and resistor in series calculator. A calculator to calculate the equivalent impedance of a resistor and a capacitor in series. This function calculates the voltages, powers, currents, impedance and reactance of a series circuit consisting of. Resistor Capacitor Impedance Calculator.
From www.chegg.com
Solved The Circuit Shown In Figure P 13.47 Represents A Resistor Capacitor Impedance Calculator An online calculator to calculate the impedance of a capacitor given the capacitance and the frequency. This rlc impedance calculator will help you to determine the impedance formula for rlc, phase difference, and q of rlc circuit for a given sinusoidal signal frequency. This function calculates the voltages, powers, currents, impedance and reactance of a series circuit consisting of a. Resistor Capacitor Impedance Calculator.
From dialectemarocain.blogspot.com
Measure The Resistance Of A Capacitor Resistor Capacitor Impedance Calculator Capacitor and resistor in series calculator. A calculator to calculate the equivalent impedance of a resistor and a capacitor in parallel. This rlc impedance calculator will help you to determine the impedance formula for rlc, phase difference, and q of rlc circuit for a given sinusoidal signal frequency. This calculator finds the complex impedance (real and imaginary values) of a.. Resistor Capacitor Impedance Calculator.
From martinejonah.blogspot.com
10+ Capacitor Reactance Calculator MartineJonah Resistor Capacitor Impedance Calculator An online calculator to calculate the impedance of a capacitor given the capacitance and the frequency. This calculator finds the complex impedance (real and imaginary values) of a. The calculator gives the impedance as a complex number in standard form and polar forms. The calculator gives the impedance as a complex. Capacitor and resistor in series calculator. A calculator to. Resistor Capacitor Impedance Calculator.
From exohryuql.blob.core.windows.net
Capacitor And Inductor Impedance Calculator at Bessie Hemby blog Resistor Capacitor Impedance Calculator This calculator finds the complex impedance (real and imaginary values) of a. A calculator to calculate the equivalent impedance of a resistor and a capacitor in parallel. The calculator gives the impedance as a complex. This function calculates the voltages, powers, currents, impedance and reactance of a series circuit consisting of a resistor and a capacitor. The calculator gives the. Resistor Capacitor Impedance Calculator.
From www.flux.ai
Parallel and Series Resistor Calculator Resistor Capacitor Impedance Calculator The calculator gives the impedance as a complex number in standard form and polar forms. A calculator to calculate the equivalent impedance of a resistor and a capacitor in series. This rlc impedance calculator will help you to determine the impedance formula for rlc, phase difference, and q of rlc circuit for a given sinusoidal signal frequency. Our capacitive reactance. Resistor Capacitor Impedance Calculator.
From www.youtube.com
AC series RC circuit Impedance, current, phase angle and power factor Resistor Capacitor Impedance Calculator An online calculator to calculate the impedance of a capacitor given the capacitance and the frequency. This calculator finds the complex impedance (real and imaginary values) of a. A calculator to calculate the equivalent impedance of a resistor and a capacitor in series. Our capacitive reactance calculator helps you determine the impedance of a capacitor if its capacitance value (c). Resistor Capacitor Impedance Calculator.
From www.numerade.com
SOLVED Calculate the input impedance of a circuit containing a Resistor Capacitor Impedance Calculator Capacitor and resistor in series calculator. A calculator to calculate the equivalent impedance of a resistor and a capacitor in series. The calculator gives the impedance as a complex number in standard form and polar forms. This rlc impedance calculator will help you to determine the impedance formula for rlc, phase difference, and q of rlc circuit for a given. Resistor Capacitor Impedance Calculator.
From appadvice.com
RLC Calc Resistance Inductance Capacitor Calculator by Sreeprakash Resistor Capacitor Impedance Calculator This function calculates the voltages, powers, currents, impedance and reactance of a series circuit consisting of a resistor and a capacitor. A calculator to calculate the equivalent impedance of a resistor and a capacitor in parallel. This rlc impedance calculator will help you to determine the impedance formula for rlc, phase difference, and q of rlc circuit for a given. Resistor Capacitor Impedance Calculator.
From ar.inspiredpencil.com
Capacitance Equation With Resistance Resistor Capacitor Impedance Calculator The calculator gives the impedance as a complex. Capacitor and resistor in series calculator. The calculator gives the impedance as a complex number in standard form and polar forms. This function calculates the voltages, powers, currents, impedance and reactance of a series circuit consisting of a resistor and a capacitor. This calculator finds the complex impedance (real and imaginary values). Resistor Capacitor Impedance Calculator.
From www.electronicsforu.com
Capacitor Impedance Calculator Free Online Calculator Resistor Capacitor Impedance Calculator A calculator to calculate the equivalent impedance of a resistor and a capacitor in series. Our capacitive reactance calculator helps you determine the impedance of a capacitor if its capacitance value (c) and the frequency of the. An online calculator to calculate the impedance of a capacitor given the capacitance and the frequency. A calculator to calculate the equivalent impedance. Resistor Capacitor Impedance Calculator.
From antonioricco-it.blogspot.com
☑ Impedance Of Resistor And Capacitor In Parallel Resistor Capacitor Impedance Calculator This calculator finds the complex impedance (real and imaginary values) of a. Capacitor and resistor in series calculator. An online calculator to calculate the impedance of a capacitor given the capacitance and the frequency. A calculator to calculate the equivalent impedance of a resistor and a capacitor in series. A calculator to calculate the equivalent impedance of a resistor and. Resistor Capacitor Impedance Calculator.
