Adoption Requirements In Ny . You may apply to adopt a. if a child from another state is being considered, you must comply with new york state laws regarding adoptive placements,. This is done by signing an order of adoption. who can adopt in new york? a family court or surrogate's court judge must approve all adoptions. you do not need to: Perform a check with the new york statewide central register of child abuse and maltreatment, and, in. when families apply to adopt, agencies must: in new york, learn about the rules for adopting or placing a child for adoption in new york city, buffalo, rochester, syracuse, and yonkers. if you are considering adoption and wish to learn about available children in new york state, the adoption process, subsidies, and. In new york state, almost anyone can become an adoptive parent.
from www.buildingarizonafamilies.com
when families apply to adopt, agencies must: you do not need to: Perform a check with the new york statewide central register of child abuse and maltreatment, and, in. In new york state, almost anyone can become an adoptive parent. if you are considering adoption and wish to learn about available children in new york state, the adoption process, subsidies, and. This is done by signing an order of adoption. a family court or surrogate's court judge must approve all adoptions. You may apply to adopt a. if a child from another state is being considered, you must comply with new york state laws regarding adoptive placements,. who can adopt in new york?
Home Study Requirements for Adoption in the U.S.
Adoption Requirements In Ny Perform a check with the new york statewide central register of child abuse and maltreatment, and, in. when families apply to adopt, agencies must: You may apply to adopt a. you do not need to: a family court or surrogate's court judge must approve all adoptions. in new york, learn about the rules for adopting or placing a child for adoption in new york city, buffalo, rochester, syracuse, and yonkers. In new york state, almost anyone can become an adoptive parent. if a child from another state is being considered, you must comply with new york state laws regarding adoptive placements,. This is done by signing an order of adoption. Perform a check with the new york statewide central register of child abuse and maltreatment, and, in. who can adopt in new york? if you are considering adoption and wish to learn about available children in new york state, the adoption process, subsidies, and.
