Etoxiquina En Humanos . Asimismo, se debate si los antioxidantes promueven el desarrollo de asma, alergias y obesidad. la efsa ha reevaluado el aditivo para piensos etoxiquina y no ha podido llegar a una conclusión sobre su. efectos de la etoxiquina en la salud. es un antioxidante altamente eficaz utilizado para conservar el valor nutricional de los ingredientes claves de la dieta de los. se han usado varios antioxidantes de manera efectiva para estabilizar la harina de pescado, incluyendo etoxiquina,. la etoxiquina es un antioxidante derivado de las quinoleínas usado en alimentos y piensos para proteger frente a la oxidación. ethoxyquin quinone imine shows structural alerts for mutagenicity, carcinogenicity and dna binding; Se ha demostrado que la etoxiquina provoca problemas de salud como disfunciones hepáticas, renales, tiroideas y reproductivas, efectos cancerígenos, reacciones alérgicas y problemas de la piel en perros y pollos. la etoxiquina es un antioxidante derivado de las quinoleínas y empleado como pesticida en algunas frutas.
from ro.pinterest.com
la etoxiquina es un antioxidante derivado de las quinoleínas usado en alimentos y piensos para proteger frente a la oxidación. Se ha demostrado que la etoxiquina provoca problemas de salud como disfunciones hepáticas, renales, tiroideas y reproductivas, efectos cancerígenos, reacciones alérgicas y problemas de la piel en perros y pollos. Asimismo, se debate si los antioxidantes promueven el desarrollo de asma, alergias y obesidad. la efsa ha reevaluado el aditivo para piensos etoxiquina y no ha podido llegar a una conclusión sobre su. se han usado varios antioxidantes de manera efectiva para estabilizar la harina de pescado, incluyendo etoxiquina,. es un antioxidante altamente eficaz utilizado para conservar el valor nutricional de los ingredientes claves de la dieta de los. la etoxiquina es un antioxidante derivado de las quinoleínas y empleado como pesticida en algunas frutas. ethoxyquin quinone imine shows structural alerts for mutagenicity, carcinogenicity and dna binding; efectos de la etoxiquina en la salud.
𝗠𝗲𝗱 4 𝗦𝗵𝗮𝗿𝗲 𝗔𝗽𝘂𝗻𝘁𝗲𝘀 𝗱𝗲 𝗺𝗲𝗱𝗶𝗰𝗶𝗻𝗮 𝘆 𝘁𝗶𝗽𝘀 𝗱𝗲 𝗲𝘀𝘁𝘂𝗱𝗶𝗼 on Instagram
Etoxiquina En Humanos Se ha demostrado que la etoxiquina provoca problemas de salud como disfunciones hepáticas, renales, tiroideas y reproductivas, efectos cancerígenos, reacciones alérgicas y problemas de la piel en perros y pollos. la etoxiquina es un antioxidante derivado de las quinoleínas usado en alimentos y piensos para proteger frente a la oxidación. Se ha demostrado que la etoxiquina provoca problemas de salud como disfunciones hepáticas, renales, tiroideas y reproductivas, efectos cancerígenos, reacciones alérgicas y problemas de la piel en perros y pollos. la etoxiquina es un antioxidante derivado de las quinoleínas y empleado como pesticida en algunas frutas. Asimismo, se debate si los antioxidantes promueven el desarrollo de asma, alergias y obesidad. se han usado varios antioxidantes de manera efectiva para estabilizar la harina de pescado, incluyendo etoxiquina,. ethoxyquin quinone imine shows structural alerts for mutagenicity, carcinogenicity and dna binding; la efsa ha reevaluado el aditivo para piensos etoxiquina y no ha podido llegar a una conclusión sobre su. efectos de la etoxiquina en la salud. es un antioxidante altamente eficaz utilizado para conservar el valor nutricional de los ingredientes claves de la dieta de los.
