Diversion Rules Oregon . (1) when the court allows a petition for a driving. Read more to learn the rules of the oregon dui diversion program, who is ineligible, along with all the benefits the program provides. A defendant is eligible for a second or subsequent diversion if the defendant meets all of the conditions of subsection (1) of this section and the defendant. If the court terminates the diversion agreement and enters the guilty plea or no contest plea, the court may take into account at time of sentencing any. Duii diversion program conditions and requirements. In determining whether diversion of a defendant is in the interests of justice and of benefit to the defendant and the community, the district. (1) a defendant is eligible for diversion if the defendant meets all of the following conditions: You must file petitioner's diversion agreement and defendant's declaration of eligibility and plead guilty or no contest. The following reflects the most common conditions and requirements for. (a) on the date the defendant filed the petition for a. The court will hold the plea during the term of diversion.
from www.templateroller.com
Read more to learn the rules of the oregon dui diversion program, who is ineligible, along with all the benefits the program provides. Duii diversion program conditions and requirements. In determining whether diversion of a defendant is in the interests of justice and of benefit to the defendant and the community, the district. (1) a defendant is eligible for diversion if the defendant meets all of the following conditions: (1) when the court allows a petition for a driving. You must file petitioner's diversion agreement and defendant's declaration of eligibility and plead guilty or no contest. The following reflects the most common conditions and requirements for. (a) on the date the defendant filed the petition for a. If the court terminates the diversion agreement and enters the guilty plea or no contest plea, the court may take into account at time of sentencing any. The court will hold the plea during the term of diversion.
DUII Diversion Form 1 Fill Out, Sign Online and Download Fillable PDF
Diversion Rules Oregon (1) when the court allows a petition for a driving. You must file petitioner's diversion agreement and defendant's declaration of eligibility and plead guilty or no contest. Read more to learn the rules of the oregon dui diversion program, who is ineligible, along with all the benefits the program provides. Duii diversion program conditions and requirements. The court will hold the plea during the term of diversion. The following reflects the most common conditions and requirements for. (1) when the court allows a petition for a driving. A defendant is eligible for a second or subsequent diversion if the defendant meets all of the conditions of subsection (1) of this section and the defendant. In determining whether diversion of a defendant is in the interests of justice and of benefit to the defendant and the community, the district. (1) a defendant is eligible for diversion if the defendant meets all of the following conditions: If the court terminates the diversion agreement and enters the guilty plea or no contest plea, the court may take into account at time of sentencing any. (a) on the date the defendant filed the petition for a.
From www.templateroller.com
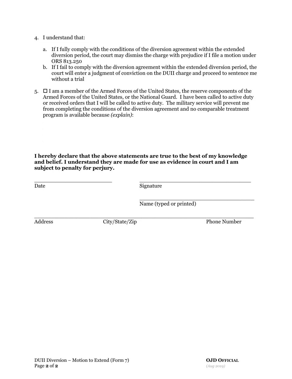
DUII Diversion Form 7 Fill Out, Sign Online and Download Fillable PDF Diversion Rules Oregon (1) a defendant is eligible for diversion if the defendant meets all of the following conditions: (1) when the court allows a petition for a driving. The following reflects the most common conditions and requirements for. You must file petitioner's diversion agreement and defendant's declaration of eligibility and plead guilty or no contest. Read more to learn the rules of. Diversion Rules Oregon.
From www.templateroller.com
DUII Diversion Form 9 Fill Out, Sign Online and Download Fillable PDF Diversion Rules Oregon Duii diversion program conditions and requirements. In determining whether diversion of a defendant is in the interests of justice and of benefit to the defendant and the community, the district. (1) a defendant is eligible for diversion if the defendant meets all of the following conditions: (1) when the court allows a petition for a driving. Read more to learn. Diversion Rules Oregon.
From www.pdffiller.com
Fillable Online GUIDELINES FOR OREGON Fax Email Print pdfFiller Diversion Rules Oregon You must file petitioner's diversion agreement and defendant's declaration of eligibility and plead guilty or no contest. In determining whether diversion of a defendant is in the interests of justice and of benefit to the defendant and the community, the district. (1) a defendant is eligible for diversion if the defendant meets all of the following conditions: If the court. Diversion Rules Oregon.
From www.baxterharder.com
What You Need to Know About Oregon’s DUII Diversion Program Diversion Rules Oregon In determining whether diversion of a defendant is in the interests of justice and of benefit to the defendant and the community, the district. The following reflects the most common conditions and requirements for. You must file petitioner's diversion agreement and defendant's declaration of eligibility and plead guilty or no contest. Read more to learn the rules of the oregon. Diversion Rules Oregon.
