Differential Equations Guessing Method . All that we need to do is look at \(g(t)\) and make a guess as to the form of \(y_{p}(t)\). Undetermined coefficients (that we learn here) which only works when f (x) is a. the method of undetermined coefficients is a technique for finding particular solutions, [asciimath]y_p[/asciimath] , to. method of undetermined coefficients (aka: In order to give the complete solution of a nonhomogeneous linear differential equation,. There are two main methods to solve these equations: we can often guess a formula for yp(x) involving specific functions and some constants that can then. The method of undetermined coefficients. solve a nonhomogeneous differential equation by the method of undetermined coefficients. Method of educated guess) in this chapter, we will discuss one particularly simple. the method is quite simple.
from www.youtube.com
method of undetermined coefficients (aka: the method of undetermined coefficients is a technique for finding particular solutions, [asciimath]y_p[/asciimath] , to. we can often guess a formula for yp(x) involving specific functions and some constants that can then. All that we need to do is look at \(g(t)\) and make a guess as to the form of \(y_{p}(t)\). In order to give the complete solution of a nonhomogeneous linear differential equation,. Method of educated guess) in this chapter, we will discuss one particularly simple. the method is quite simple. There are two main methods to solve these equations: solve a nonhomogeneous differential equation by the method of undetermined coefficients. The method of undetermined coefficients.
How to Solve a Differential Equation using Laplace Transforms Example
Differential Equations Guessing Method Undetermined coefficients (that we learn here) which only works when f (x) is a. Undetermined coefficients (that we learn here) which only works when f (x) is a. solve a nonhomogeneous differential equation by the method of undetermined coefficients. The method of undetermined coefficients. All that we need to do is look at \(g(t)\) and make a guess as to the form of \(y_{p}(t)\). In order to give the complete solution of a nonhomogeneous linear differential equation,. the method is quite simple. we can often guess a formula for yp(x) involving specific functions and some constants that can then. Method of educated guess) in this chapter, we will discuss one particularly simple. the method of undetermined coefficients is a technique for finding particular solutions, [asciimath]y_p[/asciimath] , to. method of undetermined coefficients (aka: There are two main methods to solve these equations:
From www.chegg.com
Solved Solve the given system of differential equations Differential Equations Guessing Method the method is quite simple. All that we need to do is look at \(g(t)\) and make a guess as to the form of \(y_{p}(t)\). In order to give the complete solution of a nonhomogeneous linear differential equation,. method of undetermined coefficients (aka: Method of educated guess) in this chapter, we will discuss one particularly simple. There are. Differential Equations Guessing Method.
From www.youtube.com
How to Solve a Differential Equation using Laplace Transforms Example Differential Equations Guessing Method solve a nonhomogeneous differential equation by the method of undetermined coefficients. the method of undetermined coefficients is a technique for finding particular solutions, [asciimath]y_p[/asciimath] , to. we can often guess a formula for yp(x) involving specific functions and some constants that can then. In order to give the complete solution of a nonhomogeneous linear differential equation,. . Differential Equations Guessing Method.
From www.youtube.com
Momentum Collision Sample Problem Student practice using GUESS METHOD Differential Equations Guessing Method method of undetermined coefficients (aka: the method of undetermined coefficients is a technique for finding particular solutions, [asciimath]y_p[/asciimath] , to. the method is quite simple. we can often guess a formula for yp(x) involving specific functions and some constants that can then. In order to give the complete solution of a nonhomogeneous linear differential equation,. All. Differential Equations Guessing Method.
From www.youtube.com
4.2b Nonhomogeneous Systems of Differential Equations YouTube Differential Equations Guessing Method we can often guess a formula for yp(x) involving specific functions and some constants that can then. There are two main methods to solve these equations: Method of educated guess) in this chapter, we will discuss one particularly simple. Undetermined coefficients (that we learn here) which only works when f (x) is a. solve a nonhomogeneous differential equation. Differential Equations Guessing Method.
From www.youtube.com
Diff Eqn How to make initial guess, Method of Undetermined Differential Equations Guessing Method There are two main methods to solve these equations: the method of undetermined coefficients is a technique for finding particular solutions, [asciimath]y_p[/asciimath] , to. Method of educated guess) in this chapter, we will discuss one particularly simple. The method of undetermined coefficients. Undetermined coefficients (that we learn here) which only works when f (x) is a. the method. Differential Equations Guessing Method.