From ctrscientific.com
28083. STD CRM ETOXIQUINA 10MG ACCUSTANDARD CTR Scientific Etoxiquina En Humanos efectos de la etoxiquina en la salud. Asimismo, se debate si los antioxidantes promueven el desarrollo de asma, alergias y obesidad. ethoxyquin quinone imine shows structural alerts for mutagenicity, carcinogenicity and dna binding; la etoxiquina es un antioxidante derivado de las quinoleínas usado en alimentos y piensos para proteger frente a la oxidación. es un antioxidante. Etoxiquina En Humanos.
From www.youtube.com
Oxidación y reducción en la respiración celular Biología Khan Etoxiquina En Humanos es un antioxidante altamente eficaz utilizado para conservar el valor nutricional de los ingredientes claves de la dieta de los. efectos de la etoxiquina en la salud. la etoxiquina es un antioxidante derivado de las quinoleínas usado en alimentos y piensos para proteger frente a la oxidación. la efsa ha reevaluado el aditivo para piensos etoxiquina. Etoxiquina En Humanos.
From ro.pinterest.com
𝗠𝗲𝗱 4 𝗦𝗵𝗮𝗿𝗲 𝗔𝗽𝘂𝗻𝘁𝗲𝘀 𝗱𝗲 𝗺𝗲𝗱𝗶𝗰𝗶𝗻𝗮 𝘆 𝘁𝗶𝗽𝘀 𝗱𝗲 𝗲𝘀𝘁𝘂𝗱𝗶𝗼 on Instagram Etoxiquina En Humanos la etoxiquina es un antioxidante derivado de las quinoleínas usado en alimentos y piensos para proteger frente a la oxidación. la etoxiquina es un antioxidante derivado de las quinoleínas y empleado como pesticida en algunas frutas. ethoxyquin quinone imine shows structural alerts for mutagenicity, carcinogenicity and dna binding; efectos de la etoxiquina en la salud. Asimismo,. Etoxiquina En Humanos.
From es.allaboutfeed.net
Uso de etoxiquinas en la alimentación animal en suspensión All About Etoxiquina En Humanos se han usado varios antioxidantes de manera efectiva para estabilizar la harina de pescado, incluyendo etoxiquina,. la etoxiquina es un antioxidante derivado de las quinoleínas y empleado como pesticida en algunas frutas. efectos de la etoxiquina en la salud. Se ha demostrado que la etoxiquina provoca problemas de salud como disfunciones hepáticas, renales, tiroideas y reproductivas, efectos. Etoxiquina En Humanos.
From mascotas.mercola.com
Cómo evitar los alimentos para mascotas que contienen etoxiquina Etoxiquina En Humanos es un antioxidante altamente eficaz utilizado para conservar el valor nutricional de los ingredientes claves de la dieta de los. efectos de la etoxiquina en la salud. la etoxiquina es un antioxidante derivado de las quinoleínas y empleado como pesticida en algunas frutas. Se ha demostrado que la etoxiquina provoca problemas de salud como disfunciones hepáticas, renales,. Etoxiquina En Humanos.
From www.fishersci.es
Etoxiquina en metanol 100 μg/ml, Fisher Chemical Fisher Scientific Etoxiquina En Humanos la efsa ha reevaluado el aditivo para piensos etoxiquina y no ha podido llegar a una conclusión sobre su. la etoxiquina es un antioxidante derivado de las quinoleínas usado en alimentos y piensos para proteger frente a la oxidación. se han usado varios antioxidantes de manera efectiva para estabilizar la harina de pescado, incluyendo etoxiquina,. es. Etoxiquina En Humanos.
From es.dreamstime.com
Molécula De Conservante De Alimentos Antioxidante De Etoxiquina Etoxiquina En Humanos la etoxiquina es un antioxidante derivado de las quinoleínas usado en alimentos y piensos para proteger frente a la oxidación. se han usado varios antioxidantes de manera efectiva para estabilizar la harina de pescado, incluyendo etoxiquina,. ethoxyquin quinone imine shows structural alerts for mutagenicity, carcinogenicity and dna binding; la etoxiquina es un antioxidante derivado de las. Etoxiquina En Humanos.
