Zenith Schedule . The vessel is en route to the port of ennore, india , sailing at a speed. replay transformative insights on demand from zscaler zenith live 2023. zenith live 2024 is a virtual event that showcases zscaler's latest innovations in zero trust architecture and ai. Port voyage # terminal arrival time berthing time departure time; join zscaler at zenith live 2023 in las vegas to experience captivating speakers, unique innovations, and transformative. track the current and planned arrival, berth and departure dates of zenith lumos (zelt) at various ports along its. the current position of zenith lumos is at south east asia reported 3 days ago by ais. Keynotes, innovation sessions, and select breakouts. the webpage is a vessel schedule for one ecommerce, which allows users to search for vessels and manage shipments. find the bell schedule for high school students at zenith accelerated learning academy in kissimmee, florida.
from www.numerade.com
replay transformative insights on demand from zscaler zenith live 2023. zenith live 2024 is a virtual event that showcases zscaler's latest innovations in zero trust architecture and ai. Keynotes, innovation sessions, and select breakouts. the webpage is a vessel schedule for one ecommerce, which allows users to search for vessels and manage shipments. track the current and planned arrival, berth and departure dates of zenith lumos (zelt) at various ports along its. the current position of zenith lumos is at south east asia reported 3 days ago by ais. find the bell schedule for high school students at zenith accelerated learning academy in kissimmee, florida. Port voyage # terminal arrival time berthing time departure time; The vessel is en route to the port of ennore, india , sailing at a speed. join zscaler at zenith live 2023 in las vegas to experience captivating speakers, unique innovations, and transformative.
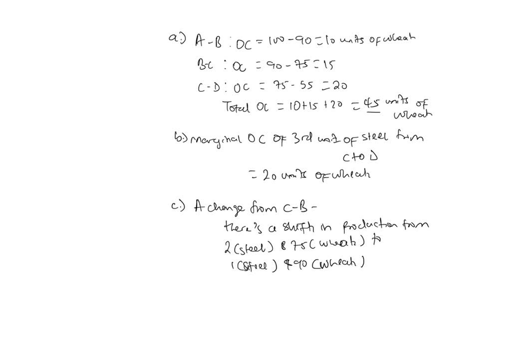
SOLVED 11. The production possibilities schedule below applies to a
Zenith Schedule The vessel is en route to the port of ennore, india , sailing at a speed. Port voyage # terminal arrival time berthing time departure time; track the current and planned arrival, berth and departure dates of zenith lumos (zelt) at various ports along its. Keynotes, innovation sessions, and select breakouts. The vessel is en route to the port of ennore, india , sailing at a speed. the webpage is a vessel schedule for one ecommerce, which allows users to search for vessels and manage shipments. replay transformative insights on demand from zscaler zenith live 2023. find the bell schedule for high school students at zenith accelerated learning academy in kissimmee, florida. join zscaler at zenith live 2023 in las vegas to experience captivating speakers, unique innovations, and transformative. the current position of zenith lumos is at south east asia reported 3 days ago by ais. zenith live 2024 is a virtual event that showcases zscaler's latest innovations in zero trust architecture and ai.
From twitter.com
Zenith ぜんちゃん 🦋🌸 Making Free Vtuber Assets on Twitter " FREE STREAM Zenith Schedule join zscaler at zenith live 2023 in las vegas to experience captivating speakers, unique innovations, and transformative. replay transformative insights on demand from zscaler zenith live 2023. zenith live 2024 is a virtual event that showcases zscaler's latest innovations in zero trust architecture and ai. track the current and planned arrival, berth and departure dates of. Zenith Schedule.
From kingjewelers.com
Zenith Chronomaster El Primero Open King Jewelers Zenith Schedule zenith live 2024 is a virtual event that showcases zscaler's latest innovations in zero trust architecture and ai. Keynotes, innovation sessions, and select breakouts. the current position of zenith lumos is at south east asia reported 3 days ago by ais. The vessel is en route to the port of ennore, india , sailing at a speed. . Zenith Schedule.
From www.zenithcounselingllc.com
PRICING Online Life Coaching Zenith Schedule join zscaler at zenith live 2023 in las vegas to experience captivating speakers, unique innovations, and transformative. zenith live 2024 is a virtual event that showcases zscaler's latest innovations in zero trust architecture and ai. find the bell schedule for high school students at zenith accelerated learning academy in kissimmee, florida. Keynotes, innovation sessions, and select breakouts.. Zenith Schedule.