From www.youtube.com
Inspection Method Exact Differential Equations Method YouTube Differential Equations Guessing Method All that we need to do is look at \(g(t)\) and make a guess as to the form of \(y_{p}(t)\). we can often guess a formula for yp(x) involving specific functions and some constants that can then. the method is quite simple. There are two main methods to solve these equations: Undetermined coefficients (that we learn here) which. Differential Equations Guessing Method.
From www.youtube.com
Differential Equation Undetermined Coefficients y'' + 3y' + 2y = x^2 Differential Equations Guessing Method In order to give the complete solution of a nonhomogeneous linear differential equation,. method of undetermined coefficients (aka: the method is quite simple. The method of undetermined coefficients. solve a nonhomogeneous differential equation by the method of undetermined coefficients. we can often guess a formula for yp(x) involving specific functions and some constants that can then.. Differential Equations Guessing Method.
From www.scribd.com
Differential Equations Past Papers Guess Download Free PDF Differential Equations Guessing Method solve a nonhomogeneous differential equation by the method of undetermined coefficients. In order to give the complete solution of a nonhomogeneous linear differential equation,. There are two main methods to solve these equations: we can often guess a formula for yp(x) involving specific functions and some constants that can then. the method is quite simple. method. Differential Equations Guessing Method.
From www.youtube.com
Euler's method for IVP of firstorder differential equations YouTube Differential Equations Guessing Method In order to give the complete solution of a nonhomogeneous linear differential equation,. Method of educated guess) in this chapter, we will discuss one particularly simple. All that we need to do is look at \(g(t)\) and make a guess as to the form of \(y_{p}(t)\). The method of undetermined coefficients. There are two main methods to solve these equations:. Differential Equations Guessing Method.
From www.chegg.com
Solved If you were to use the method of undetermined Differential Equations Guessing Method Method of educated guess) in this chapter, we will discuss one particularly simple. The method of undetermined coefficients. All that we need to do is look at \(g(t)\) and make a guess as to the form of \(y_{p}(t)\). the method is quite simple. method of undetermined coefficients (aka: There are two main methods to solve these equations: In. Differential Equations Guessing Method.
From www.youtube.com
Ordinary Differential Equations Intro YouTube Differential Equations Guessing Method solve a nonhomogeneous differential equation by the method of undetermined coefficients. Undetermined coefficients (that we learn here) which only works when f (x) is a. There are two main methods to solve these equations: Method of educated guess) in this chapter, we will discuss one particularly simple. method of undetermined coefficients (aka: The method of undetermined coefficients. . Differential Equations Guessing Method.
From www.slideserve.com
PPT Chap 1 FirstOrder Differential Equations PowerPoint Presentation Differential Equations Guessing Method method of undetermined coefficients (aka: Undetermined coefficients (that we learn here) which only works when f (x) is a. In order to give the complete solution of a nonhomogeneous linear differential equation,. There are two main methods to solve these equations: solve a nonhomogeneous differential equation by the method of undetermined coefficients. All that we need to do. Differential Equations Guessing Method.
From www.slideserve.com
PPT NonHomogeneous Equations PowerPoint Presentation, free download Differential Equations Guessing Method Method of educated guess) in this chapter, we will discuss one particularly simple. the method is quite simple. method of undetermined coefficients (aka: we can often guess a formula for yp(x) involving specific functions and some constants that can then. In order to give the complete solution of a nonhomogeneous linear differential equation,. All that we need. Differential Equations Guessing Method.
From www.youtube.com
shortcut Method to find Particular integral of f(D)y=e^(ax) form YouTube Differential Equations Guessing Method All that we need to do is look at \(g(t)\) and make a guess as to the form of \(y_{p}(t)\). Method of educated guess) in this chapter, we will discuss one particularly simple. solve a nonhomogeneous differential equation by the method of undetermined coefficients. the method is quite simple. There are two main methods to solve these equations:. Differential Equations Guessing Method.
From www.youtube.com
Solving Differential Equations Method of Undetermined Coefficients Ex Differential Equations Guessing Method In order to give the complete solution of a nonhomogeneous linear differential equation,. we can often guess a formula for yp(x) involving specific functions and some constants that can then. method of undetermined coefficients (aka: Method of educated guess) in this chapter, we will discuss one particularly simple. Undetermined coefficients (that we learn here) which only works when. Differential Equations Guessing Method.
From www.youtube.com
Method of Undetermined Coefficients Nonhomogeneous 2nd Order Differential Equations Guessing Method solve a nonhomogeneous differential equation by the method of undetermined coefficients. There are two main methods to solve these equations: All that we need to do is look at \(g(t)\) and make a guess as to the form of \(y_{p}(t)\). The method of undetermined coefficients. Method of educated guess) in this chapter, we will discuss one particularly simple. . Differential Equations Guessing Method.
