Iron Iii Hydroxide Balanced Equation . Derive chemical equations from narrative descriptions of chemical reactions. To balance a chemical equation, enter an equation of a chemical reaction and press the balance button. Write a balanced chemical equation for the reactions given below: Let's balance this equation using the inspection method. Write and balance chemical equations in molecular, total. When hydrogen gas reacts is combined with oxygen gas and the mixture. 1 fe(oh) 3 + 1 h 2 = 1 h 2 o + 1 fe for each. The reactants are iron (fe), oxygen (o 2) and water (h 2 o), and the product is iron (iii) hydroxide fe (oh) 3, so fe + o 2 + h 2 o → fe. The balanced equation will appear. The solid sodium reacts with liquid water to produce. In this video we'll balance the equation fe (oh)3 = fe2o3 + h2o. This equation represents the reaction that takes place when sodium metal is placed in water. First, we set all coefficients to 1: So including state symbols, our balanced net ionic equation for the formation of iron(iii) hydroxide from.
from www.youtube.com
First, we set all coefficients to 1: When hydrogen gas reacts is combined with oxygen gas and the mixture. The reactants are iron (fe), oxygen (o 2) and water (h 2 o), and the product is iron (iii) hydroxide fe (oh) 3, so fe + o 2 + h 2 o → fe. 1 fe(oh) 3 + 1 h 2 = 1 h 2 o + 1 fe for each. In this video we'll balance the equation fe (oh)3 = fe2o3 + h2o. Derive chemical equations from narrative descriptions of chemical reactions. Let's balance this equation using the inspection method. The balanced equation will appear. Write a balanced chemical equation for the reactions given below: So including state symbols, our balanced net ionic equation for the formation of iron(iii) hydroxide from.
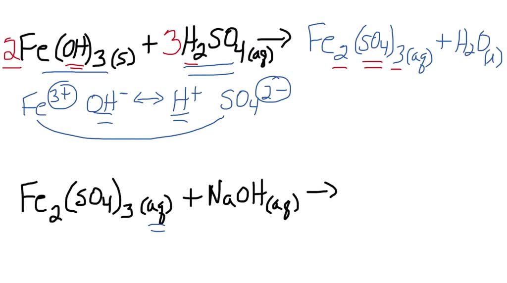
NaOH+FeCl3=Fe(OH)3+NaCl Balanced EquationSodium hydroxide+Iron(iii
Iron Iii Hydroxide Balanced Equation Derive chemical equations from narrative descriptions of chemical reactions. To balance a chemical equation, enter an equation of a chemical reaction and press the balance button. This equation represents the reaction that takes place when sodium metal is placed in water. The balanced equation will appear. Let's balance this equation using the inspection method. So including state symbols, our balanced net ionic equation for the formation of iron(iii) hydroxide from. The solid sodium reacts with liquid water to produce. First, we set all coefficients to 1: Derive chemical equations from narrative descriptions of chemical reactions. Write a balanced chemical equation for the reactions given below: In this video we'll balance the equation fe (oh)3 = fe2o3 + h2o. 1 fe(oh) 3 + 1 h 2 = 1 h 2 o + 1 fe for each. Write and balance chemical equations in molecular, total. The reactants are iron (fe), oxygen (o 2) and water (h 2 o), and the product is iron (iii) hydroxide fe (oh) 3, so fe + o 2 + h 2 o → fe. When hydrogen gas reacts is combined with oxygen gas and the mixture.
From slideplayer.com
Balancing Chemical equations ppt download Iron Iii Hydroxide Balanced Equation Write a balanced chemical equation for the reactions given below: So including state symbols, our balanced net ionic equation for the formation of iron(iii) hydroxide from. The balanced equation will appear. This equation represents the reaction that takes place when sodium metal is placed in water. To balance a chemical equation, enter an equation of a chemical reaction and press. Iron Iii Hydroxide Balanced Equation.
From slideplayer.com
Balancing Chemical equations ppt download Iron Iii Hydroxide Balanced Equation Write and balance chemical equations in molecular, total. The reactants are iron (fe), oxygen (o 2) and water (h 2 o), and the product is iron (iii) hydroxide fe (oh) 3, so fe + o 2 + h 2 o → fe. In this video we'll balance the equation fe (oh)3 = fe2o3 + h2o. When hydrogen gas reacts is. Iron Iii Hydroxide Balanced Equation.