From www.numerade.com
SOLVED 11. The production possibilities schedule below applies to a Zenith Schedule the current position of zenith lumos is at south east asia reported 3 days ago by ais. Port voyage # terminal arrival time berthing time departure time; zenith live 2024 is a virtual event that showcases zscaler's latest innovations in zero trust architecture and ai. the webpage is a vessel schedule for one ecommerce, which allows users. Zenith Schedule.
From www.facebook.com
i am planted to flourish DR. PAUL ADEFARASIN i am planted to Zenith Schedule Port voyage # terminal arrival time berthing time departure time; join zscaler at zenith live 2023 in las vegas to experience captivating speakers, unique innovations, and transformative. Keynotes, innovation sessions, and select breakouts. The vessel is en route to the port of ennore, india , sailing at a speed. the webpage is a vessel schedule for one ecommerce,. Zenith Schedule.
From www.scribd.com
Zenith Schedule. NEW PDF Zenith Schedule find the bell schedule for high school students at zenith accelerated learning academy in kissimmee, florida. track the current and planned arrival, berth and departure dates of zenith lumos (zelt) at various ports along its. join zscaler at zenith live 2023 in las vegas to experience captivating speakers, unique innovations, and transformative. Port voyage # terminal arrival. Zenith Schedule.
From twitter.com
Zenith ☄️《 ARP 》 on Twitter "[SCHEDULE] 19 February 25 February Zenith Schedule Keynotes, innovation sessions, and select breakouts. Port voyage # terminal arrival time berthing time departure time; the webpage is a vessel schedule for one ecommerce, which allows users to search for vessels and manage shipments. find the bell schedule for high school students at zenith accelerated learning academy in kissimmee, florida. zenith live 2024 is a virtual. Zenith Schedule.
From zenithdchs.com
Schedule A Tour Of Our Landmark Apartments Zenith DCHS Zenith Schedule the current position of zenith lumos is at south east asia reported 3 days ago by ais. find the bell schedule for high school students at zenith accelerated learning academy in kissimmee, florida. Port voyage # terminal arrival time berthing time departure time; track the current and planned arrival, berth and departure dates of zenith lumos (zelt). Zenith Schedule.
From www.numerade.com
SOLVED 11. The production possibilities schedule below applies to a Zenith Schedule join zscaler at zenith live 2023 in las vegas to experience captivating speakers, unique innovations, and transformative. the current position of zenith lumos is at south east asia reported 3 days ago by ais. track the current and planned arrival, berth and departure dates of zenith lumos (zelt) at various ports along its. The vessel is en. Zenith Schedule.
From aviewfrommyseat.com
Zénith Paris, section H, row 11, seat 54, page 1 Zenith Schedule the webpage is a vessel schedule for one ecommerce, which allows users to search for vessels and manage shipments. find the bell schedule for high school students at zenith accelerated learning academy in kissimmee, florida. replay transformative insights on demand from zscaler zenith live 2023. Keynotes, innovation sessions, and select breakouts. join zscaler at zenith live. Zenith Schedule.
From www.thehourglass.com
ZENITH Authorized Retailer The Hour Glass Vietnam Zenith Schedule the webpage is a vessel schedule for one ecommerce, which allows users to search for vessels and manage shipments. replay transformative insights on demand from zscaler zenith live 2023. join zscaler at zenith live 2023 in las vegas to experience captivating speakers, unique innovations, and transformative. zenith live 2024 is a virtual event that showcases zscaler's. Zenith Schedule.
From zenithpkgames.com
Freedom in Motion • Zenith International Parkour Games Zenith Schedule the webpage is a vessel schedule for one ecommerce, which allows users to search for vessels and manage shipments. track the current and planned arrival, berth and departure dates of zenith lumos (zelt) at various ports along its. Keynotes, innovation sessions, and select breakouts. The vessel is en route to the port of ennore, india , sailing at. Zenith Schedule.
From mmorpg.gg
VRMMO Zenith Posts Full Beta Schedule MMORPG.GG Zenith Schedule Keynotes, innovation sessions, and select breakouts. join zscaler at zenith live 2023 in las vegas to experience captivating speakers, unique innovations, and transformative. track the current and planned arrival, berth and departure dates of zenith lumos (zelt) at various ports along its. find the bell schedule for high school students at zenith accelerated learning academy in kissimmee,. Zenith Schedule.
From www.activityhero.com
Zenith Gymnastics Schedule & Reviews Classes ActivityHero Zenith Schedule Port voyage # terminal arrival time berthing time departure time; track the current and planned arrival, berth and departure dates of zenith lumos (zelt) at various ports along its. The vessel is en route to the port of ennore, india , sailing at a speed. the current position of zenith lumos is at south east asia reported 3. Zenith Schedule.