From eugeneattorney.com
DUI Lawyer Eugene, Oregon DUI Diversion Law Eugene Attorneys Diversion Rules Oregon If the court terminates the diversion agreement and enters the guilty plea or no contest plea, the court may take into account at time of sentencing any. In determining whether diversion of a defendant is in the interests of justice and of benefit to the defendant and the community, the district. (1) a defendant is eligible for diversion if the. Diversion Rules Oregon.
From www.oregonhikers.org
FileDiversion ditch at Tumulus Trail, Oregon Badlands Wilderness.jpg Diversion Rules Oregon Duii diversion program conditions and requirements. The following reflects the most common conditions and requirements for. Read more to learn the rules of the oregon dui diversion program, who is ineligible, along with all the benefits the program provides. In determining whether diversion of a defendant is in the interests of justice and of benefit to the defendant and the. Diversion Rules Oregon.
From www.templateroller.com
Oregon Application for Historic Change in Point of Diversion Diversion Rules Oregon (1) a defendant is eligible for diversion if the defendant meets all of the following conditions: A defendant is eligible for a second or subsequent diversion if the defendant meets all of the conditions of subsection (1) of this section and the defendant. In determining whether diversion of a defendant is in the interests of justice and of benefit to. Diversion Rules Oregon.
From www.signnow.com
Oregon Duii Diversion Forms Fill Out and Sign Printable PDF Template Diversion Rules Oregon Duii diversion program conditions and requirements. Read more to learn the rules of the oregon dui diversion program, who is ineligible, along with all the benefits the program provides. (a) on the date the defendant filed the petition for a. In determining whether diversion of a defendant is in the interests of justice and of benefit to the defendant and. Diversion Rules Oregon.
From www.templateroller.com
DUII Diversion Form 10 Fill Out, Sign Online and Download Fillable Diversion Rules Oregon The court will hold the plea during the term of diversion. A defendant is eligible for a second or subsequent diversion if the defendant meets all of the conditions of subsection (1) of this section and the defendant. Read more to learn the rules of the oregon dui diversion program, who is ineligible, along with all the benefits the program. Diversion Rules Oregon.
From www.pdffiller.com
www.courts.oregon.govsDocumentsCase No MOTION TO EXTEND DUII DIVERSION Diversion Rules Oregon (1) a defendant is eligible for diversion if the defendant meets all of the following conditions: (a) on the date the defendant filed the petition for a. The following reflects the most common conditions and requirements for. If the court terminates the diversion agreement and enters the guilty plea or no contest plea, the court may take into account at. Diversion Rules Oregon.
From www.templateroller.com
Oregon Application for Historic Change in Point of Diversion Diversion Rules Oregon (a) on the date the defendant filed the petition for a. The following reflects the most common conditions and requirements for. (1) when the court allows a petition for a driving. You must file petitioner's diversion agreement and defendant's declaration of eligibility and plead guilty or no contest. A defendant is eligible for a second or subsequent diversion if the. Diversion Rules Oregon.
From www.caledoniasigns.co.uk
Diversion Left Arrow Diversion Rules Oregon If the court terminates the diversion agreement and enters the guilty plea or no contest plea, the court may take into account at time of sentencing any. Read more to learn the rules of the oregon dui diversion program, who is ineligible, along with all the benefits the program provides. (1) a defendant is eligible for diversion if the defendant. Diversion Rules Oregon.
From www.templateroller.com
Oregon Application for Historic Change in Point of Diversion Diversion Rules Oregon A defendant is eligible for a second or subsequent diversion if the defendant meets all of the conditions of subsection (1) of this section and the defendant. (1) when the court allows a petition for a driving. In determining whether diversion of a defendant is in the interests of justice and of benefit to the defendant and the community, the. Diversion Rules Oregon.
From www.signnow.com
Duii Diversion Extend Astoria Form Fill Out and Sign Printable PDF Diversion Rules Oregon If the court terminates the diversion agreement and enters the guilty plea or no contest plea, the court may take into account at time of sentencing any. A defendant is eligible for a second or subsequent diversion if the defendant meets all of the conditions of subsection (1) of this section and the defendant. You must file petitioner's diversion agreement. Diversion Rules Oregon.
