Duplication.ca Reddit . Those magnolia tapes are so subtle but so. Shipping to the usa isn't bad starting at cad$20 for blank tapes. Where to put made in canada symbol? They used to have a physical location called the dupe shop in my neighbour hood. im working on making cassettes for my music label and i was wondering what i should know before using duplication.ca. duplication.ca is the best. Free shipping by usps on dupes. duplication.ca is the shit. I am trying to take. Very pleased with how these turned out for my new record; duplication.ca says to put made in canada on the jcard, but i'd prefer not to get in the way of the design at all, is it really not. duplication.ca yet again knocking it out of the park. thanks for all the good words! It was amazing to talk. They are the best for making like one or two custom cassettes.
from www.reddit.com
thanks for all the good words! Those magnolia tapes are so subtle but so. They used to have a physical location called the dupe shop in my neighbour hood. duplication.ca is the shit. Very pleased with how these turned out for my new record; duplication.ca yet again knocking it out of the park. Where to put made in canada symbol? 100s of amazing tapes by new artists for sale at the dupeshop in toronto ( duplication.ca) submitted 6 years ago by. Free shipping by usps on dupes. duplication.ca is the best.
Can't remove duplicate modes in Do not disturb r/samsunggalaxy
Duplication.ca Reddit They are the best for making like one or two custom cassettes. duplication.ca says to put made in canada on the jcard, but i'd prefer not to get in the way of the design at all, is it really not. Shipping to the usa isn't bad starting at cad$20 for blank tapes. Free shipping by usps on dupes. They used to have a physical location called the dupe shop in my neighbour hood. 100s of amazing tapes by new artists for sale at the dupeshop in toronto ( duplication.ca) submitted 6 years ago by. duplication.ca is the best. Very pleased with how these turned out for my new record; I am trying to take. It was amazing to talk. Those magnolia tapes are so subtle but so. duplication.ca yet again knocking it out of the park. thanks for all the good words! Where to put made in canada symbol? They are the best for making like one or two custom cassettes. im working on making cassettes for my music label and i was wondering what i should know before using duplication.ca.
From github.com
GitHub Marcnuth/deduplication Remove duplicate documents/videos Duplication.ca Reddit duplication.ca is the best. thanks for all the good words! Shipping to the usa isn't bad starting at cad$20 for blank tapes. 100s of amazing tapes by new artists for sale at the dupeshop in toronto ( duplication.ca) submitted 6 years ago by. It was amazing to talk. duplication.ca says to put made in canada on. Duplication.ca Reddit.
From www.duplication.com
Best Cassettes of 2019 Duplication.ca Staff Picks Duplication.ca Reddit im working on making cassettes for my music label and i was wondering what i should know before using duplication.ca. Free shipping by usps on dupes. thanks for all the good words! duplication.ca says to put made in canada on the jcard, but i'd prefer not to get in the way of the design at all, is. Duplication.ca Reddit.
From www.duplication.ca
26484_Mondrians01 duplication.ca blogduplication.ca blog Duplication.ca Reddit duplication.ca is the best. duplication.ca yet again knocking it out of the park. im working on making cassettes for my music label and i was wondering what i should know before using duplication.ca. duplication.ca says to put made in canada on the jcard, but i'd prefer not to get in the way of the design at. Duplication.ca Reddit.
From www.reddit.com
Duplication rule r/197 Duplication.ca Reddit im working on making cassettes for my music label and i was wondering what i should know before using duplication.ca. I am trying to take. Shipping to the usa isn't bad starting at cad$20 for blank tapes. Very pleased with how these turned out for my new record; duplication.ca yet again knocking it out of the park. . Duplication.ca Reddit.
From www.duplication.ca
Guide to Designing 2Color Pad Print duplication.ca blogduplication Duplication.ca Reddit It was amazing to talk. Where to put made in canada symbol? im working on making cassettes for my music label and i was wondering what i should know before using duplication.ca. Free shipping by usps on dupes. 100s of amazing tapes by new artists for sale at the dupeshop in toronto ( duplication.ca) submitted 6 years ago. Duplication.ca Reddit.