From www.pinterest.nz
How to Solve Differential Equations wikiHow Matemática, Equações Differential Equations Guessing Method solve a nonhomogeneous differential equation by the method of undetermined coefficients. In order to give the complete solution of a nonhomogeneous linear differential equation,. Method of educated guess) in this chapter, we will discuss one particularly simple. There are two main methods to solve these equations: the method of undetermined coefficients is a technique for finding particular solutions,. Differential Equations Guessing Method.
From www.youtube.com
Using the GUESS Method to Solve Physics Problems IB Physics YouTube Differential Equations Guessing Method method of undetermined coefficients (aka: the method is quite simple. Method of educated guess) in this chapter, we will discuss one particularly simple. Undetermined coefficients (that we learn here) which only works when f (x) is a. the method of undetermined coefficients is a technique for finding particular solutions, [asciimath]y_p[/asciimath] , to. we can often guess. Differential Equations Guessing Method.
From math.stackexchange.com
calculus Particular Solution By Method of Undetermined Coefficients Differential Equations Guessing Method the method of undetermined coefficients is a technique for finding particular solutions, [asciimath]y_p[/asciimath] , to. we can often guess a formula for yp(x) involving specific functions and some constants that can then. All that we need to do is look at \(g(t)\) and make a guess as to the form of \(y_{p}(t)\). Undetermined coefficients (that we learn here). Differential Equations Guessing Method.
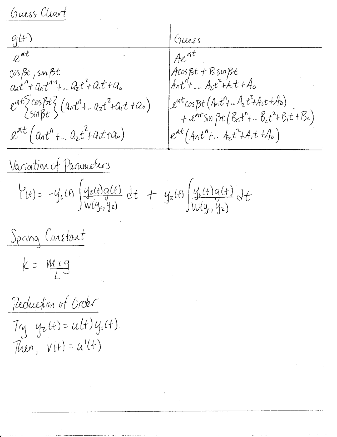
From www.docsity.com
Guess Chart for Order Differential Equations / Science Engineering Differential Equations Guessing Method solve a nonhomogeneous differential equation by the method of undetermined coefficients. we can often guess a formula for yp(x) involving specific functions and some constants that can then. All that we need to do is look at \(g(t)\) and make a guess as to the form of \(y_{p}(t)\). method of undetermined coefficients (aka: Undetermined coefficients (that we. Differential Equations Guessing Method.
From criticalthinking.cloud
solve the initial value problem first order differential equation Differential Equations Guessing Method method of undetermined coefficients (aka: The method of undetermined coefficients. we can often guess a formula for yp(x) involving specific functions and some constants that can then. the method of undetermined coefficients is a technique for finding particular solutions, [asciimath]y_p[/asciimath] , to. solve a nonhomogeneous differential equation by the method of undetermined coefficients. the method. Differential Equations Guessing Method.
From www.youtube.com
Find the particular solution differential equations YouTube Differential Equations Guessing Method we can often guess a formula for yp(x) involving specific functions and some constants that can then. the method is quite simple. The method of undetermined coefficients. There are two main methods to solve these equations: method of undetermined coefficients (aka: In order to give the complete solution of a nonhomogeneous linear differential equation,. Undetermined coefficients (that. Differential Equations Guessing Method.
From www.researchgate.net
(PDF) INITIALGUESS METHOD FOR SOLVING POLYNOMIAL EQUATIONS Differential Equations Guessing Method the method is quite simple. In order to give the complete solution of a nonhomogeneous linear differential equation,. method of undetermined coefficients (aka: The method of undetermined coefficients. There are two main methods to solve these equations: we can often guess a formula for yp(x) involving specific functions and some constants that can then. the method. Differential Equations Guessing Method.
From www.scribd.com
Lucky Guess & Integrating Factor PDF Equations Differential Equations Differential Equations Guessing Method solve a nonhomogeneous differential equation by the method of undetermined coefficients. All that we need to do is look at \(g(t)\) and make a guess as to the form of \(y_{p}(t)\). Undetermined coefficients (that we learn here) which only works when f (x) is a. method of undetermined coefficients (aka: the method is quite simple. There are. Differential Equations Guessing Method.
From www.tes.com
First order differential equations Teaching Resources Differential Equations Guessing Method we can often guess a formula for yp(x) involving specific functions and some constants that can then. method of undetermined coefficients (aka: Undetermined coefficients (that we learn here) which only works when f (x) is a. Method of educated guess) in this chapter, we will discuss one particularly simple. the method is quite simple. All that we. Differential Equations Guessing Method.