From www.kemin.com
Antioxidantes en acción Etoxiquina En Humanos la etoxiquina es un antioxidante derivado de las quinoleínas y empleado como pesticida en algunas frutas. la efsa ha reevaluado el aditivo para piensos etoxiquina y no ha podido llegar a una conclusión sobre su. se han usado varios antioxidantes de manera efectiva para estabilizar la harina de pescado, incluyendo etoxiquina,. efectos de la etoxiquina en. Etoxiquina En Humanos.
From www.btsa.com
La UE prohibe definitivamente el uso de etoxiquina BTSA Etoxiquina En Humanos la etoxiquina es un antioxidante derivado de las quinoleínas usado en alimentos y piensos para proteger frente a la oxidación. la efsa ha reevaluado el aditivo para piensos etoxiquina y no ha podido llegar a una conclusión sobre su. Se ha demostrado que la etoxiquina provoca problemas de salud como disfunciones hepáticas, renales, tiroideas y reproductivas, efectos cancerígenos,. Etoxiquina En Humanos.
From www.alamy.es
3D imagen de la fórmula esquelética etoxiquina estructura química Etoxiquina En Humanos la etoxiquina es un antioxidante derivado de las quinoleínas usado en alimentos y piensos para proteger frente a la oxidación. ethoxyquin quinone imine shows structural alerts for mutagenicity, carcinogenicity and dna binding; Asimismo, se debate si los antioxidantes promueven el desarrollo de asma, alergias y obesidad. Se ha demostrado que la etoxiquina provoca problemas de salud como disfunciones. Etoxiquina En Humanos.
From docplayer.es
SCALDFREE GUIA DE USO PDF Free Download Etoxiquina En Humanos Asimismo, se debate si los antioxidantes promueven el desarrollo de asma, alergias y obesidad. la efsa ha reevaluado el aditivo para piensos etoxiquina y no ha podido llegar a una conclusión sobre su. Se ha demostrado que la etoxiquina provoca problemas de salud como disfunciones hepáticas, renales, tiroideas y reproductivas, efectos cancerígenos, reacciones alérgicas y problemas de la piel. Etoxiquina En Humanos.
From www.klipartz.com
Etoxiquina estructura rancidificación estructural fórmula papel, ángulo Etoxiquina En Humanos la etoxiquina es un antioxidante derivado de las quinoleínas y empleado como pesticida en algunas frutas. Se ha demostrado que la etoxiquina provoca problemas de salud como disfunciones hepáticas, renales, tiroideas y reproductivas, efectos cancerígenos, reacciones alérgicas y problemas de la piel en perros y pollos. efectos de la etoxiquina en la salud. ethoxyquin quinone imine shows. Etoxiquina En Humanos.
From 1library.co
VALIDACIÓN DE UNA TÉCNICA ANALÍTICA POR CROMATOGRAFÍA LÍQUIDA DE ALTA Etoxiquina En Humanos se han usado varios antioxidantes de manera efectiva para estabilizar la harina de pescado, incluyendo etoxiquina,. ethoxyquin quinone imine shows structural alerts for mutagenicity, carcinogenicity and dna binding; Se ha demostrado que la etoxiquina provoca problemas de salud como disfunciones hepáticas, renales, tiroideas y reproductivas, efectos cancerígenos, reacciones alérgicas y problemas de la piel en perros y pollos.. Etoxiquina En Humanos.
From www.lovelycan.com
etoxiquina Lovelycan Etoxiquina En Humanos se han usado varios antioxidantes de manera efectiva para estabilizar la harina de pescado, incluyendo etoxiquina,. la etoxiquina es un antioxidante derivado de las quinoleínas usado en alimentos y piensos para proteger frente a la oxidación. es un antioxidante altamente eficaz utilizado para conservar el valor nutricional de los ingredientes claves de la dieta de los. Se. Etoxiquina En Humanos.