From learn.microsoft.com
How to fix message duplication in IoT Central Microsoft Q&A Duplication.ca Reddit I am trying to take. Very pleased with how these turned out for my new record; Shipping to the usa isn't bad starting at cad$20 for blank tapes. thanks for all the good words! 100s of amazing tapes by new artists for sale at the dupeshop in toronto ( duplication.ca) submitted 6 years ago by. Those magnolia tapes. Duplication.ca Reddit.
From www.duplication.com
Duplication.ca will ship your preorders for you! Duplication.ca Reddit It was amazing to talk. Shipping to the usa isn't bad starting at cad$20 for blank tapes. duplication.ca is the shit. Where to put made in canada symbol? Free shipping by usps on dupes. They are the best for making like one or two custom cassettes. I am trying to take. Very pleased with how these turned out for. Duplication.ca Reddit.
From www.duplication.ca
50 off Digital Download Cards at Duplication.ca duplication.ca Duplication.ca Reddit Where to put made in canada symbol? Very pleased with how these turned out for my new record; Free shipping by usps on dupes. Those magnolia tapes are so subtle but so. duplication.ca yet again knocking it out of the park. I am trying to take. Shipping to the usa isn't bad starting at cad$20 for blank tapes. . Duplication.ca Reddit.
From www.duplication.ca
Vinyl Jacket and Insert Promotion December 2019 duplication.ca Duplication.ca Reddit I am trying to take. 100s of amazing tapes by new artists for sale at the dupeshop in toronto ( duplication.ca) submitted 6 years ago by. Very pleased with how these turned out for my new record; duplication.ca yet again knocking it out of the park. They are the best for making like one or two custom cassettes.. Duplication.ca Reddit.
From www.duplication.ca
cassette packages Archives duplication.ca blogduplication.ca blog Duplication.ca Reddit Very pleased with how these turned out for my new record; Where to put made in canada symbol? They are the best for making like one or two custom cassettes. They used to have a physical location called the dupe shop in my neighbour hood. Shipping to the usa isn't bad starting at cad$20 for blank tapes. It was amazing. Duplication.ca Reddit.
From www.duplication.ca
site Archives duplication.ca blogduplication.ca blog Duplication.ca Reddit They used to have a physical location called the dupe shop in my neighbour hood. 100s of amazing tapes by new artists for sale at the dupeshop in toronto ( duplication.ca) submitted 6 years ago by. Those magnolia tapes are so subtle but so. duplication.ca yet again knocking it out of the park. duplication.ca is the best.. Duplication.ca Reddit.
From www.zoominfo.com
Data Deduplication Why It Matters, Benefits & Use Cases Duplication.ca Reddit duplication.ca is the shit. I am trying to take. duplication.ca says to put made in canada on the jcard, but i'd prefer not to get in the way of the design at all, is it really not. They used to have a physical location called the dupe shop in my neighbour hood. 100s of amazing tapes by. Duplication.ca Reddit.
From thenaturehero.com
Discover Duplication Glitch MWZ How To Use It? The Nature Hero Duplication.ca Reddit Where to put made in canada symbol? Free shipping by usps on dupes. I am trying to take. duplication.ca is the shit. They are the best for making like one or two custom cassettes. thanks for all the good words! im working on making cassettes for my music label and i was wondering what i should know. Duplication.ca Reddit.
From www.reddit.com
Can't remove duplicate modes in Do not disturb r/samsunggalaxy Duplication.ca Reddit Where to put made in canada symbol? I am trying to take. duplication.ca yet again knocking it out of the park. It was amazing to talk. Free shipping by usps on dupes. They used to have a physical location called the dupe shop in my neighbour hood. Those magnolia tapes are so subtle but so. thanks for all. Duplication.ca Reddit.
From www.duplication.com
When Do You Need”Double Hit” Pad Print on Cassettes? Duplication.ca Reddit Free shipping by usps on dupes. They are the best for making like one or two custom cassettes. They used to have a physical location called the dupe shop in my neighbour hood. Those magnolia tapes are so subtle but so. duplication.ca is the best. Very pleased with how these turned out for my new record; duplication.ca yet. Duplication.ca Reddit.
From www.duplication.ca
26680_Veach01 duplication.ca blogduplication.ca blog Duplication.ca Reddit Very pleased with how these turned out for my new record; I am trying to take. im working on making cassettes for my music label and i was wondering what i should know before using duplication.ca. duplication.ca is the best. 100s of amazing tapes by new artists for sale at the dupeshop in toronto ( duplication.ca) submitted. Duplication.ca Reddit.