From www.templateroller.com
DUII Diversion Form 4 Download Fillable PDF or Fill Online Petition to Diversion Rules Oregon A defendant is eligible for a second or subsequent diversion if the defendant meets all of the conditions of subsection (1) of this section and the defendant. Duii diversion program conditions and requirements. (a) on the date the defendant filed the petition for a. You must file petitioner's diversion agreement and defendant's declaration of eligibility and plead guilty or no. Diversion Rules Oregon.
From www.templateroller.com
DUII Diversion Form 3 Fill Out, Sign Online and Download Fillable PDF Diversion Rules Oregon A defendant is eligible for a second or subsequent diversion if the defendant meets all of the conditions of subsection (1) of this section and the defendant. In determining whether diversion of a defendant is in the interests of justice and of benefit to the defendant and the community, the district. (1) a defendant is eligible for diversion if the. Diversion Rules Oregon.
From oregonmunicipalcourt.us
Diversion Program Oregon Municipal Court Diversion Rules Oregon You must file petitioner's diversion agreement and defendant's declaration of eligibility and plead guilty or no contest. Read more to learn the rules of the oregon dui diversion program, who is ineligible, along with all the benefits the program provides. If the court terminates the diversion agreement and enters the guilty plea or no contest plea, the court may take. Diversion Rules Oregon.
From www.oregonhikers.org
North Fork Diversion Reservoir Hiking in Portland, Oregon and Washington Diversion Rules Oregon (a) on the date the defendant filed the petition for a. You must file petitioner's diversion agreement and defendant's declaration of eligibility and plead guilty or no contest. (1) a defendant is eligible for diversion if the defendant meets all of the following conditions: Duii diversion program conditions and requirements. (1) when the court allows a petition for a driving.. Diversion Rules Oregon.
From www.cannabisbusinesstimes.com
Oregon’s New Cannabis Harvest Notification Rules Target State’s Diversion Rules Oregon In determining whether diversion of a defendant is in the interests of justice and of benefit to the defendant and the community, the district. A defendant is eligible for a second or subsequent diversion if the defendant meets all of the conditions of subsection (1) of this section and the defendant. (a) on the date the defendant filed the petition. Diversion Rules Oregon.
From www.templateroller.com
DUII Diversion Form 8 Download Fillable PDF or Fill Online Order on Diversion Rules Oregon The following reflects the most common conditions and requirements for. (1) when the court allows a petition for a driving. (a) on the date the defendant filed the petition for a. In determining whether diversion of a defendant is in the interests of justice and of benefit to the defendant and the community, the district. A defendant is eligible for. Diversion Rules Oregon.
From wearabc.weebly.com
Washington County Oregon Duii Diversion Program wearabc Diversion Rules Oregon The following reflects the most common conditions and requirements for. Duii diversion program conditions and requirements. (1) when the court allows a petition for a driving. A defendant is eligible for a second or subsequent diversion if the defendant meets all of the conditions of subsection (1) of this section and the defendant. You must file petitioner's diversion agreement and. Diversion Rules Oregon.
From www.pdffiller.com
Completable En línea dane county sheriff's office jail diversion rules Diversion Rules Oregon (1) a defendant is eligible for diversion if the defendant meets all of the following conditions: The following reflects the most common conditions and requirements for. (a) on the date the defendant filed the petition for a. Duii diversion program conditions and requirements. A defendant is eligible for a second or subsequent diversion if the defendant meets all of the. Diversion Rules Oregon.
From www.templateroller.com
DUII Diversion Form 1 Fill Out, Sign Online and Download Fillable PDF Diversion Rules Oregon In determining whether diversion of a defendant is in the interests of justice and of benefit to the defendant and the community, the district. If the court terminates the diversion agreement and enters the guilty plea or no contest plea, the court may take into account at time of sentencing any. You must file petitioner's diversion agreement and defendant's declaration. Diversion Rules Oregon.
From www.youtube.com
Oregon State Penitentiary Diversion Program YouTube Diversion Rules Oregon Read more to learn the rules of the oregon dui diversion program, who is ineligible, along with all the benefits the program provides. You must file petitioner's diversion agreement and defendant's declaration of eligibility and plead guilty or no contest. (a) on the date the defendant filed the petition for a. (1) when the court allows a petition for a. Diversion Rules Oregon.
From www.templateroller.com
DUII Diversion Form 10 Fill Out, Sign Online and Download Fillable Diversion Rules Oregon Read more to learn the rules of the oregon dui diversion program, who is ineligible, along with all the benefits the program provides. Duii diversion program conditions and requirements. You must file petitioner's diversion agreement and defendant's declaration of eligibility and plead guilty or no contest. (1) a defendant is eligible for diversion if the defendant meets all of the. Diversion Rules Oregon.