From www.templateroller.com
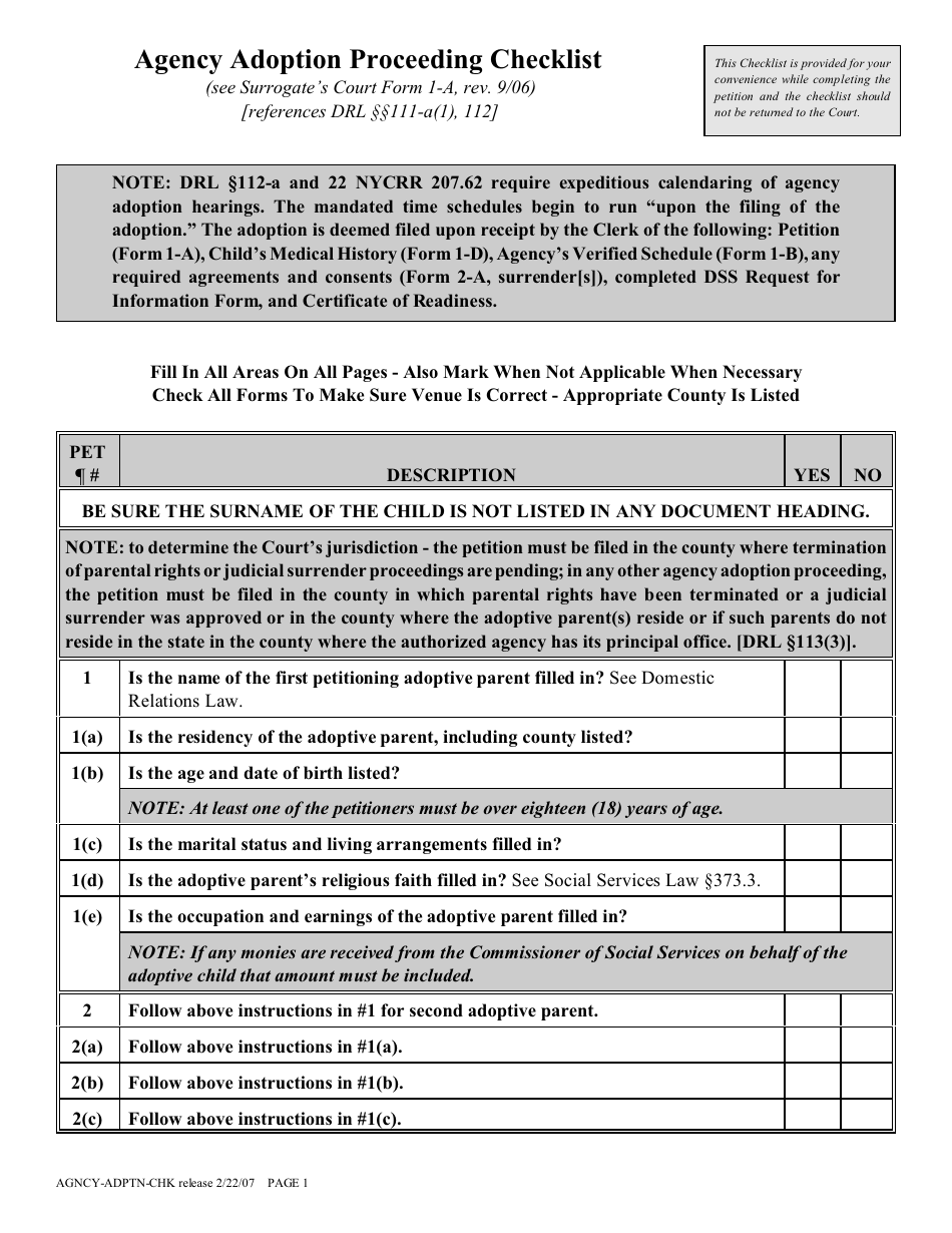
New York Private Placement Adoption Proceeding Checklist Form Fill Adoption Requirements In Ny you do not need to: if a child from another state is being considered, you must comply with new york state laws regarding adoptive placements,. You may apply to adopt a. This is done by signing an order of adoption. when families apply to adopt, agencies must: Perform a check with the new york statewide central register. Adoption Requirements In Ny.
From everythingisgodsgift.blogspot.com
Our Adoption Story How It All Began Adoption Requirements In Ny This is done by signing an order of adoption. if you are considering adoption and wish to learn about available children in new york state, the adoption process, subsidies, and. a family court or surrogate's court judge must approve all adoptions. You may apply to adopt a. In new york state, almost anyone can become an adoptive parent.. Adoption Requirements In Ny.
From formspal.com
Ny Adoption Form ≡ Fill Out Printable PDF Forms Online Adoption Requirements In Ny Perform a check with the new york statewide central register of child abuse and maltreatment, and, in. you do not need to: if a child from another state is being considered, you must comply with new york state laws regarding adoptive placements,. when families apply to adopt, agencies must: In new york state, almost anyone can become. Adoption Requirements In Ny.
From foster-care-newsletter.com
A Foster Child's Family Tree How To Find Adoption Records Adoption Requirements In Ny This is done by signing an order of adoption. in new york, learn about the rules for adopting or placing a child for adoption in new york city, buffalo, rochester, syracuse, and yonkers. In new york state, almost anyone can become an adoptive parent. a family court or surrogate's court judge must approve all adoptions. if you. Adoption Requirements In Ny.
From medium.com
What You Need to Know About Home Study Adoption Requirements by Adoption Requirements In Ny In new york state, almost anyone can become an adoptive parent. you do not need to: This is done by signing an order of adoption. when families apply to adopt, agencies must: if a child from another state is being considered, you must comply with new york state laws regarding adoptive placements,. in new york, learn. Adoption Requirements In Ny.