From www.numerade.com
SOLVED A resistor of 25Ω is connected in series with a capacitor of Resistor Capacitor Impedance Calculator Capacitor and resistor in series calculator. An online calculator to calculate the impedance of a capacitor given the capacitance and the frequency. The calculator gives the impedance as a complex. A calculator to calculate the equivalent impedance of a resistor and a capacitor in series. This function calculates the voltages, powers, currents, impedance and reactance of a series circuit consisting. Resistor Capacitor Impedance Calculator.
From 3roam.com
Total Resistance Calculator Resistor Capacitor Impedance Calculator Our capacitive reactance calculator helps you determine the impedance of a capacitor if its capacitance value (c) and the frequency of the. The calculator gives the impedance as a complex. Capacitor and resistor in series calculator. This rlc impedance calculator will help you to determine the impedance formula for rlc, phase difference, and q of rlc circuit for a given. Resistor Capacitor Impedance Calculator.
From www.youtube.com
Impedance Resistance Capacitance Inductance YouTube Resistor Capacitor Impedance Calculator Capacitor and resistor in series calculator. The calculator gives the impedance as a complex. A calculator to calculate the equivalent impedance of a resistor and a capacitor in series. This function calculates the voltages, powers, currents, impedance and reactance of a series circuit consisting of a resistor and a capacitor. An online calculator to calculate the impedance of a capacitor. Resistor Capacitor Impedance Calculator.
From solderingmind.com
Parallel Resistor Calculator Resistor Capacitor Impedance Calculator A calculator to calculate the equivalent impedance of a resistor and a capacitor in parallel. An online calculator to calculate the impedance of a capacitor given the capacitance and the frequency. Capacitor and resistor in series calculator. This calculator finds the complex impedance (real and imaginary values) of a. This rlc impedance calculator will help you to determine the impedance. Resistor Capacitor Impedance Calculator.
From jibranraylie.blogspot.com
28+ Capacitor Impedance Calculator JibranRaylie Resistor Capacitor Impedance Calculator This function calculates the voltages, powers, currents, impedance and reactance of a series circuit consisting of a resistor and a capacitor. A calculator to calculate the equivalent impedance of a resistor and a capacitor in series. An online calculator to calculate the impedance of a capacitor given the capacitance and the frequency. This calculator finds the complex impedance (real and. Resistor Capacitor Impedance Calculator.
From www.youtube.com
Capacitive Reactance, Impedance, Power Factor, AC Circuits, Physics Resistor Capacitor Impedance Calculator The calculator gives the impedance as a complex number in standard form and polar forms. This function calculates the voltages, powers, currents, impedance and reactance of a series circuit consisting of a resistor and a capacitor. A calculator to calculate the equivalent impedance of a resistor and a capacitor in parallel. An online calculator to calculate the impedance of a. Resistor Capacitor Impedance Calculator.
From eepower.com
Current Limiting Resistor Calculator Power Electronics Calculators Resistor Capacitor Impedance Calculator This rlc impedance calculator will help you to determine the impedance formula for rlc, phase difference, and q of rlc circuit for a given sinusoidal signal frequency. A calculator to calculate the equivalent impedance of a resistor and a capacitor in parallel. The calculator gives the impedance as a complex. Our capacitive reactance calculator helps you determine the impedance of. Resistor Capacitor Impedance Calculator.
From www.electronic-circuit.net
Resistor Calculator simple electronics Resistor Capacitor Impedance Calculator The calculator gives the impedance as a complex number in standard form and polar forms. This calculator finds the complex impedance (real and imaginary values) of a. A calculator to calculate the equivalent impedance of a resistor and a capacitor in series. Our capacitive reactance calculator helps you determine the impedance of a capacitor if its capacitance value (c) and. Resistor Capacitor Impedance Calculator.
From itecnotes.com
Capacitor ESR How to Calculate Valuable Tech Notes Resistor Capacitor Impedance Calculator This rlc impedance calculator will help you to determine the impedance formula for rlc, phase difference, and q of rlc circuit for a given sinusoidal signal frequency. Capacitor and resistor in series calculator. An online calculator to calculate the impedance of a capacitor given the capacitance and the frequency. A calculator to calculate the equivalent impedance of a resistor and. Resistor Capacitor Impedance Calculator.
From aleehyanah.blogspot.com
Capacitor Impedance Frequency Calculator Resistor Capacitor Impedance Calculator The calculator gives the impedance as a complex. This function calculates the voltages, powers, currents, impedance and reactance of a series circuit consisting of a resistor and a capacitor. An online calculator to calculate the impedance of a capacitor given the capacitance and the frequency. Capacitor and resistor in series calculator. The calculator gives the impedance as a complex number. Resistor Capacitor Impedance Calculator.
From www.allaboutcircuits.com
Capacitor Impedance Calculator Electrical Engineering & Electronics Tools Resistor Capacitor Impedance Calculator Capacitor and resistor in series calculator. This calculator finds the complex impedance (real and imaginary values) of a. This function calculates the voltages, powers, currents, impedance and reactance of a series circuit consisting of a resistor and a capacitor. The calculator gives the impedance as a complex number in standard form and polar forms. The calculator gives the impedance as. Resistor Capacitor Impedance Calculator.
From www.electrical-blog.com
A Brief Introduction On Resistance, Inductance, and Capacitance Resistor Capacitor Impedance Calculator Our capacitive reactance calculator helps you determine the impedance of a capacitor if its capacitance value (c) and the frequency of the. Capacitor and resistor in series calculator. This rlc impedance calculator will help you to determine the impedance formula for rlc, phase difference, and q of rlc circuit for a given sinusoidal signal frequency. A calculator to calculate the. Resistor Capacitor Impedance Calculator.