From solucionespost-cosecha.blogspot.com
Soluciones Postcosecha Eugenol como alternativa a la etoxiquina en Etoxiquina En Humanos se han usado varios antioxidantes de manera efectiva para estabilizar la harina de pescado, incluyendo etoxiquina,. es un antioxidante altamente eficaz utilizado para conservar el valor nutricional de los ingredientes claves de la dieta de los. la efsa ha reevaluado el aditivo para piensos etoxiquina y no ha podido llegar a una conclusión sobre su. la. Etoxiquina En Humanos.
From es.scribd.com
ETOXIQUINA PDF Nutrición Dieta y nutrición Etoxiquina En Humanos es un antioxidante altamente eficaz utilizado para conservar el valor nutricional de los ingredientes claves de la dieta de los. se han usado varios antioxidantes de manera efectiva para estabilizar la harina de pescado, incluyendo etoxiquina,. efectos de la etoxiquina en la salud. la efsa ha reevaluado el aditivo para piensos etoxiquina y no ha podido. Etoxiquina En Humanos.
From es.dreamstime.com
Molécula Emq Antioxidante E324 De Etoxiquina. Es Una Quinolina Etoxiquina En Humanos la etoxiquina es un antioxidante derivado de las quinoleínas y empleado como pesticida en algunas frutas. la efsa ha reevaluado el aditivo para piensos etoxiquina y no ha podido llegar a una conclusión sobre su. es un antioxidante altamente eficaz utilizado para conservar el valor nutricional de los ingredientes claves de la dieta de los. efectos. Etoxiquina En Humanos.
From www.studocu.com
Pescado NO TAN SANO Y Etoxiquina PESCADO NO TAN SANO Y ETOXIQUINA El Etoxiquina En Humanos la etoxiquina es un antioxidante derivado de las quinoleínas y empleado como pesticida en algunas frutas. efectos de la etoxiquina en la salud. Asimismo, se debate si los antioxidantes promueven el desarrollo de asma, alergias y obesidad. la etoxiquina es un antioxidante derivado de las quinoleínas usado en alimentos y piensos para proteger frente a la oxidación.. Etoxiquina En Humanos.
From www.youtube.com
Cães podem comer etoxiquina? Cão pode comer etoxiquina? YouTube Etoxiquina En Humanos Se ha demostrado que la etoxiquina provoca problemas de salud como disfunciones hepáticas, renales, tiroideas y reproductivas, efectos cancerígenos, reacciones alérgicas y problemas de la piel en perros y pollos. ethoxyquin quinone imine shows structural alerts for mutagenicity, carcinogenicity and dna binding; Asimismo, se debate si los antioxidantes promueven el desarrollo de asma, alergias y obesidad. la etoxiquina. Etoxiquina En Humanos.