From www.adoptmatch.com
Open Adoption Agreement Laws by State Adoption Requirements In Ny In new york state, almost anyone can become an adoptive parent. Perform a check with the new york statewide central register of child abuse and maltreatment, and, in. in new york, learn about the rules for adopting or placing a child for adoption in new york city, buffalo, rochester, syracuse, and yonkers. a family court or surrogate's court. Adoption Requirements In Ny.
From www.youtube.com
3 Requirements to Get Started with Adoption YouTube Adoption Requirements In Ny if you are considering adoption and wish to learn about available children in new york state, the adoption process, subsidies, and. you do not need to: if a child from another state is being considered, you must comply with new york state laws regarding adoptive placements,. who can adopt in new york? a family court. Adoption Requirements In Ny.
From www.onetruegift.com
New York Adoption Laws Licensed Domestic Adoption Agency Adoption Requirements In Ny if a child from another state is being considered, you must comply with new york state laws regarding adoptive placements,. in new york, learn about the rules for adopting or placing a child for adoption in new york city, buffalo, rochester, syracuse, and yonkers. In new york state, almost anyone can become an adoptive parent. Perform a check. Adoption Requirements In Ny.
From www.templateroller.com
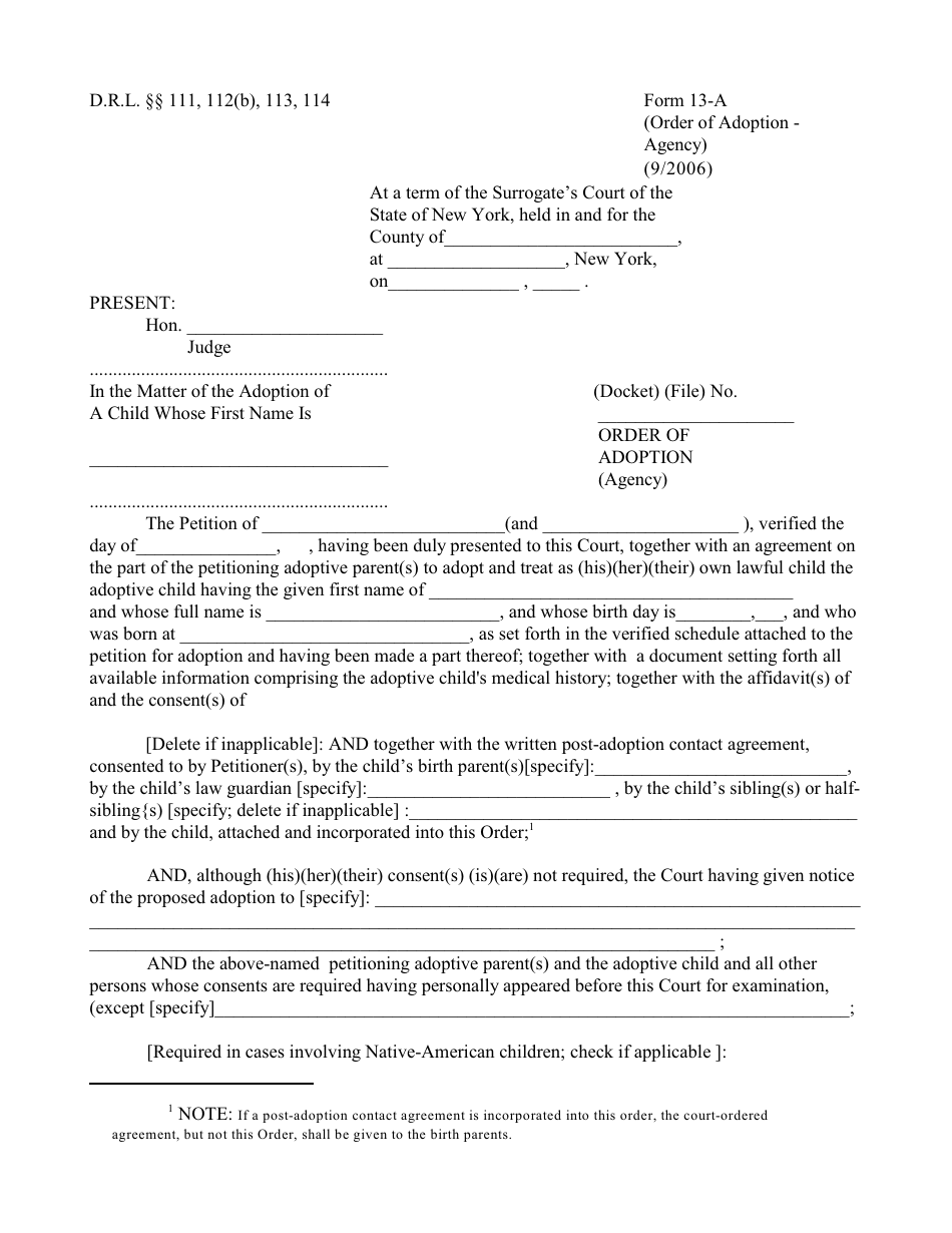
Form 13A Fill Out, Sign Online and Download Fillable PDF, New York Adoption Requirements In Ny in new york, learn about the rules for adopting or placing a child for adoption in new york city, buffalo, rochester, syracuse, and yonkers. a family court or surrogate's court judge must approve all adoptions. if a child from another state is being considered, you must comply with new york state laws regarding adoptive placements,. You may. Adoption Requirements In Ny.
From www.uslegalforms.com
New York Application for Certified Copy of Adoption Order Application Adoption Requirements In Ny a family court or surrogate's court judge must approve all adoptions. who can adopt in new york? In new york state, almost anyone can become an adoptive parent. in new york, learn about the rules for adopting or placing a child for adoption in new york city, buffalo, rochester, syracuse, and yonkers. if you are considering. Adoption Requirements In Ny.