From www.reddit.com
Duplication.ca Tapes Brand New Blanks! r/cassetteculture Duplication.ca Reddit thanks for all the good words! 100s of amazing tapes by new artists for sale at the dupeshop in toronto ( duplication.ca) submitted 6 years ago by. I am trying to take. Free shipping by usps on dupes. They are the best for making like one or two custom cassettes. Those magnolia tapes are so subtle but so.. Duplication.ca Reddit.
From www.duplication.ca
The Duplication.ca Guide to Pad Print Design duplication.ca Duplication.ca Reddit Those magnolia tapes are so subtle but so. 100s of amazing tapes by new artists for sale at the dupeshop in toronto ( duplication.ca) submitted 6 years ago by. Very pleased with how these turned out for my new record; Where to put made in canada symbol? I am trying to take. duplication.ca yet again knocking it out. Duplication.ca Reddit.
From www.duplication.ca
Premium SDHC Card™ 32GB Duplication.ca Duplication.ca Reddit duplication.ca yet again knocking it out of the park. Where to put made in canada symbol? duplication.ca says to put made in canada on the jcard, but i'd prefer not to get in the way of the design at all, is it really not. Free shipping by usps on dupes. 100s of amazing tapes by new artists. Duplication.ca Reddit.
From www.duplication.com
The Duplication.ca Guide to Pad Print Design Duplication.ca Reddit They used to have a physical location called the dupe shop in my neighbour hood. duplication.ca is the best. I am trying to take. 100s of amazing tapes by new artists for sale at the dupeshop in toronto ( duplication.ca) submitted 6 years ago by. They are the best for making like one or two custom cassettes. Where. Duplication.ca Reddit.
From www.reddit.com
Box 2 Pics (sorry for duplication new to Reddit!) r/KeyEnigma Duplication.ca Reddit I am trying to take. Shipping to the usa isn't bad starting at cad$20 for blank tapes. duplication.ca yet again knocking it out of the park. Free shipping by usps on dupes. They are the best for making like one or two custom cassettes. im working on making cassettes for my music label and i was wondering what. Duplication.ca Reddit.
From www.allaboutediscovery.com
Deduplication What is it and Why Should I Use it? All About eDiscovery Duplication.ca Reddit im working on making cassettes for my music label and i was wondering what i should know before using duplication.ca. Where to put made in canada symbol? 100s of amazing tapes by new artists for sale at the dupeshop in toronto ( duplication.ca) submitted 6 years ago by. duplication.ca says to put made in canada on the. Duplication.ca Reddit.
From www.duplication.com
Straight Outta Duplication.ca Beat Tapes for your Boombox Duplication.ca Reddit im working on making cassettes for my music label and i was wondering what i should know before using duplication.ca. thanks for all the good words! It was amazing to talk. 100s of amazing tapes by new artists for sale at the dupeshop in toronto ( duplication.ca) submitted 6 years ago by. Those magnolia tapes are so. Duplication.ca Reddit.
From www.duplication.ca
24778_Nighttime01 duplication.ca blogduplication.ca blog Duplication.ca Reddit They used to have a physical location called the dupe shop in my neighbour hood. 100s of amazing tapes by new artists for sale at the dupeshop in toronto ( duplication.ca) submitted 6 years ago by. duplication.ca yet again knocking it out of the park. Free shipping by usps on dupes. duplication.ca says to put made in. Duplication.ca Reddit.
From www.duplication.ca
885f579b56ceb2871330c795841a8739 duplication.ca blogduplication Duplication.ca Reddit Where to put made in canada symbol? Very pleased with how these turned out for my new record; Those magnolia tapes are so subtle but so. They are the best for making like one or two custom cassettes. duplication.ca is the shit. They used to have a physical location called the dupe shop in my neighbour hood. duplication.ca. Duplication.ca Reddit.
From ellyyrozalin.pages.dev
Tarkov Duplication Glitch 2024 Reddit Alyda Bernita Duplication.ca Reddit Very pleased with how these turned out for my new record; Shipping to the usa isn't bad starting at cad$20 for blank tapes. duplication.ca is the shit. Those magnolia tapes are so subtle but so. im working on making cassettes for my music label and i was wondering what i should know before using duplication.ca. duplication.ca is. Duplication.ca Reddit.