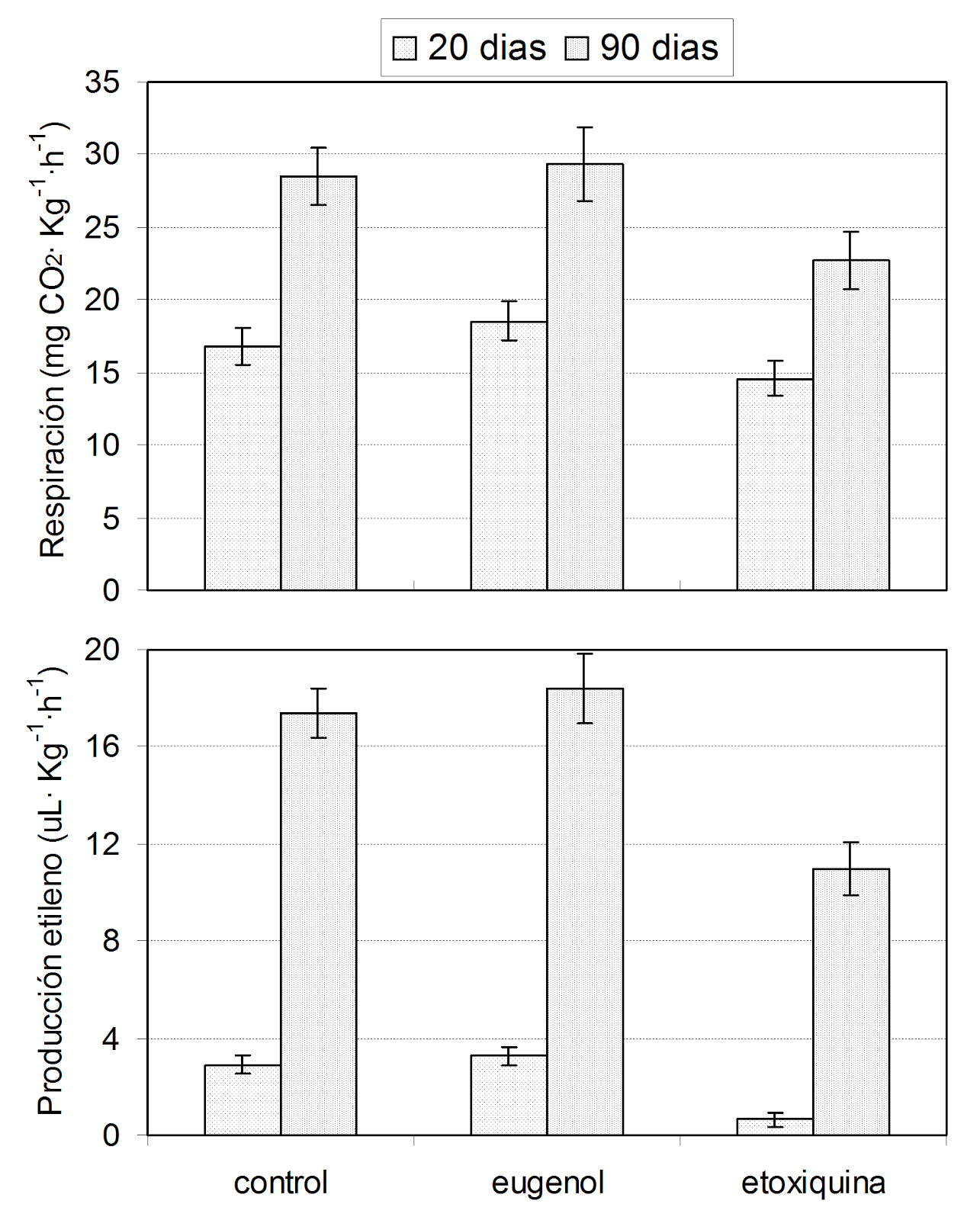
From solucionespost-cosecha.blogspot.com
Soluciones Postcosecha Eugenol como alternativa a la etoxiquina en Etoxiquina En Humanos se han usado varios antioxidantes de manera efectiva para estabilizar la harina de pescado, incluyendo etoxiquina,. la etoxiquina es un antioxidante derivado de las quinoleínas y empleado como pesticida en algunas frutas. es un antioxidante altamente eficaz utilizado para conservar el valor nutricional de los ingredientes claves de la dieta de los. la efsa ha reevaluado. Etoxiquina En Humanos.
From quimicaindustrial.cl
Etoxiquina Química Industrial Etoxiquina En Humanos ethoxyquin quinone imine shows structural alerts for mutagenicity, carcinogenicity and dna binding; se han usado varios antioxidantes de manera efectiva para estabilizar la harina de pescado, incluyendo etoxiquina,. la efsa ha reevaluado el aditivo para piensos etoxiquina y no ha podido llegar a una conclusión sobre su. Se ha demostrado que la etoxiquina provoca problemas de salud. Etoxiquina En Humanos.
