Cary Ms Population . We can look at the total population. 222 (0% urban, 100% rural). — based on the latest 2024 data from the us census, the current population of cary is 238. census data for cary, ms (pop. cary (sharkey, mississippi, usa) with population statistics, charts, map, location, weather and web information. the current population of cary, mississippi is 237 based on our projections of the latest us census estimates (released may 2024). Cary, mississippi is the 15,934th largest city in. 414), including age, race, sex, income, poverty, marital status, education and more. in 2022, cary, ms had a population of 414 people with a median age of 26 and a median household income of $40,000. the estimated population of cary, mississippi is 417 people, with a median age of 29.9.
from www.neilsberg.com
the current population of cary, mississippi is 237 based on our projections of the latest us census estimates (released may 2024). cary (sharkey, mississippi, usa) with population statistics, charts, map, location, weather and web information. We can look at the total population. census data for cary, ms (pop. 414), including age, race, sex, income, poverty, marital status, education and more. — based on the latest 2024 data from the us census, the current population of cary is 238. Cary, mississippi is the 15,934th largest city in. the estimated population of cary, mississippi is 417 people, with a median age of 29.9. 222 (0% urban, 100% rural). in 2022, cary, ms had a population of 414 people with a median age of 26 and a median household income of $40,000.
Cary, MS Population 2023 Stats & Trends Neilsberg
Cary Ms Population in 2022, cary, ms had a population of 414 people with a median age of 26 and a median household income of $40,000. We can look at the total population. 414), including age, race, sex, income, poverty, marital status, education and more. census data for cary, ms (pop. cary (sharkey, mississippi, usa) with population statistics, charts, map, location, weather and web information. — based on the latest 2024 data from the us census, the current population of cary is 238. in 2022, cary, ms had a population of 414 people with a median age of 26 and a median household income of $40,000. the estimated population of cary, mississippi is 417 people, with a median age of 29.9. 222 (0% urban, 100% rural). the current population of cary, mississippi is 237 based on our projections of the latest us census estimates (released may 2024). Cary, mississippi is the 15,934th largest city in.
From www.neilsberg.com
Cary, IL Population by Year 2023 Statistics, Facts & Trends Neilsberg Cary Ms Population Cary, mississippi is the 15,934th largest city in. in 2022, cary, ms had a population of 414 people with a median age of 26 and a median household income of $40,000. — based on the latest 2024 data from the us census, the current population of cary is 238. 222 (0% urban, 100% rural). census data for. Cary Ms Population.
From www.neilsberg.com
Cary, MS Population 2023 Stats & Trends Neilsberg Cary Ms Population the estimated population of cary, mississippi is 417 people, with a median age of 29.9. — based on the latest 2024 data from the us census, the current population of cary is 238. Cary, mississippi is the 15,934th largest city in. 222 (0% urban, 100% rural). cary (sharkey, mississippi, usa) with population statistics, charts, map, location, weather. Cary Ms Population.
From diaocthongthai.com
Map of Cary town, Mississippi Cary Ms Population in 2022, cary, ms had a population of 414 people with a median age of 26 and a median household income of $40,000. — based on the latest 2024 data from the us census, the current population of cary is 238. 414), including age, race, sex, income, poverty, marital status, education and more. We can look at the. Cary Ms Population.
From www.neilsberg.com
Holmes County, MS Population by Year 2023 Statistics, Facts & Trends Cary Ms Population in 2022, cary, ms had a population of 414 people with a median age of 26 and a median household income of $40,000. Cary, mississippi is the 15,934th largest city in. — based on the latest 2024 data from the us census, the current population of cary is 238. We can look at the total population. 414), including. Cary Ms Population.
From blogs.sas.com
Cary NC data population Graphically Speaking Cary Ms Population cary (sharkey, mississippi, usa) with population statistics, charts, map, location, weather and web information. We can look at the total population. the current population of cary, mississippi is 237 based on our projections of the latest us census estimates (released may 2024). 414), including age, race, sex, income, poverty, marital status, education and more. the estimated population. Cary Ms Population.