From www.numerade.com
SOLVED Write the balanced chemical equation for the reaction of Iron Iii Hydroxide Balanced Equation So including state symbols, our balanced net ionic equation for the formation of iron(iii) hydroxide from. Write and balance chemical equations in molecular, total. When hydrogen gas reacts is combined with oxygen gas and the mixture. The reactants are iron (fe), oxygen (o 2) and water (h 2 o), and the product is iron (iii) hydroxide fe (oh) 3, so. Iron Iii Hydroxide Balanced Equation.
From www.chegg.com
Solved 7. Determine the mass of iron(III) hydroxide which Iron Iii Hydroxide Balanced Equation First, we set all coefficients to 1: The solid sodium reacts with liquid water to produce. To balance a chemical equation, enter an equation of a chemical reaction and press the balance button. Write and balance chemical equations in molecular, total. Let's balance this equation using the inspection method. So including state symbols, our balanced net ionic equation for the. Iron Iii Hydroxide Balanced Equation.
From www.youtube.com
Gas stoichiometry of iron(III) hydroxide YouTube Iron Iii Hydroxide Balanced Equation The balanced equation will appear. Derive chemical equations from narrative descriptions of chemical reactions. Let's balance this equation using the inspection method. The solid sodium reacts with liquid water to produce. The reactants are iron (fe), oxygen (o 2) and water (h 2 o), and the product is iron (iii) hydroxide fe (oh) 3, so fe + o 2 +. Iron Iii Hydroxide Balanced Equation.
From www.youtube.com
How to Write the Formula for Iron (III) hydroxide YouTube Iron Iii Hydroxide Balanced Equation The reactants are iron (fe), oxygen (o 2) and water (h 2 o), and the product is iron (iii) hydroxide fe (oh) 3, so fe + o 2 + h 2 o → fe. When hydrogen gas reacts is combined with oxygen gas and the mixture. Write and balance chemical equations in molecular, total. Derive chemical equations from narrative descriptions. Iron Iii Hydroxide Balanced Equation.
From www.numerade.com
SOLVED 13. iron(III) nitrate (aq) sodium hydroxide (aq) Observation Iron Iii Hydroxide Balanced Equation Derive chemical equations from narrative descriptions of chemical reactions. This equation represents the reaction that takes place when sodium metal is placed in water. The solid sodium reacts with liquid water to produce. When hydrogen gas reacts is combined with oxygen gas and the mixture. First, we set all coefficients to 1: In this video we'll balance the equation fe. Iron Iii Hydroxide Balanced Equation.
From www.chegg.com
Solved Problem Set Chapter 8 1. Solid iron(III) hydroxide Iron Iii Hydroxide Balanced Equation 1 fe(oh) 3 + 1 h 2 = 1 h 2 o + 1 fe for each. So including state symbols, our balanced net ionic equation for the formation of iron(iii) hydroxide from. Derive chemical equations from narrative descriptions of chemical reactions. When hydrogen gas reacts is combined with oxygen gas and the mixture. Write a balanced chemical equation for. Iron Iii Hydroxide Balanced Equation.
From www.chegg.com
Solved Part A Enter a balanced chemical equation for the Iron Iii Hydroxide Balanced Equation When hydrogen gas reacts is combined with oxygen gas and the mixture. In this video we'll balance the equation fe (oh)3 = fe2o3 + h2o. To balance a chemical equation, enter an equation of a chemical reaction and press the balance button. The reactants are iron (fe), oxygen (o 2) and water (h 2 o), and the product is iron. Iron Iii Hydroxide Balanced Equation.
From www.vrogue.co
What Is Formed In The Reaction Between Iron And Oxyge vrogue.co Iron Iii Hydroxide Balanced Equation Write a balanced chemical equation for the reactions given below: 1 fe(oh) 3 + 1 h 2 = 1 h 2 o + 1 fe for each. In this video we'll balance the equation fe (oh)3 = fe2o3 + h2o. The reactants are iron (fe), oxygen (o 2) and water (h 2 o), and the product is iron (iii) hydroxide. Iron Iii Hydroxide Balanced Equation.