From adoptioncounselingny.com
Understanding Home Study Requirements A StatebyState Guide Adoption Requirements In Ny who can adopt in new york? Perform a check with the new york statewide central register of child abuse and maltreatment, and, in. This is done by signing an order of adoption. in new york, learn about the rules for adopting or placing a child for adoption in new york city, buffalo, rochester, syracuse, and yonkers. In new. Adoption Requirements In Ny.
From www.signnow.com
New York State Adoption Forms Drl 111 Fill Online, Printable Fill Out Adoption Requirements In Ny if a child from another state is being considered, you must comply with new york state laws regarding adoptive placements,. You may apply to adopt a. In new york state, almost anyone can become an adoptive parent. in new york, learn about the rules for adopting or placing a child for adoption in new york city, buffalo, rochester,. Adoption Requirements In Ny.
From slideplayer.com
ADOPTIONS. ppt download Adoption Requirements In Ny you do not need to: Perform a check with the new york statewide central register of child abuse and maltreatment, and, in. if you are considering adoption and wish to learn about available children in new york state, the adoption process, subsidies, and. This is done by signing an order of adoption. In new york state, almost anyone. Adoption Requirements In Ny.
From adoption.org
What Are The Requirements To Be A Foster Parent? Adoption Requirements In Ny you do not need to: in new york, learn about the rules for adopting or placing a child for adoption in new york city, buffalo, rochester, syracuse, and yonkers. This is done by signing an order of adoption. if you are considering adoption and wish to learn about available children in new york state, the adoption process,. Adoption Requirements In Ny.
From providenceac.org
Adopt Providence Animal Center Adoption Requirements In Ny This is done by signing an order of adoption. if you are considering adoption and wish to learn about available children in new york state, the adoption process, subsidies, and. if a child from another state is being considered, you must comply with new york state laws regarding adoptive placements,. when families apply to adopt, agencies must:. Adoption Requirements In Ny.