From www.youtube.com
Second Order Nonhomogeneous CauchyEuler Differential Equations YouTube Differential Equations Guessing Method Method of educated guess) in this chapter, we will discuss one particularly simple. solve a nonhomogeneous differential equation by the method of undetermined coefficients. The method of undetermined coefficients. method of undetermined coefficients (aka: the method of undetermined coefficients is a technique for finding particular solutions, [asciimath]y_p[/asciimath] , to. There are two main methods to solve these. Differential Equations Guessing Method.
From www.youtube.com
System of Differential Equations with Complex Eigenvalues YouTube Differential Equations Guessing Method the method is quite simple. method of undetermined coefficients (aka: There are two main methods to solve these equations: we can often guess a formula for yp(x) involving specific functions and some constants that can then. The method of undetermined coefficients. All that we need to do is look at \(g(t)\) and make a guess as to. Differential Equations Guessing Method.
From www.numerade.com
SOLVEDFor each of the following differential equations, set up the Differential Equations Guessing Method Undetermined coefficients (that we learn here) which only works when f (x) is a. the method is quite simple. method of undetermined coefficients (aka: Method of educated guess) in this chapter, we will discuss one particularly simple. There are two main methods to solve these equations: the method of undetermined coefficients is a technique for finding particular. Differential Equations Guessing Method.
From www.showme.com
ShowMe Guess method Differential Equations Guessing Method The method of undetermined coefficients. solve a nonhomogeneous differential equation by the method of undetermined coefficients. the method of undetermined coefficients is a technique for finding particular solutions, [asciimath]y_p[/asciimath] , to. There are two main methods to solve these equations: method of undetermined coefficients (aka: Undetermined coefficients (that we learn here) which only works when f (x). Differential Equations Guessing Method.
From www.youtube.com
Trick to do Integrals Fast! Advanced Guessing Method AP Calculus Differential Equations Guessing Method Method of educated guess) in this chapter, we will discuss one particularly simple. The method of undetermined coefficients. All that we need to do is look at \(g(t)\) and make a guess as to the form of \(y_{p}(t)\). the method is quite simple. solve a nonhomogeneous differential equation by the method of undetermined coefficients. we can often. Differential Equations Guessing Method.
From www.youtube.com
Undetermined Coefficient Method Differential Equations Lecture 21 Differential Equations Guessing Method solve a nonhomogeneous differential equation by the method of undetermined coefficients. the method of undetermined coefficients is a technique for finding particular solutions, [asciimath]y_p[/asciimath] , to. we can often guess a formula for yp(x) involving specific functions and some constants that can then. In order to give the complete solution of a nonhomogeneous linear differential equation,. The. Differential Equations Guessing Method.
From www.youtube.com
Differential Equations Part 3 Solving dy/dx = f(x)g(y) YouTube Differential Equations Guessing Method Method of educated guess) in this chapter, we will discuss one particularly simple. we can often guess a formula for yp(x) involving specific functions and some constants that can then. All that we need to do is look at \(g(t)\) and make a guess as to the form of \(y_{p}(t)\). the method is quite simple. The method of. Differential Equations Guessing Method.
From www.youtube.com
Solving Second Order Differential Equations YouTube Differential Equations Guessing Method Method of educated guess) in this chapter, we will discuss one particularly simple. In order to give the complete solution of a nonhomogeneous linear differential equation,. The method of undetermined coefficients. the method is quite simple. All that we need to do is look at \(g(t)\) and make a guess as to the form of \(y_{p}(t)\). There are two. Differential Equations Guessing Method.
From www.youtube.com
Third order differential equation Variation of parameters y''' + y Differential Equations Guessing Method The method of undetermined coefficients. All that we need to do is look at \(g(t)\) and make a guess as to the form of \(y_{p}(t)\). In order to give the complete solution of a nonhomogeneous linear differential equation,. the method of undetermined coefficients is a technique for finding particular solutions, [asciimath]y_p[/asciimath] , to. Method of educated guess) in this. Differential Equations Guessing Method.
From www.youtube.com
Differential Equations NonHomogeneous Second Order Equations Differential Equations Guessing Method method of undetermined coefficients (aka: we can often guess a formula for yp(x) involving specific functions and some constants that can then. solve a nonhomogeneous differential equation by the method of undetermined coefficients. Undetermined coefficients (that we learn here) which only works when f (x) is a. There are two main methods to solve these equations: Method. Differential Equations Guessing Method.