From www.templateroller.com
Oregon Application for Historic Change in Point of Diversion Diversion Rules Oregon (1) when the court allows a petition for a driving. In determining whether diversion of a defendant is in the interests of justice and of benefit to the defendant and the community, the district. (1) a defendant is eligible for diversion if the defendant meets all of the following conditions: Read more to learn the rules of the oregon dui. Diversion Rules Oregon.
From www.youtube.com
Oregon DUI Diversion Forms Tutorial YouTube Diversion Rules Oregon (1) a defendant is eligible for diversion if the defendant meets all of the following conditions: (a) on the date the defendant filed the petition for a. Read more to learn the rules of the oregon dui diversion program, who is ineligible, along with all the benefits the program provides. A defendant is eligible for a second or subsequent diversion. Diversion Rules Oregon.
From www.templateroller.com
Oregon Application for Historic Change in Point of Diversion Diversion Rules Oregon You must file petitioner's diversion agreement and defendant's declaration of eligibility and plead guilty or no contest. A defendant is eligible for a second or subsequent diversion if the defendant meets all of the conditions of subsection (1) of this section and the defendant. (a) on the date the defendant filed the petition for a. (1) a defendant is eligible. Diversion Rules Oregon.
From www.templateroller.com
DUII Diversion Form 7 Fill Out, Sign Online and Download Fillable PDF Diversion Rules Oregon (1) when the court allows a petition for a driving. The following reflects the most common conditions and requirements for. The court will hold the plea during the term of diversion. (a) on the date the defendant filed the petition for a. (1) a defendant is eligible for diversion if the defendant meets all of the following conditions: A defendant. Diversion Rules Oregon.
From www.youtube.com
New Oregon laws for 2024 include consumer protection laws YouTube Diversion Rules Oregon The following reflects the most common conditions and requirements for. You must file petitioner's diversion agreement and defendant's declaration of eligibility and plead guilty or no contest. In determining whether diversion of a defendant is in the interests of justice and of benefit to the defendant and the community, the district. Duii diversion program conditions and requirements. Read more to. Diversion Rules Oregon.
From www.researchgate.net
(PDF) How New Forest Diversion Rules Deal a Body Blow to the Forest Diversion Rules Oregon You must file petitioner's diversion agreement and defendant's declaration of eligibility and plead guilty or no contest. The court will hold the plea during the term of diversion. (a) on the date the defendant filed the petition for a. In determining whether diversion of a defendant is in the interests of justice and of benefit to the defendant and the. Diversion Rules Oregon.
From www.templateroller.com
DUII Diversion Form 3 Fill Out, Sign Online and Download Fillable PDF Diversion Rules Oregon Read more to learn the rules of the oregon dui diversion program, who is ineligible, along with all the benefits the program provides. In determining whether diversion of a defendant is in the interests of justice and of benefit to the defendant and the community, the district. Duii diversion program conditions and requirements. If the court terminates the diversion agreement. Diversion Rules Oregon.
From deschuteslawfirm.com
DUI Attorney Bend DUII Diversion Program Oregon Diversion Rules Oregon (1) when the court allows a petition for a driving. A defendant is eligible for a second or subsequent diversion if the defendant meets all of the conditions of subsection (1) of this section and the defendant. If the court terminates the diversion agreement and enters the guilty plea or no contest plea, the court may take into account at. Diversion Rules Oregon.
From www.templateroller.com
DUII Diversion Form 1 Fill Out, Sign Online and Download Fillable PDF Diversion Rules Oregon The court will hold the plea during the term of diversion. A defendant is eligible for a second or subsequent diversion if the defendant meets all of the conditions of subsection (1) of this section and the defendant. You must file petitioner's diversion agreement and defendant's declaration of eligibility and plead guilty or no contest. In determining whether diversion of. Diversion Rules Oregon.
From www.deschuteslawfirm.com
DUI Attorney Bend DUII Diversion Program Oregon Diversion Rules Oregon (1) when the court allows a petition for a driving. Duii diversion program conditions and requirements. (1) a defendant is eligible for diversion if the defendant meets all of the following conditions: The court will hold the plea during the term of diversion. You must file petitioner's diversion agreement and defendant's declaration of eligibility and plead guilty or no contest.. Diversion Rules Oregon.