From www.numerade.com
SOLVED The reaction of iron (III) chloride and calcium hydroxide Iron Iii Hydroxide Balanced Equation The balanced equation will appear. In this video we'll balance the equation fe (oh)3 = fe2o3 + h2o. Let's balance this equation using the inspection method. 1 fe(oh) 3 + 1 h 2 = 1 h 2 o + 1 fe for each. First, we set all coefficients to 1: To balance a chemical equation, enter an equation of a. Iron Iii Hydroxide Balanced Equation.
From brainly.com
What is the balanced equation of iron (iii) hydrogen carbonate Iron Iii Hydroxide Balanced Equation Derive chemical equations from narrative descriptions of chemical reactions. The solid sodium reacts with liquid water to produce. The reactants are iron (fe), oxygen (o 2) and water (h 2 o), and the product is iron (iii) hydroxide fe (oh) 3, so fe + o 2 + h 2 o → fe. Let's balance this equation using the inspection method.. Iron Iii Hydroxide Balanced Equation.
From www.numerade.com
SOLVED Write the balanced chemical equation for the reaction of Iron Iii Hydroxide Balanced Equation So including state symbols, our balanced net ionic equation for the formation of iron(iii) hydroxide from. Write a balanced chemical equation for the reactions given below: The solid sodium reacts with liquid water to produce. 1 fe(oh) 3 + 1 h 2 = 1 h 2 o + 1 fe for each. When hydrogen gas reacts is combined with oxygen. Iron Iii Hydroxide Balanced Equation.
From www.shutterstock.com
Iron Iii Hydroxide Formula Handwritten Chemical Stock Illustration Iron Iii Hydroxide Balanced Equation To balance a chemical equation, enter an equation of a chemical reaction and press the balance button. First, we set all coefficients to 1: Let's balance this equation using the inspection method. This equation represents the reaction that takes place when sodium metal is placed in water. So including state symbols, our balanced net ionic equation for the formation of. Iron Iii Hydroxide Balanced Equation.
From davis-well-rodgers.blogspot.com
Iron Iii Chloride and Sodium Hydroxide Ionic Equation DaviswellRodgers Iron Iii Hydroxide Balanced Equation The solid sodium reacts with liquid water to produce. Write and balance chemical equations in molecular, total. When hydrogen gas reacts is combined with oxygen gas and the mixture. 1 fe(oh) 3 + 1 h 2 = 1 h 2 o + 1 fe for each. Let's balance this equation using the inspection method. The balanced equation will appear. In. Iron Iii Hydroxide Balanced Equation.
From testbook.com
Iron (III) Hydroxide Formula Its Structure, Preparation & Uses Iron Iii Hydroxide Balanced Equation The reactants are iron (fe), oxygen (o 2) and water (h 2 o), and the product is iron (iii) hydroxide fe (oh) 3, so fe + o 2 + h 2 o → fe. The balanced equation will appear. To balance a chemical equation, enter an equation of a chemical reaction and press the balance button. In this video we'll. Iron Iii Hydroxide Balanced Equation.
From www.slideserve.com
PPT Preview PowerPoint Presentation, free download ID6531641 Iron Iii Hydroxide Balanced Equation This equation represents the reaction that takes place when sodium metal is placed in water. First, we set all coefficients to 1: The reactants are iron (fe), oxygen (o 2) and water (h 2 o), and the product is iron (iii) hydroxide fe (oh) 3, so fe + o 2 + h 2 o → fe. Derive chemical equations from. Iron Iii Hydroxide Balanced Equation.
From www.slideserve.com
PPT Oral assessment PowerPoint Presentation, free download ID3444733 Iron Iii Hydroxide Balanced Equation Write a balanced chemical equation for the reactions given below: The reactants are iron (fe), oxygen (o 2) and water (h 2 o), and the product is iron (iii) hydroxide fe (oh) 3, so fe + o 2 + h 2 o → fe. 1 fe(oh) 3 + 1 h 2 = 1 h 2 o + 1 fe for. Iron Iii Hydroxide Balanced Equation.