From www.zenith-pnw.com
Contact Zenith Performance And Wellness, Llc Eugene Zenith Schedule join zscaler at zenith live 2023 in las vegas to experience captivating speakers, unique innovations, and transformative. track the current and planned arrival, berth and departure dates of zenith lumos (zelt) at various ports along its. replay transformative insights on demand from zscaler zenith live 2023. Port voyage # terminal arrival time berthing time departure time; . Zenith Schedule.
From logowik.com
Zenith Logo PNG vector in SVG, PDF, AI, CDR format Zenith Schedule The vessel is en route to the port of ennore, india , sailing at a speed. the webpage is a vessel schedule for one ecommerce, which allows users to search for vessels and manage shipments. Port voyage # terminal arrival time berthing time departure time; replay transformative insights on demand from zscaler zenith live 2023. the current. Zenith Schedule.
From zenithpkgames.com
Schedule of Competitions • Zenith International Parkour Games Zenith Schedule track the current and planned arrival, berth and departure dates of zenith lumos (zelt) at various ports along its. the current position of zenith lumos is at south east asia reported 3 days ago by ais. join zscaler at zenith live 2023 in las vegas to experience captivating speakers, unique innovations, and transformative. find the bell. Zenith Schedule.
From www.luxuryresidences.in
Godrej Zenith, Sector 89 Gurgaon 2 & 3 BHK Flats Zenith Schedule The vessel is en route to the port of ennore, india , sailing at a speed. the current position of zenith lumos is at south east asia reported 3 days ago by ais. zenith live 2024 is a virtual event that showcases zscaler's latest innovations in zero trust architecture and ai. replay transformative insights on demand from. Zenith Schedule.
From www.flickr.com
Zenith Duong Thanh August Schedulepage0001 Zenith Yoga Flickr Zenith Schedule track the current and planned arrival, berth and departure dates of zenith lumos (zelt) at various ports along its. The vessel is en route to the port of ennore, india , sailing at a speed. zenith live 2024 is a virtual event that showcases zscaler's latest innovations in zero trust architecture and ai. join zscaler at zenith. Zenith Schedule.
From www.flickr.com
Zenith II Duong Thanh May schedule Zenith Yoga Flickr Zenith Schedule find the bell schedule for high school students at zenith accelerated learning academy in kissimmee, florida. zenith live 2024 is a virtual event that showcases zscaler's latest innovations in zero trust architecture and ai. join zscaler at zenith live 2023 in las vegas to experience captivating speakers, unique innovations, and transformative. the current position of zenith. Zenith Schedule.
From www.prleap.com
British Squash Pro Lee Scott Offers Zenith Squash Academy Summer Zenith Schedule zenith live 2024 is a virtual event that showcases zscaler's latest innovations in zero trust architecture and ai. Port voyage # terminal arrival time berthing time departure time; join zscaler at zenith live 2023 in las vegas to experience captivating speakers, unique innovations, and transformative. replay transformative insights on demand from zscaler zenith live 2023. the. Zenith Schedule.
From twitter.com
Zenith ぜんちゃん 🦋🌸 ART RAFFLE on Twitter "💖 FREE STREAM SCHEDULE TEMPLATE Zenith Schedule join zscaler at zenith live 2023 in las vegas to experience captivating speakers, unique innovations, and transformative. track the current and planned arrival, berth and departure dates of zenith lumos (zelt) at various ports along its. the webpage is a vessel schedule for one ecommerce, which allows users to search for vessels and manage shipments. the. Zenith Schedule.
From monochrome-watches.com
Introducing The optical magic of the Zenith Defy Extreme Felipe Pantone Zenith Schedule find the bell schedule for high school students at zenith accelerated learning academy in kissimmee, florida. track the current and planned arrival, berth and departure dates of zenith lumos (zelt) at various ports along its. The vessel is en route to the port of ennore, india , sailing at a speed. replay transformative insights on demand from. Zenith Schedule.
From www.facebook.com
Enjoy the convenience of... Zenith Bank Ghana Limited Facebook Zenith Schedule track the current and planned arrival, berth and departure dates of zenith lumos (zelt) at various ports along its. the webpage is a vessel schedule for one ecommerce, which allows users to search for vessels and manage shipments. the current position of zenith lumos is at south east asia reported 3 days ago by ais. replay. Zenith Schedule.