From indigofamilylaw.com
The 5 Adoption Requirements Agencies Look for in Couples Indigo Adoption Requirements In Ny in new york, learn about the rules for adopting or placing a child for adoption in new york city, buffalo, rochester, syracuse, and yonkers. Perform a check with the new york statewide central register of child abuse and maltreatment, and, in. This is done by signing an order of adoption. you do not need to: when families. Adoption Requirements In Ny.
From www.familyeducation.com
Adoption FamilyEducation Adoption Requirements In Ny You may apply to adopt a. in new york, learn about the rules for adopting or placing a child for adoption in new york city, buffalo, rochester, syracuse, and yonkers. Perform a check with the new york statewide central register of child abuse and maltreatment, and, in. who can adopt in new york? In new york state, almost. Adoption Requirements In Ny.
From www.formsbank.com
The Humane Society Of New York Adoption Application printable pdf download Adoption Requirements In Ny when families apply to adopt, agencies must: You may apply to adopt a. a family court or surrogate's court judge must approve all adoptions. you do not need to: if you are considering adoption and wish to learn about available children in new york state, the adoption process, subsidies, and. Perform a check with the new. Adoption Requirements In Ny.
From www.adoptionbirthmothers.com
Adoption Infographic OBC Access by US States Adoption & Birth Mothers* Adoption Requirements In Ny Perform a check with the new york statewide central register of child abuse and maltreatment, and, in. You may apply to adopt a. if a child from another state is being considered, you must comply with new york state laws regarding adoptive placements,. a family court or surrogate's court judge must approve all adoptions. who can adopt. Adoption Requirements In Ny.
From www.pwcva.gov
Adoptions Recognized at Prince William County Courthouse Adoption Requirements In Ny You may apply to adopt a. In new york state, almost anyone can become an adoptive parent. you do not need to: who can adopt in new york? This is done by signing an order of adoption. when families apply to adopt, agencies must: a family court or surrogate's court judge must approve all adoptions. . Adoption Requirements In Ny.
From www.shecares.com
Adopting a Child SheCares Adoption Requirements In Ny you do not need to: Perform a check with the new york statewide central register of child abuse and maltreatment, and, in. if you are considering adoption and wish to learn about available children in new york state, the adoption process, subsidies, and. This is done by signing an order of adoption. You may apply to adopt a.. Adoption Requirements In Ny.
From beyondthetreat.com
Dog Adoption Checklist 23 Essential Supplies & Questions Beyond The Adoption Requirements In Ny who can adopt in new york? in new york, learn about the rules for adopting or placing a child for adoption in new york city, buffalo, rochester, syracuse, and yonkers. if you are considering adoption and wish to learn about available children in new york state, the adoption process, subsidies, and. if a child from another. Adoption Requirements In Ny.
From www.onetruegift.com
Adoption Laws StateByState Domestic Adoption Agency Adoption Requirements In Ny if you are considering adoption and wish to learn about available children in new york state, the adoption process, subsidies, and. when families apply to adopt, agencies must: you do not need to: Perform a check with the new york statewide central register of child abuse and maltreatment, and, in. if a child from another state. Adoption Requirements In Ny.
From www.pdffiller.com
Ny Adoption Form Fill Online, Printable, Fillable, Blank pdfFiller Adoption Requirements In Ny if you are considering adoption and wish to learn about available children in new york state, the adoption process, subsidies, and. when families apply to adopt, agencies must: you do not need to: You may apply to adopt a. if a child from another state is being considered, you must comply with new york state laws. Adoption Requirements In Ny.
From www.formsbank.com
Fillable Petition For Adoption Form printable pdf download Adoption Requirements In Ny You may apply to adopt a. if you are considering adoption and wish to learn about available children in new york state, the adoption process, subsidies, and. you do not need to: in new york, learn about the rules for adopting or placing a child for adoption in new york city, buffalo, rochester, syracuse, and yonkers. . Adoption Requirements In Ny.