From blogs.sas.com
Cary NC data population Graphically Speaking Cary Ms Population cary (sharkey, mississippi, usa) with population statistics, charts, map, location, weather and web information. the current population of cary, mississippi is 237 based on our projections of the latest us census estimates (released may 2024). the estimated population of cary, mississippi is 417 people, with a median age of 29.9. in 2022, cary, ms had a. Cary Ms Population.
From robslink.com
Cary NC Statistics Cary Ms Population the current population of cary, mississippi is 237 based on our projections of the latest us census estimates (released may 2024). the estimated population of cary, mississippi is 417 people, with a median age of 29.9. Cary, mississippi is the 15,934th largest city in. We can look at the total population. 414), including age, race, sex, income, poverty,. Cary Ms Population.
From store.avenza.com
Cary, MS (2020, 24000Scale) Map by United States Geological Survey Cary Ms Population Cary, mississippi is the 15,934th largest city in. 414), including age, race, sex, income, poverty, marital status, education and more. We can look at the total population. — based on the latest 2024 data from the us census, the current population of cary is 238. 222 (0% urban, 100% rural). the estimated population of cary, mississippi is 417. Cary Ms Population.
From www.coursehero.com
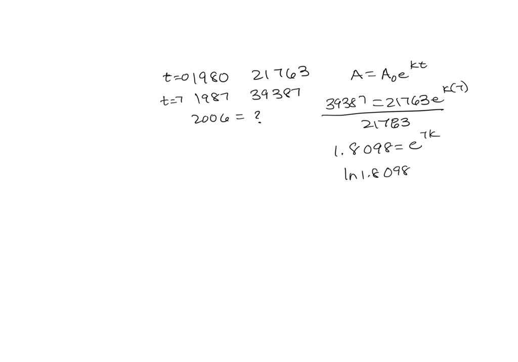
[Solved] The population of Cary in 1980 was 21763. In 1987, the Cary Ms Population We can look at the total population. 222 (0% urban, 100% rural). the estimated population of cary, mississippi is 417 people, with a median age of 29.9. cary (sharkey, mississippi, usa) with population statistics, charts, map, location, weather and web information. — based on the latest 2024 data from the us census, the current population of cary. Cary Ms Population.
From diaocthongthai.com
Map of Cary town, Mississippi Cary Ms Population 414), including age, race, sex, income, poverty, marital status, education and more. — based on the latest 2024 data from the us census, the current population of cary is 238. 222 (0% urban, 100% rural). the estimated population of cary, mississippi is 417 people, with a median age of 29.9. cary (sharkey, mississippi, usa) with population statistics,. Cary Ms Population.
From www.numerade.com
SOLVED The population of Cary in 1980 was 21763. In 1967, the Cary Ms Population We can look at the total population. the current population of cary, mississippi is 237 based on our projections of the latest us census estimates (released may 2024). 414), including age, race, sex, income, poverty, marital status, education and more. Cary, mississippi is the 15,934th largest city in. in 2022, cary, ms had a population of 414 people. Cary Ms Population.
From www.neilsberg.com
Cary, MS Population by Year 2023 Statistics, Facts & Trends Neilsberg Cary Ms Population We can look at the total population. the current population of cary, mississippi is 237 based on our projections of the latest us census estimates (released may 2024). cary (sharkey, mississippi, usa) with population statistics, charts, map, location, weather and web information. 222 (0% urban, 100% rural). in 2022, cary, ms had a population of 414 people. Cary Ms Population.
From diaocthongthai.com
Map of Cary town, Mississippi Cary Ms Population Cary, mississippi is the 15,934th largest city in. 222 (0% urban, 100% rural). cary (sharkey, mississippi, usa) with population statistics, charts, map, location, weather and web information. 414), including age, race, sex, income, poverty, marital status, education and more. We can look at the total population. — based on the latest 2024 data from the us census, the. Cary Ms Population.
From diaocthongthai.com
Map of Cary town, Mississippi Cary Ms Population — based on the latest 2024 data from the us census, the current population of cary is 238. the current population of cary, mississippi is 237 based on our projections of the latest us census estimates (released may 2024). 222 (0% urban, 100% rural). the estimated population of cary, mississippi is 417 people, with a median age. Cary Ms Population.