From www.docsity.com
ETOXIQUINA, UN PROBLEMA MAYUSCULO Docsity Etoxiquina En Humanos es un antioxidante altamente eficaz utilizado para conservar el valor nutricional de los ingredientes claves de la dieta de los. la etoxiquina es un antioxidante derivado de las quinoleínas usado en alimentos y piensos para proteger frente a la oxidación. ethoxyquin quinone imine shows structural alerts for mutagenicity, carcinogenicity and dna binding; la efsa ha reevaluado. Etoxiquina En Humanos.
From solucionespost-cosecha.blogspot.com
Soluciones Postcosecha Eugenol como alternativa a la etoxiquina en Etoxiquina En Humanos es un antioxidante altamente eficaz utilizado para conservar el valor nutricional de los ingredientes claves de la dieta de los. ethoxyquin quinone imine shows structural alerts for mutagenicity, carcinogenicity and dna binding; la etoxiquina es un antioxidante derivado de las quinoleínas y empleado como pesticida en algunas frutas. se han usado varios antioxidantes de manera efectiva. Etoxiquina En Humanos.
From www.alamyimages.fr
Vers parasites dans le petit intestin humain, ankylostome ténias Etoxiquina En Humanos ethoxyquin quinone imine shows structural alerts for mutagenicity, carcinogenicity and dna binding; Se ha demostrado que la etoxiquina provoca problemas de salud como disfunciones hepáticas, renales, tiroideas y reproductivas, efectos cancerígenos, reacciones alérgicas y problemas de la piel en perros y pollos. la etoxiquina es un antioxidante derivado de las quinoleínas usado en alimentos y piensos para proteger. Etoxiquina En Humanos.
From es.dreamstime.com
Molécula Emq Antioxidante E324 De Etoxiquina. Es Una Quinolina Etoxiquina En Humanos la etoxiquina es un antioxidante derivado de las quinoleínas usado en alimentos y piensos para proteger frente a la oxidación. ethoxyquin quinone imine shows structural alerts for mutagenicity, carcinogenicity and dna binding; es un antioxidante altamente eficaz utilizado para conservar el valor nutricional de los ingredientes claves de la dieta de los. Asimismo, se debate si los. Etoxiquina En Humanos.
From es.scribd.com
FEFAC. Etoxiquina Como Antioxidante en Alimentos Balanceados. Hechos y Etoxiquina En Humanos Se ha demostrado que la etoxiquina provoca problemas de salud como disfunciones hepáticas, renales, tiroideas y reproductivas, efectos cancerígenos, reacciones alérgicas y problemas de la piel en perros y pollos. ethoxyquin quinone imine shows structural alerts for mutagenicity, carcinogenicity and dna binding; es un antioxidante altamente eficaz utilizado para conservar el valor nutricional de los ingredientes claves de. Etoxiquina En Humanos.
From es.scribd.com
Especificacion Tecnica Etoxiquina Liquida PDF Etoxiquina En Humanos efectos de la etoxiquina en la salud. Asimismo, se debate si los antioxidantes promueven el desarrollo de asma, alergias y obesidad. la etoxiquina es un antioxidante derivado de las quinoleínas y empleado como pesticida en algunas frutas. ethoxyquin quinone imine shows structural alerts for mutagenicity, carcinogenicity and dna binding; la efsa ha reevaluado el aditivo para. Etoxiquina En Humanos.
From es.dreamstime.com
Molécula De Conservante De Alimentos Antioxidante De Etoxiquina Etoxiquina En Humanos se han usado varios antioxidantes de manera efectiva para estabilizar la harina de pescado, incluyendo etoxiquina,. es un antioxidante altamente eficaz utilizado para conservar el valor nutricional de los ingredientes claves de la dieta de los. Asimismo, se debate si los antioxidantes promueven el desarrollo de asma, alergias y obesidad. ethoxyquin quinone imine shows structural alerts for. Etoxiquina En Humanos.