From www.duplication.ca
DUPLICATION.CA HAS A QUICK 4WEEK TURNAROUND TIME FOR CASSETTES Duplication.ca Reddit Shipping to the usa isn't bad starting at cad$20 for blank tapes. Those magnolia tapes are so subtle but so. duplication.ca says to put made in canada on the jcard, but i'd prefer not to get in the way of the design at all, is it really not. They used to have a physical location called the dupe shop. Duplication.ca Reddit.
From www.templateroller.com
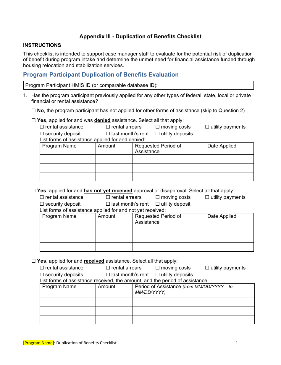
California Duplication of Benefits Checklist Emergency Solutions Duplication.ca Reddit They used to have a physical location called the dupe shop in my neighbour hood. duplication.ca is the best. duplication.ca yet again knocking it out of the park. thanks for all the good words! Those magnolia tapes are so subtle but so. It was amazing to talk. Where to put made in canada symbol? Shipping to the. Duplication.ca Reddit.
From www.duplication.ca
cd replication Archives duplication.ca blogduplication.ca blog Duplication.ca Reddit Where to put made in canada symbol? Very pleased with how these turned out for my new record; Free shipping by usps on dupes. duplication.ca yet again knocking it out of the park. Those magnolia tapes are so subtle but so. Shipping to the usa isn't bad starting at cad$20 for blank tapes. They are the best for making. Duplication.ca Reddit.
From learn.microsoft.com
Using the Desktop Duplication API with HDR interpreting DXGI_FORMAT Duplication.ca Reddit Shipping to the usa isn't bad starting at cad$20 for blank tapes. Those magnolia tapes are so subtle but so. duplication.ca says to put made in canada on the jcard, but i'd prefer not to get in the way of the design at all, is it really not. duplication.ca is the shit. duplication.ca yet again knocking it. Duplication.ca Reddit.
From github.com
before deduplication BAM file size102M and after deduplication it is Duplication.ca Reddit im working on making cassettes for my music label and i was wondering what i should know before using duplication.ca. 100s of amazing tapes by new artists for sale at the dupeshop in toronto ( duplication.ca) submitted 6 years ago by. Those magnolia tapes are so subtle but so. It was amazing to talk. They used to have. Duplication.ca Reddit.
From www.duplication.ca
recognize ali Archives duplication.ca blogduplication.ca blog Duplication.ca Reddit duplication.ca says to put made in canada on the jcard, but i'd prefer not to get in the way of the design at all, is it really not. duplication.ca yet again knocking it out of the park. duplication.ca is the best. im working on making cassettes for my music label and i was wondering what i. Duplication.ca Reddit.
From www.duplication.ca
UV Print On Cassette duplication.ca blogduplication.ca blog Duplication.ca Reddit duplication.ca yet again knocking it out of the park. I am trying to take. im working on making cassettes for my music label and i was wondering what i should know before using duplication.ca. duplication.ca is the best. Free shipping by usps on dupes. Those magnolia tapes are so subtle but so. They are the best for. Duplication.ca Reddit.
From www.popular.pics
Duplication station ・ popular.pics ・ Viewer for Reddit Duplication.ca Reddit duplication.ca is the best. 100s of amazing tapes by new artists for sale at the dupeshop in toronto ( duplication.ca) submitted 6 years ago by. It was amazing to talk. duplication.ca says to put made in canada on the jcard, but i'd prefer not to get in the way of the design at all, is it really. Duplication.ca Reddit.
From www.slideserve.com
PPT Microservices Examples PowerPoint Presentation, free download Duplication.ca Reddit Shipping to the usa isn't bad starting at cad$20 for blank tapes. I am trying to take. It was amazing to talk. duplication.ca is the best. Free shipping by usps on dupes. duplication.ca says to put made in canada on the jcard, but i'd prefer not to get in the way of the design at all, is it. Duplication.ca Reddit.