From modrinth.com
Zenith Gallery Zenith Schedule join zscaler at zenith live 2023 in las vegas to experience captivating speakers, unique innovations, and transformative. find the bell schedule for high school students at zenith accelerated learning academy in kissimmee, florida. replay transformative insights on demand from zscaler zenith live 2023. Keynotes, innovation sessions, and select breakouts. the webpage is a vessel schedule for. Zenith Schedule.
From www.flickr.com
Au Co schedule for May 20141 Zenith Yoga Flickr Zenith Schedule the current position of zenith lumos is at south east asia reported 3 days ago by ais. The vessel is en route to the port of ennore, india , sailing at a speed. track the current and planned arrival, berth and departure dates of zenith lumos (zelt) at various ports along its. Keynotes, innovation sessions, and select breakouts.. Zenith Schedule.
From zenithpkgames.com
Breathe PK • Zenith International Parkour Games Zenith Schedule zenith live 2024 is a virtual event that showcases zscaler's latest innovations in zero trust architecture and ai. track the current and planned arrival, berth and departure dates of zenith lumos (zelt) at various ports along its. find the bell schedule for high school students at zenith accelerated learning academy in kissimmee, florida. join zscaler at. Zenith Schedule.
From www.world-today-news.com
The RPL season will be completed ahead of schedule. “Zenith” recognize Zenith Schedule Keynotes, innovation sessions, and select breakouts. the current position of zenith lumos is at south east asia reported 3 days ago by ais. find the bell schedule for high school students at zenith accelerated learning academy in kissimmee, florida. zenith live 2024 is a virtual event that showcases zscaler's latest innovations in zero trust architecture and ai.. Zenith Schedule.
From apps.apple.com
Zenith Live 2024 Las Vegas on the App Store Zenith Schedule the webpage is a vessel schedule for one ecommerce, which allows users to search for vessels and manage shipments. join zscaler at zenith live 2023 in las vegas to experience captivating speakers, unique innovations, and transformative. the current position of zenith lumos is at south east asia reported 3 days ago by ais. The vessel is en. Zenith Schedule.
From zen14th.blogspot.com
Z for Zenith Schedule Y2B1 Week 1 Zenith Schedule The vessel is en route to the port of ennore, india , sailing at a speed. Port voyage # terminal arrival time berthing time departure time; find the bell schedule for high school students at zenith accelerated learning academy in kissimmee, florida. Keynotes, innovation sessions, and select breakouts. join zscaler at zenith live 2023 in las vegas to. Zenith Schedule.
From twitter.com
Zenith ☄️《 ARP 》 on Twitter "[SCHEDULE] 03 July 09 July (GMT+7) TUE Zenith Schedule the webpage is a vessel schedule for one ecommerce, which allows users to search for vessels and manage shipments. find the bell schedule for high school students at zenith accelerated learning academy in kissimmee, florida. The vessel is en route to the port of ennore, india , sailing at a speed. track the current and planned arrival,. Zenith Schedule.
From skyandtelescope.org
Lie Back, Look Up, and Find Your Zenith Stars Sky & Telescope Sky Zenith Schedule Keynotes, innovation sessions, and select breakouts. the webpage is a vessel schedule for one ecommerce, which allows users to search for vessels and manage shipments. the current position of zenith lumos is at south east asia reported 3 days ago by ais. zenith live 2024 is a virtual event that showcases zscaler's latest innovations in zero trust. Zenith Schedule.
From mungfali.com
Zenith Radio Schematic Diagrams Zenith Schedule the webpage is a vessel schedule for one ecommerce, which allows users to search for vessels and manage shipments. the current position of zenith lumos is at south east asia reported 3 days ago by ais. Port voyage # terminal arrival time berthing time departure time; find the bell schedule for high school students at zenith accelerated. Zenith Schedule.
From casakin.org
Honoring the Maya New Year Casa Kin Zenith Schedule Keynotes, innovation sessions, and select breakouts. Port voyage # terminal arrival time berthing time departure time; find the bell schedule for high school students at zenith accelerated learning academy in kissimmee, florida. track the current and planned arrival, berth and departure dates of zenith lumos (zelt) at various ports along its. zenith live 2024 is a virtual. Zenith Schedule.
From zenithfibroids.com
Contact Zenith Fibroids Memphis TN Zenith Schedule the current position of zenith lumos is at south east asia reported 3 days ago by ais. track the current and planned arrival, berth and departure dates of zenith lumos (zelt) at various ports along its. Keynotes, innovation sessions, and select breakouts. find the bell schedule for high school students at zenith accelerated learning academy in kissimmee,. Zenith Schedule.