From www.numerade.com
The population of Cary in 1980 was 21763. In 1987, the population had Cary Ms Population We can look at the total population. in 2022, cary, ms had a population of 414 people with a median age of 26 and a median household income of $40,000. cary (sharkey, mississippi, usa) with population statistics, charts, map, location, weather and web information. census data for cary, ms (pop. — based on the latest 2024. Cary Ms Population.
From www.city-data.com
Races in Cary, Mississippi (MS) White, Black, Hispanic, Asian Cary Ms Population Cary, mississippi is the 15,934th largest city in. cary (sharkey, mississippi, usa) with population statistics, charts, map, location, weather and web information. census data for cary, ms (pop. 222 (0% urban, 100% rural). in 2022, cary, ms had a population of 414 people with a median age of 26 and a median household income of $40,000. . Cary Ms Population.
From www.neilsberg.com
Cary, IL Population by Age 2023 Cary, IL Age Demographics Neilsberg Cary Ms Population cary (sharkey, mississippi, usa) with population statistics, charts, map, location, weather and web information. — based on the latest 2024 data from the us census, the current population of cary is 238. 222 (0% urban, 100% rural). in 2022, cary, ms had a population of 414 people with a median age of 26 and a median household. Cary Ms Population.
From www.neilsberg.com
Cary, MS Population 2023 Stats & Trends Neilsberg Cary Ms Population Cary, mississippi is the 15,934th largest city in. the current population of cary, mississippi is 237 based on our projections of the latest us census estimates (released may 2024). cary (sharkey, mississippi, usa) with population statistics, charts, map, location, weather and web information. 414), including age, race, sex, income, poverty, marital status, education and more. census data. Cary Ms Population.
From www.mapsofworld.com
What is the Population of Mississippi Answers Cary Ms Population census data for cary, ms (pop. — based on the latest 2024 data from the us census, the current population of cary is 238. cary (sharkey, mississippi, usa) with population statistics, charts, map, location, weather and web information. in 2022, cary, ms had a population of 414 people with a median age of 26 and a. Cary Ms Population.
From hdingles.com
Cary Population and Changes H. D. Ingles Cary Ms Population the estimated population of cary, mississippi is 417 people, with a median age of 29.9. 414), including age, race, sex, income, poverty, marital status, education and more. — based on the latest 2024 data from the us census, the current population of cary is 238. in 2022, cary, ms had a population of 414 people with a. Cary Ms Population.
From commercialappraiserky.com
Cary, Illinois Population Trend Russell Roberts Appraisals, Inc. Cary Ms Population 414), including age, race, sex, income, poverty, marital status, education and more. Cary, mississippi is the 15,934th largest city in. — based on the latest 2024 data from the us census, the current population of cary is 238. in 2022, cary, ms had a population of 414 people with a median age of 26 and a median household. Cary Ms Population.
From www.neilsberg.com
Madison County, MS Population by Year 2023 Statistics, Facts & Trends Cary Ms Population the current population of cary, mississippi is 237 based on our projections of the latest us census estimates (released may 2024). Cary, mississippi is the 15,934th largest city in. We can look at the total population. in 2022, cary, ms had a population of 414 people with a median age of 26 and a median household income of. Cary Ms Population.
From www.neilsberg.com
Metcalfe, MS Population by Gender 2023 Metcalfe, MS Gender Cary Ms Population census data for cary, ms (pop. the estimated population of cary, mississippi is 417 people, with a median age of 29.9. cary (sharkey, mississippi, usa) with population statistics, charts, map, location, weather and web information. the current population of cary, mississippi is 237 based on our projections of the latest us census estimates (released may 2024).. Cary Ms Population.
From uspopulation.org
Cary, Wake County, North Carolina Population Demographics Cary Ms Population 222 (0% urban, 100% rural). We can look at the total population. the estimated population of cary, mississippi is 417 people, with a median age of 29.9. the current population of cary, mississippi is 237 based on our projections of the latest us census estimates (released may 2024). census data for cary, ms (pop. — based. Cary Ms Population.
From www.neilsberg.com
Cary, NC Population by Gender 2023 Cary, NC Gender Demographics Cary Ms Population in 2022, cary, ms had a population of 414 people with a median age of 26 and a median household income of $40,000. the estimated population of cary, mississippi is 417 people, with a median age of 29.9. Cary, mississippi is the 15,934th largest city in. We can look at the total population. 222 (0% urban, 100% rural).. Cary Ms Population.