From www.numerade.com
What mass of iron(III) hydroxide precipitate can be produced by Iron Iii Hydroxide Balanced Equation When hydrogen gas reacts is combined with oxygen gas and the mixture. Write a balanced chemical equation for the reactions given below: To balance a chemical equation, enter an equation of a chemical reaction and press the balance button. 1 fe(oh) 3 + 1 h 2 = 1 h 2 o + 1 fe for each. In this video we'll. Iron Iii Hydroxide Balanced Equation.
From www.shutterstock.com
Iron Iii Hydroxide Handwritten Chemical Formula ilustrações stock Iron Iii Hydroxide Balanced Equation Let's balance this equation using the inspection method. The reactants are iron (fe), oxygen (o 2) and water (h 2 o), and the product is iron (iii) hydroxide fe (oh) 3, so fe + o 2 + h 2 o → fe. The solid sodium reacts with liquid water to produce. To balance a chemical equation, enter an equation of. Iron Iii Hydroxide Balanced Equation.
From www.coursehero.com
[Solved] When aqueous an solutions of iron(III) sulfate and sodium Iron Iii Hydroxide Balanced Equation To balance a chemical equation, enter an equation of a chemical reaction and press the balance button. So including state symbols, our balanced net ionic equation for the formation of iron(iii) hydroxide from. Derive chemical equations from narrative descriptions of chemical reactions. Let's balance this equation using the inspection method. When hydrogen gas reacts is combined with oxygen gas and. Iron Iii Hydroxide Balanced Equation.
From www.numerade.com
SOLVED Write a balanced equation for the reaction between dichromate Iron Iii Hydroxide Balanced Equation To balance a chemical equation, enter an equation of a chemical reaction and press the balance button. The solid sodium reacts with liquid water to produce. This equation represents the reaction that takes place when sodium metal is placed in water. Write and balance chemical equations in molecular, total. 1 fe(oh) 3 + 1 h 2 = 1 h 2. Iron Iii Hydroxide Balanced Equation.
From www.numerade.com
SOLVED Write out the reaction that occurs when lithium phosphate Iron Iii Hydroxide Balanced Equation So including state symbols, our balanced net ionic equation for the formation of iron(iii) hydroxide from. To balance a chemical equation, enter an equation of a chemical reaction and press the balance button. Write a balanced chemical equation for the reactions given below: 1 fe(oh) 3 + 1 h 2 = 1 h 2 o + 1 fe for each.. Iron Iii Hydroxide Balanced Equation.
From www.numerade.com
SOLVED Net ionic equation Complete iron(III) ionic equation chloride Iron Iii Hydroxide Balanced Equation The solid sodium reacts with liquid water to produce. 1 fe(oh) 3 + 1 h 2 = 1 h 2 o + 1 fe for each. Write and balance chemical equations in molecular, total. To balance a chemical equation, enter an equation of a chemical reaction and press the balance button. Write a balanced chemical equation for the reactions given. Iron Iii Hydroxide Balanced Equation.
From www.numerade.com
SOLVEDIron(II) hydrogen phosphite, FeHPO3, is oxidized by hypochlorite Iron Iii Hydroxide Balanced Equation First, we set all coefficients to 1: This equation represents the reaction that takes place when sodium metal is placed in water. Let's balance this equation using the inspection method. 1 fe(oh) 3 + 1 h 2 = 1 h 2 o + 1 fe for each. The balanced equation will appear. Write and balance chemical equations in molecular, total.. Iron Iii Hydroxide Balanced Equation.
From www.numerade.com
SOLVED Iron(III) sulfate is made in industry by the neutralization Iron Iii Hydroxide Balanced Equation In this video we'll balance the equation fe (oh)3 = fe2o3 + h2o. When hydrogen gas reacts is combined with oxygen gas and the mixture. The balanced equation will appear. This equation represents the reaction that takes place when sodium metal is placed in water. Derive chemical equations from narrative descriptions of chemical reactions. Write and balance chemical equations in. Iron Iii Hydroxide Balanced Equation.
From www.youtube.com
How to Balance HBr + Fe(OH)3 = FeBr3 + H2O (Hydrobromic acid + Iron Iron Iii Hydroxide Balanced Equation This equation represents the reaction that takes place when sodium metal is placed in water. When hydrogen gas reacts is combined with oxygen gas and the mixture. First, we set all coefficients to 1: In this video we'll balance the equation fe (oh)3 = fe2o3 + h2o. Let's balance this equation using the inspection method. To balance a chemical equation,. Iron Iii Hydroxide Balanced Equation.