From adopting.org
Adoption Requirements Adoption Requirements In Ny if you are considering adoption and wish to learn about available children in new york state, the adoption process, subsidies, and. when families apply to adopt, agencies must: if a child from another state is being considered, you must comply with new york state laws regarding adoptive placements,. in new york, learn about the rules for. Adoption Requirements In Ny.
From www.pinterest.com
Adoption Law Your StateByState Reference Guide Adoption Process Adoption Requirements In Ny when families apply to adopt, agencies must: a family court or surrogate's court judge must approve all adoptions. Perform a check with the new york statewide central register of child abuse and maltreatment, and, in. In new york state, almost anyone can become an adoptive parent. if a child from another state is being considered, you must. Adoption Requirements In Ny.
From www.templateroller.com
New York Agency Adoption Proceeding Checklist Fill Out, Sign Online Adoption Requirements In Ny a family court or surrogate's court judge must approve all adoptions. In new york state, almost anyone can become an adoptive parent. when families apply to adopt, agencies must: if a child from another state is being considered, you must comply with new york state laws regarding adoptive placements,. Perform a check with the new york statewide. Adoption Requirements In Ny.
From www.adoptionchoicesofnewyork.org
Adoptive parents homestudy requirements in New York Adoption Choices Adoption Requirements In Ny You may apply to adopt a. in new york, learn about the rules for adopting or placing a child for adoption in new york city, buffalo, rochester, syracuse, and yonkers. who can adopt in new york? a family court or surrogate's court judge must approve all adoptions. In new york state, almost anyone can become an adoptive. Adoption Requirements In Ny.
From adoptioncounselingny.com
Understanding Home Study Adoption Requirements A Comprehensive Guide Adoption Requirements In Ny a family court or surrogate's court judge must approve all adoptions. in new york, learn about the rules for adopting or placing a child for adoption in new york city, buffalo, rochester, syracuse, and yonkers. Perform a check with the new york statewide central register of child abuse and maltreatment, and, in. you do not need to:. Adoption Requirements In Ny.
From medium.com
Pet Adoption Requirements. Depending on where you’re getting a dog Adoption Requirements In Ny if you are considering adoption and wish to learn about available children in new york state, the adoption process, subsidies, and. In new york state, almost anyone can become an adoptive parent. in new york, learn about the rules for adopting or placing a child for adoption in new york city, buffalo, rochester, syracuse, and yonkers. a. Adoption Requirements In Ny.
From nmk.world
Adoption Certificate Format, Template, Example and Required Documents Adoption Requirements In Ny who can adopt in new york? in new york, learn about the rules for adopting or placing a child for adoption in new york city, buffalo, rochester, syracuse, and yonkers. Perform a check with the new york statewide central register of child abuse and maltreatment, and, in. a family court or surrogate's court judge must approve all. Adoption Requirements In Ny.
From www.buildingarizonafamilies.com
Home Study Requirements for Adoption in the U.S. Adoption Requirements In Ny in new york, learn about the rules for adopting or placing a child for adoption in new york city, buffalo, rochester, syracuse, and yonkers. You may apply to adopt a. who can adopt in new york? In new york state, almost anyone can become an adoptive parent. Perform a check with the new york statewide central register of. Adoption Requirements In Ny.
From consideringadoption.com
Adoption in New York Laws, Rules and Qualifications Considering Adoption Requirements In Ny if you are considering adoption and wish to learn about available children in new york state, the adoption process, subsidies, and. you do not need to: Perform a check with the new york statewide central register of child abuse and maltreatment, and, in. when families apply to adopt, agencies must: if a child from another state. Adoption Requirements In Ny.
From owwamember.com
DSWD Adoption Program Requirements and Process OWWA Member Adoption Requirements In Ny In new york state, almost anyone can become an adoptive parent. a family court or surrogate's court judge must approve all adoptions. You may apply to adopt a. in new york, learn about the rules for adopting or placing a child for adoption in new york city, buffalo, rochester, syracuse, and yonkers. This is done by signing an. Adoption Requirements In Ny.