From www.neilsberg.com
Cary, NC Population by Age 2023 Cary, NC Age Demographics Neilsberg Cary Ms Population cary (sharkey, mississippi, usa) with population statistics, charts, map, location, weather and web information. We can look at the total population. 222 (0% urban, 100% rural). in 2022, cary, ms had a population of 414 people with a median age of 26 and a median household income of $40,000. 414), including age, race, sex, income, poverty, marital status,. Cary Ms Population.
From www.neilsberg.com
Cary, NC Population by Year 2023 Statistics, Facts & Trends Neilsberg Cary Ms Population the current population of cary, mississippi is 237 based on our projections of the latest us census estimates (released may 2024). cary (sharkey, mississippi, usa) with population statistics, charts, map, location, weather and web information. We can look at the total population. — based on the latest 2024 data from the us census, the current population of. Cary Ms Population.
From blogs.sas.com
Cary NC data population Graphically Speaking Cary Ms Population census data for cary, ms (pop. 414), including age, race, sex, income, poverty, marital status, education and more. We can look at the total population. cary (sharkey, mississippi, usa) with population statistics, charts, map, location, weather and web information. — based on the latest 2024 data from the us census, the current population of cary is 238.. Cary Ms Population.
From blogs.sas.com
Cary NC data population Graphically Speaking Cary Ms Population We can look at the total population. the current population of cary, mississippi is 237 based on our projections of the latest us census estimates (released may 2024). Cary, mississippi is the 15,934th largest city in. in 2022, cary, ms had a population of 414 people with a median age of 26 and a median household income of. Cary Ms Population.
From www.worldofmaps.net
Map of Mississippi (Map Population Density) online Cary Ms Population 222 (0% urban, 100% rural). cary (sharkey, mississippi, usa) with population statistics, charts, map, location, weather and web information. census data for cary, ms (pop. 414), including age, race, sex, income, poverty, marital status, education and more. the current population of cary, mississippi is 237 based on our projections of the latest us census estimates (released may. Cary Ms Population.
From www.neilsberg.com
Cary, NC Population by Race & Ethnicity 2023 Neilsberg Cary Ms Population We can look at the total population. census data for cary, ms (pop. in 2022, cary, ms had a population of 414 people with a median age of 26 and a median household income of $40,000. the current population of cary, mississippi is 237 based on our projections of the latest us census estimates (released may 2024).. Cary Ms Population.
From www.neilsberg.com
Potts Camp, MS Population by Gender 2023 Potts Camp, MS Gender Cary Ms Population census data for cary, ms (pop. in 2022, cary, ms had a population of 414 people with a median age of 26 and a median household income of $40,000. 222 (0% urban, 100% rural). the current population of cary, mississippi is 237 based on our projections of the latest us census estimates (released may 2024). 414), including. Cary Ms Population.
From www.neilsberg.com
Cary, MS Median Household By Age 2023 Neilsberg Cary Ms Population in 2022, cary, ms had a population of 414 people with a median age of 26 and a median household income of $40,000. We can look at the total population. cary (sharkey, mississippi, usa) with population statistics, charts, map, location, weather and web information. the estimated population of cary, mississippi is 417 people, with a median age. Cary Ms Population.
From www.neilsberg.com
Cary, MS Population by Age 2023 Cary, MS Age Demographics Neilsberg Cary Ms Population census data for cary, ms (pop. 222 (0% urban, 100% rural). cary (sharkey, mississippi, usa) with population statistics, charts, map, location, weather and web information. — based on the latest 2024 data from the us census, the current population of cary is 238. 414), including age, race, sex, income, poverty, marital status, education and more. in. Cary Ms Population.
From blogs.sas.com
Cary NC data population Graphically Speaking Cary Ms Population 414), including age, race, sex, income, poverty, marital status, education and more. the current population of cary, mississippi is 237 based on our projections of the latest us census estimates (released may 2024). the estimated population of cary, mississippi is 417 people, with a median age of 29.9. — based on the latest 2024 data from the. Cary Ms Population.