From www.numerade.com
SOLVED When aqueous solutions of iron(III) nitrate and potassium Iron Iii Hydroxide Balanced Equation Write a balanced chemical equation for the reactions given below: To balance a chemical equation, enter an equation of a chemical reaction and press the balance button. So including state symbols, our balanced net ionic equation for the formation of iron(iii) hydroxide from. This equation represents the reaction that takes place when sodium metal is placed in water. The solid. Iron Iii Hydroxide Balanced Equation.
From savion-has-dyer.blogspot.com
Iron Iii Nitrate and Sodium Hydroxide Balanced Equation SavionhasDyer Iron Iii Hydroxide Balanced Equation To balance a chemical equation, enter an equation of a chemical reaction and press the balance button. Write and balance chemical equations in molecular, total. When hydrogen gas reacts is combined with oxygen gas and the mixture. This equation represents the reaction that takes place when sodium metal is placed in water. In this video we'll balance the equation fe. Iron Iii Hydroxide Balanced Equation.
From www.chegg.com
Solved Consider the chemical reaction that takes place Iron Iii Hydroxide Balanced Equation In this video we'll balance the equation fe (oh)3 = fe2o3 + h2o. Write a balanced chemical equation for the reactions given below: Derive chemical equations from narrative descriptions of chemical reactions. Write and balance chemical equations in molecular, total. The solid sodium reacts with liquid water to produce. 1 fe(oh) 3 + 1 h 2 = 1 h 2. Iron Iii Hydroxide Balanced Equation.
From www.slideserve.com
PPT Chapter 11 Chemical Reactions PowerPoint Presentation, free Iron Iii Hydroxide Balanced Equation Write and balance chemical equations in molecular, total. This equation represents the reaction that takes place when sodium metal is placed in water. Let's balance this equation using the inspection method. To balance a chemical equation, enter an equation of a chemical reaction and press the balance button. So including state symbols, our balanced net ionic equation for the formation. Iron Iii Hydroxide Balanced Equation.
From justice-blogmccullough.blogspot.com
Iron Iii Nitrate and Sodium Hydroxide Balanced Equation Iron Iii Hydroxide Balanced Equation So including state symbols, our balanced net ionic equation for the formation of iron(iii) hydroxide from. Let's balance this equation using the inspection method. The balanced equation will appear. Write and balance chemical equations in molecular, total. To balance a chemical equation, enter an equation of a chemical reaction and press the balance button. The solid sodium reacts with liquid. Iron Iii Hydroxide Balanced Equation.
From www.youtube.com
NaOH+FeCl3=Fe(OH)3+NaCl Balanced EquationSodium hydroxide+Iron(iii Iron Iii Hydroxide Balanced Equation The reactants are iron (fe), oxygen (o 2) and water (h 2 o), and the product is iron (iii) hydroxide fe (oh) 3, so fe + o 2 + h 2 o → fe. First, we set all coefficients to 1: The solid sodium reacts with liquid water to produce. Derive chemical equations from narrative descriptions of chemical reactions. Write. Iron Iii Hydroxide Balanced Equation.
From www.youtube.com
Equation for Fe(OH)3 + H2O Iron (III) hydroxide + Water YouTube Iron Iii Hydroxide Balanced Equation When hydrogen gas reacts is combined with oxygen gas and the mixture. The reactants are iron (fe), oxygen (o 2) and water (h 2 o), and the product is iron (iii) hydroxide fe (oh) 3, so fe + o 2 + h 2 o → fe. Write and balance chemical equations in molecular, total. First, we set all coefficients to. Iron Iii Hydroxide Balanced Equation.
From www.numerade.com
SOLVED Consider the chemical reaction that takes place between aqueous Iron Iii Hydroxide Balanced Equation The reactants are iron (fe), oxygen (o 2) and water (h 2 o), and the product is iron (iii) hydroxide fe (oh) 3, so fe + o 2 + h 2 o → fe. When hydrogen gas reacts is combined with oxygen gas and the mixture. The balanced equation will appear. Write a balanced chemical equation for the reactions given. Iron Iii Hydroxide Balanced Equation.