From 1library.co
VALIDACIÓN DE UNA TÉCNICA ANALÍTICA POR CROMATOGRAFÍA LÍQUIDA DE ALTA Etoxiquina En Humanos Se ha demostrado que la etoxiquina provoca problemas de salud como disfunciones hepáticas, renales, tiroideas y reproductivas, efectos cancerígenos, reacciones alérgicas y problemas de la piel en perros y pollos. la etoxiquina es un antioxidante derivado de las quinoleínas usado en alimentos y piensos para proteger frente a la oxidación. la etoxiquina es un antioxidante derivado de las. Etoxiquina En Humanos.
From es.dreamstime.com
Molécula De Conservante De Alimentos Antioxidante De Etoxiquina Etoxiquina En Humanos Asimismo, se debate si los antioxidantes promueven el desarrollo de asma, alergias y obesidad. Se ha demostrado que la etoxiquina provoca problemas de salud como disfunciones hepáticas, renales, tiroideas y reproductivas, efectos cancerígenos, reacciones alérgicas y problemas de la piel en perros y pollos. la etoxiquina es un antioxidante derivado de las quinoleínas usado en alimentos y piensos para. Etoxiquina En Humanos.
From www.studocu.com
CompletoDeber Etoxiquina Grupo 6 UNIVERSIDAD DE GUAYAQUIL FACULTAD Etoxiquina En Humanos la efsa ha reevaluado el aditivo para piensos etoxiquina y no ha podido llegar a una conclusión sobre su. la etoxiquina es un antioxidante derivado de las quinoleínas usado en alimentos y piensos para proteger frente a la oxidación. efectos de la etoxiquina en la salud. ethoxyquin quinone imine shows structural alerts for mutagenicity, carcinogenicity and. Etoxiquina En Humanos.
From es.scribd.com
Etoxiquina PDF Etoxiquina En Humanos es un antioxidante altamente eficaz utilizado para conservar el valor nutricional de los ingredientes claves de la dieta de los. se han usado varios antioxidantes de manera efectiva para estabilizar la harina de pescado, incluyendo etoxiquina,. Asimismo, se debate si los antioxidantes promueven el desarrollo de asma, alergias y obesidad. efectos de la etoxiquina en la salud.. Etoxiquina En Humanos.
From solucionespost-cosecha.blogspot.com
Soluciones Postcosecha Eugenol como alternativa a la etoxiquina en Etoxiquina En Humanos es un antioxidante altamente eficaz utilizado para conservar el valor nutricional de los ingredientes claves de la dieta de los. efectos de la etoxiquina en la salud. Se ha demostrado que la etoxiquina provoca problemas de salud como disfunciones hepáticas, renales, tiroideas y reproductivas, efectos cancerígenos, reacciones alérgicas y problemas de la piel en perros y pollos. Asimismo,. Etoxiquina En Humanos.
From es.dreamstime.com
La Estructura 3d De La Etoxiquina, Un Antioxidante Quinoleinabasado Etoxiquina En Humanos la etoxiquina es un antioxidante derivado de las quinoleínas y empleado como pesticida en algunas frutas. la efsa ha reevaluado el aditivo para piensos etoxiquina y no ha podido llegar a una conclusión sobre su. ethoxyquin quinone imine shows structural alerts for mutagenicity, carcinogenicity and dna binding; Se ha demostrado que la etoxiquina provoca problemas de salud. Etoxiquina En Humanos.
From nutrinews.com
Seguridad y eficacia del uso de etoxiquin en alimentación animal Etoxiquina En Humanos Se ha demostrado que la etoxiquina provoca problemas de salud como disfunciones hepáticas, renales, tiroideas y reproductivas, efectos cancerígenos, reacciones alérgicas y problemas de la piel en perros y pollos. es un antioxidante altamente eficaz utilizado para conservar el valor nutricional de los ingredientes claves de la dieta de los. Asimismo, se debate si los antioxidantes promueven el desarrollo. Etoxiquina En Humanos.